[ Новые сообщения · Участники · Правила форума · Поиск · RSS ]
 
Работай из дома! 18+

  • Страница 1 из 1
  • 1
ГДЗ по Физике. Всемирное тяготение
ТаксистДата: Вторник, 07.04.2015, 17:17 | Сообщение # 1
Рядовой
Группа: Проверенные
Сообщений: 12
Награды: 0
Репутация: 0
Статус: Offline


 
Работай из дома! 18+
 
 


ГДЗ по Физике. Всемирное тяготение

Задачи по Физике с решениями и ответами.

Готовые домашние задания по учебнику Физика. Автор: И. Е. Иродов

Тема задачника: Всемирное тяготение



Выберите задание из учебника:

1.200 1.201 1.202 1.205 1.208 1.216 1.221 1.224
Фото: 1397557.jpg (6.6 Kb)


 
 
ТаксистДата: Вторник, 07.04.2015, 17:18 | Сообщение # 2
Рядовой
Группа: Проверенные
Сообщений: 12
Награды: 0
Репутация: 0
Статус: Offline


 
Работай из дома! 18+
 
 


Задача № 1.200

Условие задачи:

Некоторая планета массы M движется по окружности вокруг Солнца со скоростью v = 34,9 км/с (относительно гелиоцентрической системы отсчета).

Найти период обращения этой планеты вокруг Солнца.

Решение задачи и правильный ответ:

Фото: 9080781.gif (20.8 Kb)
 
 
ТаксистДата: Вторник, 07.04.2015, 17:19 | Сообщение # 3
Рядовой
Группа: Проверенные
Сообщений: 12
Награды: 0
Репутация: 0
Статус: Offline


 
Работай из дома! 18+
 
 


Задача № 1.201

Условие задачи:

Период обращения Юпитера вокруг Солнца в 12 раз больше соответствующего периода для Земли.

Считая орбиты планет круговыми, найти:

а) во сколько раз расстояние от Юпитера до Солнца превышает расстояние от Земли до Солнца;

б) скорость и ускорение Юпитера в гелиоцентрической системе отсчета.

Решение задачи и правильный ответ:

Фото: 7746833.gif (9.1 Kb)
 
 
ТаксистДата: Вторник, 07.04.2015, 17:22 | Сообщение # 4
Рядовой
Группа: Проверенные
Сообщений: 12
Награды: 0
Репутация: 0
Статус: Offline


 
Работай из дома! 18+
 
 


Задача № 1.202

Условие задачи:

Некоторая планета массы M движется вокруг Солнца по эллипсу так, что минимальное расстояние между ней и Солнцем равно r, а максимальное — R.

Найти с помощью законов Кеплера период обращения ее вокруг Солнца.

Решение задачи и правильный ответ:

Фото: 8942772.gif (38.5 Kb)
 
 
ТаксистДата: Вторник, 07.04.2015, 17:22 | Сообщение # 5
Рядовой
Группа: Проверенные
Сообщений: 12
Награды: 0
Репутация: 0
Статус: Offline


 
Работай из дома! 18+
 
 


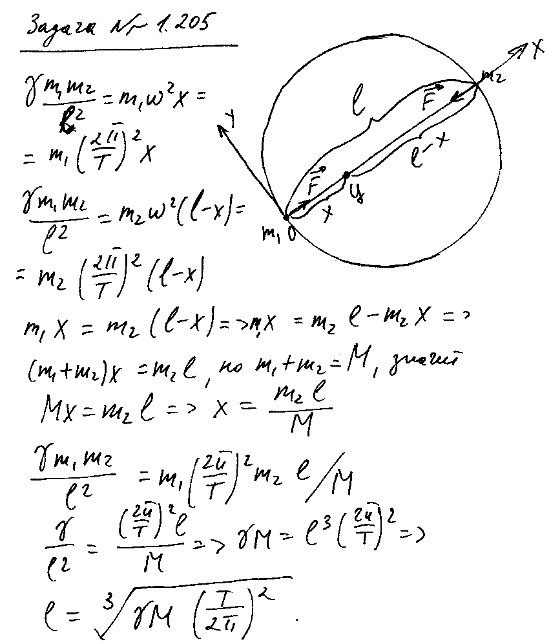
Задача № 1.205

Условие задачи:

Двойная звезда — это система из двух звезд, движущихся под действием притяжения вокруг центра инерции системы.

Найти расстояние между компонентами двойной звезды, если ее суммарная масса M и период обращения T.

Решение задачи и правильный ответ:

Фото: 7193488.gif (24.3 Kb)
 
 
ТаксистДата: Вторник, 07.04.2015, 17:23 | Сообщение # 6
Рядовой
Группа: Проверенные
Сообщений: 12
Награды: 0
Репутация: 0
Статус: Offline


 
Работай из дома! 18+
 
 


Задача № 1.208

Условие задачи:

Доказать с помощью законов сохранения, что полная механическая энергия планеты массы m, движущейся вокруг Солнца по эллипсу, зависит только от его большой полуоси a.

Найти формулу зависимости этой энергии от a.

Решение задачи и правильный ответ:

Фото: 5152750.jpg (50.8 Kb)
 
 
ТаксистДата: Вторник, 07.04.2015, 17:24 | Сообщение # 7
Рядовой
Группа: Проверенные
Сообщений: 12
Награды: 0
Репутация: 0
Статус: Offline


 
Работай из дома! 18+
 
 


Задача № 1.216

Условие задачи:

Однородный шар имеет массу M и радиус R.

Найти давление p внутри шара, обусловленное гравитационным сжатием, как функцию расстояния r от его центра.

Оценить p в центре Земли, считая, что Земля является однородным шаром.

Решение задачи и правильный ответ:

Фото: 5230472.gif (8.4 Kb)
 
 
ТаксистДата: Вторник, 07.04.2015, 17:24 | Сообщение # 8
Рядовой
Группа: Проверенные
Сообщений: 12
Награды: 0
Репутация: 0
Статус: Offline


 
Работай из дома! 18+
 
 


Задача № 1.221

Условие задачи:

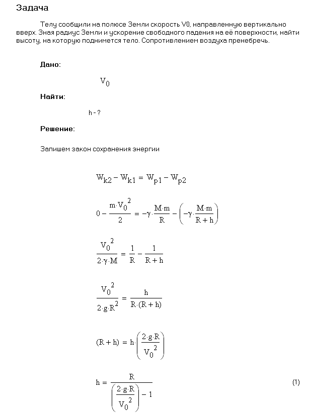
Телу сообщили на полюсе Земли скорость v0, направленную вертикально вверх.

Зная радиус Земли и ускорение свободного падения на ее поверхности, найти высоту, на которую поднимется тело.

Сопротивлением воздуха пренебречь.

Решение задачи и правильный ответ:

Фото: 1070852.gif (6.8 Kb)
 
 
ТаксистДата: Вторник, 07.04.2015, 17:25 | Сообщение # 9
Рядовой
Группа: Проверенные
Сообщений: 12
Награды: 0
Репутация: 0
Статус: Offline


 
Работай из дома! 18+
 
 


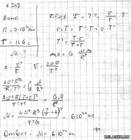
Задача № 1.224

Условие задачи:

Спутник, движущийся по круговой орбите радиуса R = 2,00*104 км в экваториальной плоскости Земли с Запада на Восток, появляется над некоторым пунктом на экваторе через каждые τ = 11,6 ч.

Вычислить на основании этих данных массу Земли. Гравитационная постоянная предполагается известной.

Решение задачи и правильный ответ:

Фото: 2734755.jpg (21.6 Kb)


 
 
  • Страница 1 из 1
  • 1
Поиск:

Работай из дома! 18+
 
 
 
 
 
 

 
Последние темы на форуме:
 
  • Новогодние праздники 2021-2022 официальные выходные
  • Показатели давления и сердцебиения у женщины 57 лет
  • Гороскоп на декабрь 2021 Женщина Телец
  • Гороскоп на январь 2022 от Павла Глоба
  • Гороскоп на декабрь 2021 от Павла Глоба
  • Гороскоп на ноябрь 2021 от Павла Глоба
  • Стенограмма судьбы - Содержание серий, актеры и роли сериала
  • Мосгаз. Западня - Содержание серий, актеры и роли 2021
  • Тобол - Содержание серий, актеры и роли сериала. 2021
  • Гороскоп для Тигра на сегодня от Павла Глоба
  • Утраченные воспоминания - Содержание серий, актеры и роли
  • Чёрно-белая любовь - Содержание серий, актеры и роли сериала
  • Забытая женщина - Содержание серий, актеры и роли сериала
  • Тайна спящей дамы - Содержание серий, актеры и роли сериала
  • Сериал Часы с кукушкой - Содержание серий, актеры и роли
  •  
     

     
    Обращаем ваше внимание на то, что данный интернет-сайт www.kinolog.do.am носит исключительно информационный характер и ни при каких условиях не является публичной офертой, определяемой положениями Статьи 437 (2) Гражданского кодекса РФ. Цена и наличие товара может отличаться от действительной. Пожалуйста, уточняйте цены и наличие товара у наших менеджеров.
    Администрация сайта не несет ответственности за действия и содержание размещаемой информации пользователей: комментарии, материалы, сообщения и темы на форуме, публикации, объявления и т.д.
    Правообладателям | Реклама | Учебники | Политика
    Отопление, водоснабжение, газоснабжение, канализация © 2003 - 2021
    Рейтинг@Mail.ru Рейтинг арматурных сайтов. ARMTORG.RU Яндекс.Метрика