ГДЗ по Физике. Упругие деформации твердого тела
Якоб Дата: Среда, 08.04.2015, 10:24 | Сообщение # 1
Рядовой
Группа: Проверенные
Сообщений: 19
Награды:
0
Репутация:
0
Статус: Offline
ГДЗ по Физике. Упругие деформации твердого тела Задачи по Физике с решениями и ответами. Готовые домашние задания по учебнику Физика. Автор: И. Е. Иродов Тема задачника: Упругие деформации твердого тела Выберите задание из учебника: 1.290 1.291 1.293 1.294 1.295 1.296 1.297 1.313 1.314
Якоб Дата: Среда, 08.04.2015, 10:25 | Сообщение # 2
Рядовой
Группа: Проверенные
Сообщений: 19
Награды:
0
Репутация:
0
Статус: Offline
Задача № 1.290 Условие задания: Какое давление необходимо приложить к торцам стального цилиндра, чтобы длина его не изменилась при повышении температуры на 100 °C? Решение задачи и правильный ответ:
Якоб Дата: Среда, 08.04.2015, 10:25 | Сообщение # 3
Рядовой
Группа: Проверенные
Сообщений: 19
Награды:
0
Репутация:
0
Статус: Offline
Задача № 1.291 Условие задания: Какое давление изнутри (при отсутствии наружного давления) может выдержать: а) стеклянная трубка; б) стеклянная сферическая колба, у которых радиус r = 25 мм и толщина стенок Δr = 1,0 мм? Решение задачи и правильный ответ:
Якоб Дата: Среда, 08.04.2015, 10:26 | Сообщение # 4
Рядовой
Группа: Проверенные
Сообщений: 19
Награды:
0
Репутация:
0
Статус: Offline
Задача № 1.293 Условие задания: Кольцо радиуса r = 25 см, сделанное из свинцовой проволоки, вращают вокруг неподвижной вертикальной оси, проходящей через его центр и перпендикулярной к плоскости кольца. При какой частоте оборотов данное кольцо может разорваться? Решение задачи и правильный ответ:
Якоб Дата: Среда, 08.04.2015, 10:41 | Сообщение # 5
Рядовой
Группа: Проверенные
Сообщений: 19
Награды:
0
Репутация:
0
Статус: Offline
Задача № 1.294 Условие задания: Стальная проволока диаметра d = 1,0 мм натянута в горизонтальном положении между двумя зажимами, находящимися на расстоянии l = 2,0 м друг от друга. К середине проволоки — точке О — подвесили груз массы m = 0,25 кг. На сколько сантиметров опустится точка О? Решение задачи и правильный ответ:
Якоб Дата: Среда, 08.04.2015, 10:43 | Сообщение # 6
Рядовой
Группа: Проверенные
Сообщений: 19
Награды:
0
Репутация:
0
Статус: Offline
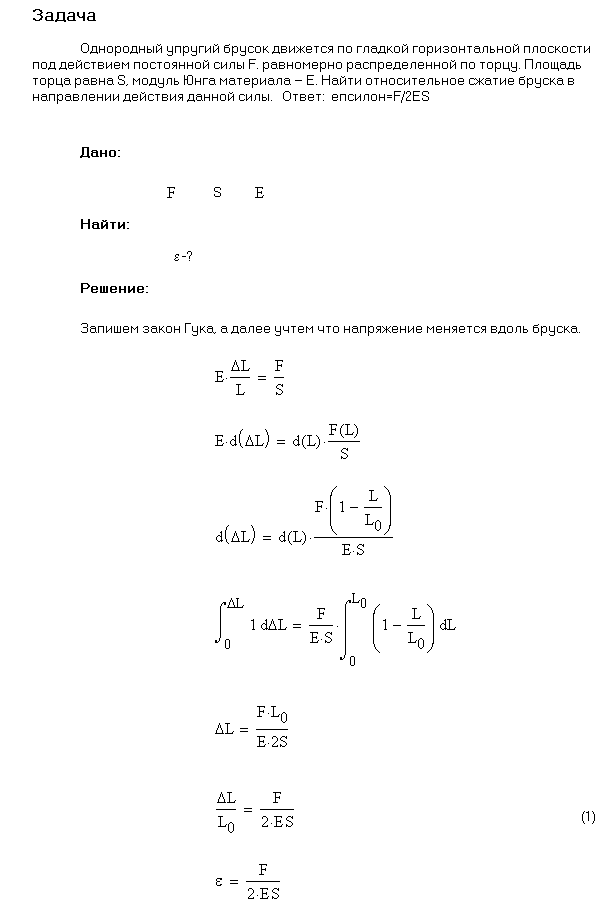
Задача № 1.295 Условие задания: Однородный упругий брусок движется по гладкой горизонтальной плоскости под действием постоянной силы F0, равномерно распределенной по торцу. Площадь торца равна S, модуль Юнга материала — E. Найти относительное сжатие бруска в направлении действия данной силы. Решение задачи и правильный ответ:
Якоб Дата: Среда, 08.04.2015, 10:47 | Сообщение # 7
Рядовой
Группа: Проверенные
Сообщений: 19
Награды:
0
Репутация:
0
Статус: Offline
Задача № 1.296 Условие задания: Тонкий однородный медный стержень длины l и массы m равномерно вращается с угловой скоростью ω в горизонтальной плоскости вокруг вертикальной оси, проходящей через один из его концов. Найти силу натяжения в стержне в зависимости от расстояния r до оси вращения, а также удлинение стержня. Решение задачи и правильный ответ:
Якоб Дата: Среда, 08.04.2015, 10:48 | Сообщение # 8
Рядовой
Группа: Проверенные
Сообщений: 19
Награды:
0
Репутация:
0
Статус: Offline
Задача № 1.297 Условие задания: Сплошной медный цилиндр длины l = 65 см поставили на горизонтальную поверхность и сверху приложили вертикальную сжимающую силу F = 1000 Н, которая равномерно распределена по его торцу. На сколько кубических миллиметров изменился при этом объем цилиндра? Решение задачи и правильный ответ:
Якоб Дата: Среда, 08.04.2015, 10:48 | Сообщение # 9
Рядовой
Группа: Проверенные
Сообщений: 19
Награды:
0
Репутация:
0
Статус: Offline
Задача № 1.313 Условие задания: Найти распределение объемной плотности энергии упругой деформации в стальном стержне в зависимости от расстояния r до его оси. Длина стержня l, угол закручивания φ. Решение задачи и правильный ответ:
Якоб Дата: Среда, 08.04.2015, 10:49 | Сообщение # 10
Рядовой
Группа: Проверенные
Сообщений: 19
Награды:
0
Репутация:
0
Статус: Offline
Задача № 1.314 Условие задания: Определить объемную плотность энергии упругой деформации в пресной воде на глубине h = 1000 м. Решение задачи и правильный ответ: В начало решебника по Физике