[ Новые сообщения · Участники · Правила форума · Поиск · RSS ]
 
Работай из дома! 18+

  • Страница 1 из 1
  • 1
ГДЗ по Физике. Гидродинамика
PandemikДата: Четверг, 09.04.2015, 13:58 | Сообщение # 1
Сержант
Группа: Проверенные
Сообщений: 26
Награды: 0
Репутация: 0
Статус: Offline


 
Работай из дома! 18+
 
 


ГДЗ по Физике. Гидродинамика

Задачи по Физике с решениями и ответами.

Готовые домашние задания по учебнику Физика. Автор: И. Е. Иродов

Тема задачника: Гидродинамика




Выберите задание из учебника:

1.316 1.319 1.328

1.334 1.338 1.339


Фото: 6956470.jpg (5.0 Kb)


 
 
PandemikДата: Четверг, 09.04.2015, 13:59 | Сообщение # 2
Сержант
Группа: Проверенные
Сообщений: 26
Награды: 0
Репутация: 0
Статус: Offline


 
Работай из дома! 18+
 
 


Задача № 1.316

Условие задачи:

Две манометрические трубки установлены на горизонтальной трубе переменного сечения в местах, где сечения трубы равны S1 и S2 (рис. 1.81).

По трубе течет вода.

Найти объем воды, протекающей в единицу времени через сечение трубы, если разность уровней воды в манометрических трубках равна Δh.

Решение задачи и правильный ответ:

Фото: 2972213.jpg (63.7 Kb)
 
 
PandemikДата: Четверг, 09.04.2015, 13:59 | Сообщение # 3
Сержант
Группа: Проверенные
Сообщений: 26
Награды: 0
Репутация: 0
Статус: Offline


 
Работай из дома! 18+
 
 


Задача № 1.319

Условие задачи:

На столе стоит широкий цилиндрический сосуд высотой 50 см.

Сосуд наполнен водой.

Пренебрегая вязкостью, найти, на какой высоте от дна сосуда следует сделать небольшое отверстие, чтобы струя из него била в поверхность стола на максимальное расстояние lмакс от сосуда.

Чему равно lмакс?

Решение задачи и правильный ответ:

Фото: 9167908.jpg (52.1 Kb)
 
 
PandemikДата: Четверг, 09.04.2015, 14:00 | Сообщение # 4
Сержант
Группа: Проверенные
Сообщений: 26
Награды: 0
Репутация: 0
Статус: Offline


 
Работай из дома! 18+
 
 


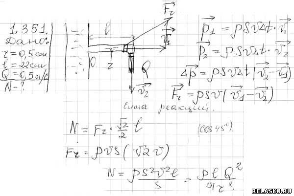
Задача № 1.328

Условие задачи:

Вода вытекает из большого бака по изогнутой под прямым углом трубке, внутренний радиус которой r = 0,50 см (рис. 1.87).

Длина горизонтальной части трубки l = 22 см. Расход воды Q = 0,50 л/с.

Найти момент сил реакции воды на стенки этой трубки относительно точки О, обусловленный течением воды.

Решение задачи и правильный ответ:

Фото: 0830275.jpg (29.8 Kb)
 
 
PandemikДата: Четверг, 09.04.2015, 14:00 | Сообщение # 5
Сержант
Группа: Проверенные
Сообщений: 26
Награды: 0
Репутация: 0
Статус: Offline


 
Работай из дома! 18+
 
 


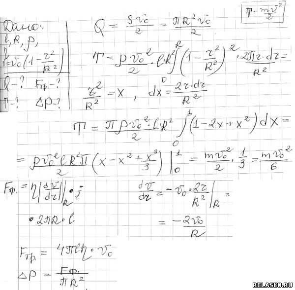
Задача № 1.334

Условие задачи:

По трубке длины l и радиуса R течет стационарный поток жидкости, плотность которой ρ и вязкость η. Скорость течения жидкости зависит от расстояния r до оси трубки по закону v = v0 (1 — r2/R2). Найти:

а) объем жидкости, протекающей через сечение трубки в единицу времени;

б) кинетическую энергию жидкости в объеме трубки;

в) силу трения, которую испытывает трубка со стороны жидкости;

г) разность давлений на концах трубки.

Решение задачи и правильный ответ:

Фото: 8059582.jpg (41.1 Kb)
 
 
PandemikДата: Четверг, 09.04.2015, 14:02 | Сообщение # 6
Сержант
Группа: Проверенные
Сообщений: 26
Награды: 0
Репутация: 0
Статус: Offline


 
Работай из дома! 18+
 
 


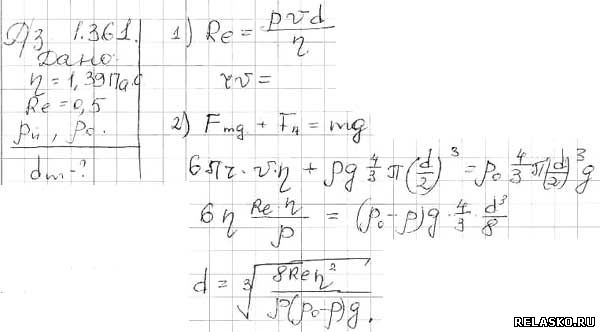
Задача № 1.338

Условие задачи:

Свинцовый шарик равномерно опускается в глицерине, вязкость которого η = 13,9 П.

При каком наибольшем диаметре шарика его обтекание еще остается ламинарным? Известно, что переход к турбулентному обтеканию соответствует числу Re = 0,5 (это значение числа Re, при котором за характерный размер взят диаметр шарика).

Решение задачи и правильный ответ:

Фото: 2046477.jpg (21.9 Kb)
 
 
PandemikДата: Четверг, 09.04.2015, 14:02 | Сообщение # 7
Сержант
Группа: Проверенные
Сообщений: 26
Награды: 0
Репутация: 0
Статус: Offline


 
Работай из дома! 18+
 
 


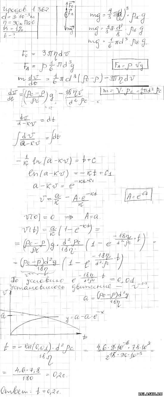
Задача № 1.339

Условие задачи:

Стальной шарик диаметра d = 3,0 мм опускается с нулевой начальной скоростью в прованском масле, вязкость которого η = 0,90 П.

Через сколько времени после начала движения скорость шарика будет отличаться от установившегося значения на n = 1,0%?

Решение задачи и правильный ответ:




Оглавление решебника
Фото: 0716451.jpg (77.5 Kb)


 
 
  • Страница 1 из 1
  • 1
Поиск:

Работай из дома! 18+
 
 
 
 
 
 

 
Последние темы на форуме:
 
  • Новогодние праздники 2021-2022 официальные выходные
  • Показатели давления и сердцебиения у женщины 57 лет
  • Гороскоп на декабрь 2021 Женщина Телец
  • Гороскоп на январь 2022 от Павла Глоба
  • Гороскоп на декабрь 2021 от Павла Глоба
  • Гороскоп на ноябрь 2021 от Павла Глоба
  • Стенограмма судьбы - Содержание серий, актеры и роли сериала
  • Мосгаз. Западня - Содержание серий, актеры и роли 2021
  • Тобол - Содержание серий, актеры и роли сериала. 2021
  • Гороскоп для Тигра на сегодня от Павла Глоба
  • Утраченные воспоминания - Содержание серий, актеры и роли
  • Чёрно-белая любовь - Содержание серий, актеры и роли сериала
  • Забытая женщина - Содержание серий, актеры и роли сериала
  • Тайна спящей дамы - Содержание серий, актеры и роли сериала
  • Сериал Часы с кукушкой - Содержание серий, актеры и роли
  •  
     

     
    Обращаем ваше внимание на то, что данный интернет-сайт www.kinolog.do.am носит исключительно информационный характер и ни при каких условиях не является публичной офертой, определяемой положениями Статьи 437 (2) Гражданского кодекса РФ. Цена и наличие товара может отличаться от действительной. Пожалуйста, уточняйте цены и наличие товара у наших менеджеров.
    Администрация сайта не несет ответственности за действия и содержание размещаемой информации пользователей: комментарии, материалы, сообщения и темы на форуме, публикации, объявления и т.д.
    Правообладателям | Реклама | Учебники | Политика
    Отопление, водоснабжение, газоснабжение, канализация © 2003 - 2021
    Рейтинг@Mail.ru Рейтинг арматурных сайтов. ARMTORG.RU Яндекс.Метрика