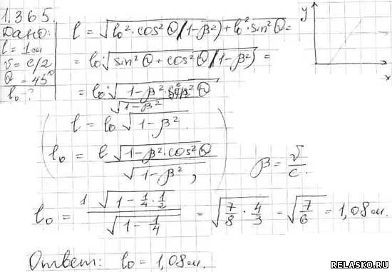
Найти собственную длину стержня, если в лабораторной системе отсчета его скорость v = с/2, длина l = 1,00 м и угол между ним и направлением движения ϑ = 45°.
Две частицы, двигавшиеся в лабораторной системе отсчета по одной прямой с одинаковой скоростью v = 3/4 c, попали в неподвижную мишень с интервалом времени Δt = 50 нс.
Найти собственное расстояние между частицами до попадания в мишень.
Стержень движется вдоль линейки с некоторой постоянной скоростью.
Если зафиксировать положение обоих концов данного стержня одновременно в системе отсчета, связанной с линейкой, то разность отсчетов по линейке Δx1 = 4,0 м. Если же положение обоих концов зафиксировать одновременно в системе отсчета, связанной со стержнем, то разность отсчетов по этой же линейке Δx2 = 9,0 м.
Найти собственную длину стержня и его скорость относительно линейки.
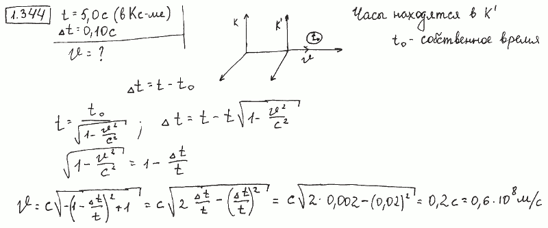
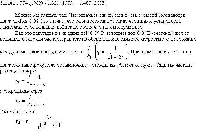
Две нестабильные частицы движутся в К-системе отсчета по некоторой прямой в одном направлении со скоростью v = 0,990 c. Расстояние между ними в этой системе отсчета l = 120 м.
В некоторый момент обе частицы распались одновременно в системе отсчета, связанной с ними. Какой промежуток времени между моментами распада обеих частиц наблюдали в К-системе?
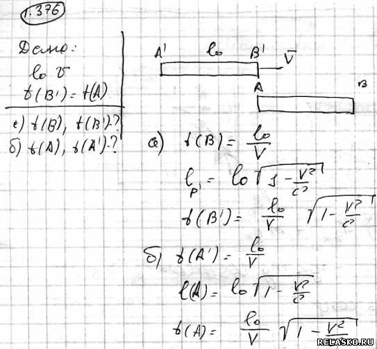
Стержень А'В' движется с постоянной скоростью v относительно стержня АВ (рис. 1.91). Оба стержня имеют одинаковую собственную длину l0 и на концах каждого из них установлены синхронизированные между собой часы: А с В и А' с В'. Пусть момент, когда часы В' поравнялись с часами А, взят за начало отсчета времени в системах отсчета, связанных с каждым из стержней.
Определить:
а) показания часов В и В' в момент, когда они окажутся напротив друг друга;
В двух точках К-системы отсчета произошли события, разделенные промежутком времени Δt.
Показать, что если эти события причинно связаны в К-системе (например, выстрел и попадание пули в мишень), то они причинно связаны и в любой другой инерциальной К'-системе отсчета.
Две релятивистские частицы движутся под прямым углом друг к другу в лабораторной системе отсчета, причем одна со скоростью v1, а другая со скоростью v2.
Найти:
а) скорость сближения частиц в лабораторной системе отсчета;
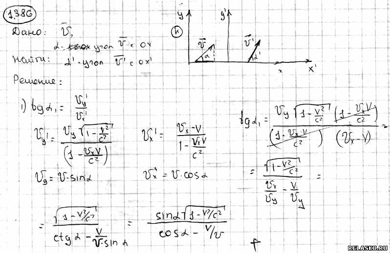
Частица движется в К-системе со скоростью v под углом ϑ к оси x.
Найти соответствующий угол в К'-системе, перемещающейся со скоростью V относительно К-системы в положительном направлении ее оси x, если оси x и x' обеих систем совпадают.