[ Новые сообщения · Участники · Правила форума · Поиск · RSS ]
 
Работай из дома! 18+

  • Страница 1 из 2
  • 1
  • 2
  • »
Решебник по Информатике. 6 класс. Босова. Рабочая тетрадь
UrsunДата: Понедельник, 12.10.2015, 13:14 | Сообщение # 1
Подполковник
Группа: Проверенные
Сообщений: 115
Награды: 0
Репутация: 0
Статус: Offline


 
Работай из дома! 18+
 
 


Решебник и ГДЗ по Информатике и ИКТ. 6 класс. Босова Л. Л. Рабочая тетрадь



Авторы: Босова Л.Л. Босова А.Ю.

Издание: М.: БИНОМ,

Учебник с заданиями, примерами и ответами по ФГОС 2007, 2008, 2009, 2010, 2011, 2012, 2013, 2014, 2015 год

Данный решебник и готовые домашние задания по Информатике предназначены для учителей и учеников 6 класса средней школы для проверки своих знаний предмета, а также для помощи в решении домашних заданий.

Преподаватели урока Информатики с помощью данного учебника смогут легко и быстро проверять ответы на домашние работы у своих учеников, а так же подготовиться к уроку.

Родители учеников могут так же проверять своих детей, на сколько правильно они сделали домашнюю работу.

Оглавление решебника и ГДЗ по Информатике. 6 класс. Босова Л. Л. Рабочая тетрадь

1. Задания к главе «Компьютер и информация»

2. Задания к главе «Человек и информация»

3. Задания к главе «Алгоритмы и исполнители»

Фото: 2462688.jpg (5.3 Kb) · 1622779.jpg (10.2 Kb)


 
 
UrsunДата: Понедельник, 12.10.2015, 13:16 | Сообщение # 2
Подполковник
Группа: Проверенные
Сообщений: 115
Награды: 0
Репутация: 0
Статус: Offline


 
Работай из дома! 18+
 
 


1. Задания к главе «Компьютер и информация»

Что бы увеличить решение и правильный ответ на задачи из рабочей тетради по Информатике Босовой нажмите на картинку

1. Закончите предложение «Компьютер — это …» (Дайте наиболее полный ответ).



2. Установите соответствие между устройствами компьютера и функциями, которые они выполняют (соедините стрелками).



3. Установите соответствие между значками и обозначаемыми ими компьютерными объектами (соедините стрелками).



4. Установите соответствие между значками и обозначаемыми ими устройствами памяти (соедините стрелками).



5. Выберите цепочки символов, которые могут использоваться в качестве имен файлов (отметьте «галочками»).

Фото: 1195703.jpg (54.2 Kb) · 4150622.jpg (85.0 Kb) · 5266190.jpg (43.2 Kb) · 7152520.jpg (18.5 Kb) · 0418961.jpg (14.5 Kb)


 
 
UrsunДата: Понедельник, 12.10.2015, 13:19 | Сообщение # 3
Подполковник
Группа: Проверенные
Сообщений: 115
Награды: 0
Репутация: 0
Статус: Offline


 
Работай из дома! 18+
 
 


Что бы увеличить решение и правильный ответ на задачи из рабочей тетради по Информатике Босовой нажмите на картинку

6. Выберите наиболее удачное имя для файла с письмом другу (отметьте точкой).



7. Установите соответствие между компьютерными и аналогичными им не компьютерными объектами (соедините стрелками).



8. Установите соответствие между значками и обозначаемыми ими компьютерными объектами (соедините стрелками).



9. Вы открыли папку с компьютерной игрой «Пятнашки» и увидели там несколько файлов.

1) Укажите, какой файл вы откроете, чтобы прочесть инструкцию к игре (отметьте точкой).



2) Укажите, какой файл вы откроете, чтобы прослушать музыкальное сопровождение к игре (отметьте точкой).



3) Укажите, какой файл вы откроете, чтобы просмотреть демонстрационный ролик (отметьте точкой).



4) Укажите, с помощью какого файла вы запустите игру (отметьте точкой).



10. Укажите, как организованы следующие вложенные папки (отметьте точкой).

Фото: 8130055.jpg (5.7 Kb) · 5105127.jpg (20.3 Kb) · 3472597.jpg (23.5 Kb) · 2875714.jpg (7.8 Kb) · 0486726.jpg (8.0 Kb) · 2391173.jpg (7.9 Kb) · 9430408.jpg (8.3 Kb) · 5571576.jpg (55.6 Kb)
 
 
UrsunДата: Понедельник, 12.10.2015, 13:21 | Сообщение # 4
Подполковник
Группа: Проверенные
Сообщений: 115
Награды: 0
Репутация: 0
Статус: Offline


 
Работай из дома! 18+
 
 


Что бы увеличить решение и правильный ответ на задания из рабочей тетради по Информатике Босовой нажмите на картинку

11. Укажите, какой числовой эквивалент имеет цифра 6 в числах 69, 6789, 3650, 16 (соедините стрелками).



12. Римские цифры легко изобразить, используя палочки или спички. Ниже изображено несколько неверных равенств. Как можно получить из них верные равенства, если разрешается переложить с одного места на другое только одну спичку (палочку)?



13. Запишите римские числа в десятичной системе счисления по образцу.



14. Запишите с помощью римских цифр дату своего рождения.



15. Трехзначное десятичное число оканчивается цифрой 3. Если эту цифру переместить на первое слева место в числе, то есть с нее будет начинаться запись нового числа, то это новое число будет на единицу больше утроенного исходного числа. Найдите исходное число.



Фото: 6789102.jpg (15.3 Kb) · 7190298.jpg (16.5 Kb) · 7421801.jpg (17.6 Kb) · 0111614.jpg (13.9 Kb) · 2585290.jpg (9.9 Kb)
 
 
UrsunДата: Понедельник, 12.10.2015, 13:24 | Сообщение # 5
Подполковник
Группа: Проверенные
Сообщений: 115
Награды: 0
Репутация: 0
Статус: Offline


 
Работай из дома! 18+
 
 


Что бы увеличить решение и правильный ответ на задания из рабочей тетради по Информатике Босовой нажмите на картинку

16. Некогда был пруд, в центре которого рос один лист водяной лилии. Каждый день число таких листьев удваивалось, и на десятый день вся поверхность пруда уже была заполнена листьями лилий.



17. Этот случай вполне мог иметь место во времена «золотой лихорадки» в США. На одном из приисков старатели были возмущены действиями Джо Макдональда — хозяина салуна, принимавшего от них в уплату золотой песок. Очень уж необычными были гири, с помощью которых тот взвешивал золото: 1, 2, 4, 8, 16, 32 и 64 г. Джо утверждал, что с помощью такого набора гирь он может взвесить любую порцию золотого песка, не превышающую 127 г. Прав ли Джо Макдональд? Как с помощью названных гирь набрать вес 25 г, 48 г, 72 г, 105 г, 127 г? Закрасьте клеточки, соответствующие тем гирям, которые нужно использовать.



18. Переведите числа в двоичную систему счисления.



19. Заполните таблицу.



20. Переведите числа из двоичной системы счисления в десятичную.



Полученные числа впишите в соответствующие клетки квадрата. Сложите числа в каждом столбце, каждой строке и в диагоналях и убедитесь, что данный квадрат — магический (все сум-мы равны между собой).



Фото: 8855187.jpg (32.1 Kb) · 5634074.jpg (29.2 Kb) · 6844632.jpg (53.0 Kb) · 4432313.jpg (18.7 Kb) · 7755896.jpg (15.1 Kb) · 1606841.jpg (27.4 Kb)
 
 
UrsunДата: Понедельник, 12.10.2015, 13:32 | Сообщение # 6
Подполковник
Группа: Проверенные
Сообщений: 115
Награды: 0
Репутация: 0
Статус: Offline


 
Работай из дома! 18+
 
 


Что бы увеличить решение и правильный ответ на задания из рабочей тетради по Информатике Босова нажмите на картинку

21. Отметьте и последовательно соедините на координатной плоскости точки, координаты которых приведены в двоичной системе счисления. Для этого сначала заполните последний столбец таблицы.



22. В классе 1111002% девочек и 11002 мальчиков. Сколько учеников в классе?



23. У меня 100 братьев. Младшему 1000 лет, а старшему 1111 лет. Старший учится в 1001 классе. Может ли такое быть?



24. При международном обмене информацией используется кодировка ASCII (американский стандартный код для обмена информацией). Она включает в себя всего 128 символов: прописные и строчные латинские буквы, цифры, знаки препинания, некоторые служебные символы. Ниже приведена часть кодовой таблицы ASCII.



Заполните пустые ячейки таблицы, выполнив следующую последовательность действий:

1) отметьте символ, двоичный код которого не записан;
2) переведите десятичный код отмеченного символа в двоичную систему счисления;
3) дополните полученный двоичный код слева нулями до восьми символов и запишите в соответствующую ячейку таблицы;
4) если в таблице остались символы, двоичный код которых не записан, то повторите действия 1-4, иначе выполните действие 5;
5) работа завершена, перейдите к выполнению следующего задания.


25. Закодируйте тексты в коде ASCII.



Фото: 2147499.jpg (103.6 Kb) · 5247037.jpg (24.7 Kb) · 9326225.jpg (17.5 Kb) · 5787114.jpg (111.7 Kb) · 9530293.jpg (46.7 Kb)
 
 
UrsunДата: Понедельник, 12.10.2015, 13:35 | Сообщение # 7
Подполковник
Группа: Проверенные
Сообщений: 115
Награды: 0
Репутация: 0
Статус: Offline


 
Работай из дома! 18+
 
 


Что бы увеличить решение и правильный ответ на задания из рабочей тетради по Информатике Босова нажмите на картинку

26. Декодируйте тексты с помощью кодовой таблицы ASCII.



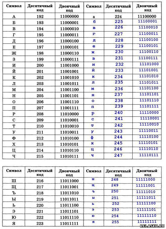
27. Для кодирования букв русского языка существуют несколько различных кодировок, являющихся расширениями таблицы кодов ASCII. То есть первая часть каждой расширенной таблицы кодировки совпадает с таблицей ASCII, а вторая часть (коды русских букв) у каждой таблицы своя. Ниже приведен фрагмент кодовой таблицы КОИ-8 (код обмена информацией).



Заполните пустые ячейки таблицы, выполнив следующую последовательность действий:

1) отметьте символ, десятичный код которого не записан;
2) переведите двоичный код отмеченного символа в десятичную систему счисления;
3) запишите полученный десятичный код в соответствующую ячейку таблицы;
4) если в таблице остались символы, двоичный код которых не записан, то повторите действия 1-4, иначе выполните действие 5;
5) работа завершена, перейдите к выполнению следующего задания.

28. Используя фрагмент кодовой таблицы КОИ-8, выполните следующие задания.



29. Закодируйте тексты в коде КОИ-8.



30. Декодируйте тексты с помощью кодовой таблицы КОИ-8.



Фото: 1955285.jpg (53.9 Kb) · 2194565.jpg (107.2 Kb) · 0809974.jpg (39.4 Kb) · 3387683.jpg (48.5 Kb) · 8445316.jpg (38.0 Kb)
 
 
UrsunДата: Понедельник, 12.10.2015, 13:38 | Сообщение # 8
Подполковник
Группа: Проверенные
Сообщений: 115
Награды: 0
Репутация: 0
Статус: Offline


 
Работай из дома! 18+
 
 


Что бы увеличить решение и правильный ответ на задания из рабочей тетради по Информатике Босова нажмите на картинку

31. Ниже приведено представление русских букв в кодовой таблице, используемой в системе Windows.



Зная, что десятичные коды прописных букв на 32 меньше кодов соответствующих строчных букв, самостоятельно заполните правую часть таблицы.

32. Закодируйте тексты в кодировке Windows.



33. Декодируйте тексты с помощью кодовой таблицы Windows.



34. Определите, в какой кодировке записан текст, и расшифруйте его.



35. Петя и Коля пишут друг другу электронные письма в кодировке КОИ-8. Однажды Петя ошибся и отправил письмо в кодировке Windows. Коля получил письмо и, как всегда, прочитал его в КОИ-8. Получился бессмысленный текст, одно из предложений которого имело вид:

кЧАЮЪ ХМТНПЛЮЖХЪ ЛНФЕР АШРЭ
ОПЕДЯРЮБКЕМЮ Я ОНЛНЫЭЧ ВХЯЕК.

Какое предложение было в исходном сообщении? Для расшифровки сообщения воспользуйтесь таблицей.


Фото: 2939945.jpg (112.9 Kb) · 0490285.jpg (55.3 Kb) · 2784041.jpg (57.6 Kb) · 4580469.jpg (62.5 Kb) · 6755450.jpg (68.6 Kb)
 
 
UrsunДата: Понедельник, 12.10.2015, 13:40 | Сообщение # 9
Подполковник
Группа: Проверенные
Сообщений: 115
Награды: 0
Репутация: 0
Статус: Offline


 
Работай из дома! 18+
 
 


Что бы увеличить решение и правильные ответы на задания из рабочей тетради по Информатике Босовой нажмите на картинку

36. Укажите истинные высказывания (отметьте «галочками»).



37. Нарисуйте черно-белые изображения, которым будут соответствовать двоичные коды (закрасьте клетки с единицами).



38. Придумайте и нарисуйте простые черно-белые картинки (закрасьте клетки) и запишите их двоичные коды.



39. От десятичных кодов перейдите к двоичным и нарисуйте соответствующие им черно-белые изображения (закрасьте клетки).



40. Рисунки кодируются с помощью следующих команд:

Фото: 7748519.jpg (57.6 Kb) · 1630531.jpg (56.3 Kb) · 2831189.jpg (50.8 Kb) · 0959432.jpg (59.0 Kb) · 6296112.jpg (121.5 Kb)
 
 
UrsunДата: Понедельник, 12.10.2015, 13:42 | Сообщение # 10
Подполковник
Группа: Проверенные
Сообщений: 115
Награды: 0
Репутация: 0
Статус: Offline


 
Работай из дома! 18+
 
 


Что бы увеличить решение и правильные ответы на задания из рабочей тетради по Информатике Босовой нажмите на картинку

41. Придумайте свой несложный рисунок и выполните его описание.



42. Укажите правильный ответ (отметьте точкой).



43. Подсчитайте объём информации в одном из доступных вам словарей (орфографическом, толковом и т. д.). Результаты своей работы внесите в таблицу.



44. Скорость чтения ученика 6 класса составляет приблизительно 160 символов в минуту. Какой объем информации получит ученик, если он будет непрерывно читать в течение 30 минут?

160*30=4800 байт = 4,7 Кб

Сколько времени потребуется ученику, чтобы прочесть текстовый файл, занимающий половину трехдюймовой дискеты?

(1,38*1024*1024/2)/160=4522 (мин)=75,4 ч

Фото: 3995872.jpg (34.2 Kb) · 8094798.jpg (60.5 Kb) · 4041943.jpg (45.2 Kb)
 
 
UrsunДата: Понедельник, 12.10.2015, 13:45 | Сообщение # 11
Подполковник
Группа: Проверенные
Сообщений: 115
Награды: 0
Репутация: 0
Статус: Offline


 
Работай из дома! 18+
 
 


Задания к главе «Человек и информация»

Что бы увеличить решение и правильные ответы на задания из рабочей тетради по Информатике Босовой нажмите на картинку

1. Продолжите фразы.

1) Информация для человека — это знания которые он получает из различных источников.
2) Информация понятна, если она выражена на языке доступном для получателя.
3) Сообщение может пополнить знания человека, если содержащиеся в нем сведения являются для человека понятными и новыми.
4) Знания человека можно разделить на две части - факты и правила.
5) К фактам относятся знания о определенных явлениях, событиях, свойствах объектов и зависимости между объектами.
6) К правилам относятся знания о последовательностях действий, направленных на достижение некоторой цели.


2. Запишите два известных вам факта, относящихся к природным явлениям.

1) Самые продолжительные дни в июне.
2) В грозу нередко возникают сильные ветра разрушительной силы.


3. Запишите два известных вам факта, относящихся к историческим событиям.

1) Куликовская битва состоялась 8 сентября 1380 года.
2) Отечественная война была между Россией и наполеоновской Францией в 1812 году.


4. Запишите два известных вам факта, относящихся к свойствам объектов.

1) Алмаз является самым твердым минералом.
2) Золото, серебро, платина относятся к драгоценным металлам.


5. Запишите два известных вам факта, относящихся к зависимостям между объектами.

1) Луна является спутником Земли.
2) Качество фотографии может зависеть от качества фотобумаги.


6. Запишите несколько известных вам правил хорошего тона.

При встрече со знакомыми и даже малознакомыми людьми принято доброжелательно здороваться.
В разговоре не принято говорить о своих болезнях и неудачах, если, конечно, не наносится визит к врачу.
Руку для приветствия подаёт тот, которому представили нового знакомого.


7. Укажите правильный ответ (отметьте точкой).



8. Укажите понятия, определяемые следующими словами (запишите в прямоугольниках).

1) Группа слов, которая выражает законченную мысль: предложение
2) Значимая часть слова, которая стоит после корня и служит для образования новых слов:
3) Часть речи, которая указывает на предметы, признаки и количества, но не называет их:
4) Расстояние, преодолеваемое за единицу времени: скорость
5) Часть прямой, ограниченная с двух сторон:
6) Многоугольник с наименьшим числом сторон: треугольник
7) Фигура, боковые грани которой — треугольники, а основание — многоугольник: пирамида
8) Натуральное число, на которое заданное натуральное число делится без остатка: делитель натурального числа
9) Натуральное число, имеющее только два делителя: единицу и само это число: простое число
10) Два числа, произведение которых равно 1: взаимно обратные числа


9. Как правило, в загадке в замысловатой форме дается описание существенных признаков некоторого предмета. На основании этой информации требуется догадаться, о каком предмете идет речь.
Придумайте сами загадки для понятий «телефон», «стол», «дискета», «записная книжка», «мышь», «школа».



10. С помощью толковых словарей перечислите существенные признаки, составляющие содержание понятий.

Фото: 1195064.jpg (86.4 Kb) · 6596143.jpg (148.6 Kb) · 7164072.jpg (77.0 Kb)
 
 
UrsunДата: Понедельник, 12.10.2015, 13:48 | Сообщение # 12
Подполковник
Группа: Проверенные
Сообщений: 115
Награды: 0
Репутация: 0
Статус: Offline


 
Работай из дома! 18+
 
 


Что бы увеличить решение и правильные ответы на задания из рабочей тетради по Информатике Босовой нажмите на картинку

11. Сколько треугольников в фигуре, изображенной на рисунке?



12. Проведите линии разреза квадрата на четыре одинаковые по форме и размерам части так, чтобы в каждой из них оказались буквы «Л», «Е», «Т», «О».



13. Используя знаки арифметических действий («+», «–», «», «:») и, если надо, скобки, запишите числа от 1 до 10 с помощью четырех троек.



14. Расставьте между цифрами знаки арифметических действий («+», «–», «», «:») и, если надо, скобки так, чтобы ответ оказался равным 1.



15. Из слогов «бор», «кос», «гон», «ход», «рог», «бег», «мол», «вар», «жар» подберите такой, чтобы он был последним слогом для первого слова и первым — для второго (запишите слоги в скобках).



Фото: 8383066.jpg (9.8 Kb) · 4389318.jpg (13.0 Kb) · 8440269.jpg (12.4 Kb) · 2962132.jpg (9.1 Kb) · 9498893.jpg (11.3 Kb)
 
 
UrsunДата: Понедельник, 12.10.2015, 13:49 | Сообщение # 13
Подполковник
Группа: Проверенные
Сообщений: 115
Награды: 0
Репутация: 0
Статус: Offline


 
Работай из дома! 18+
 
 


Что бы увеличить решение и правильные ответы на задания из рабочей тетради по Информатике Босовой нажмите на картинку

16. Из лагеря вышли пять туристов; Вася, Галя, Толя, Лена и Миша. Толя идет впереди Миши, Лена впереди Васи, но позади Миши, Галя впереди Толи. В каком порядке идут ребята? (Напишите первые буквы имен в нужном порядке в прямоугольниках.)



17. Однажды в Артеке за круглым столом оказалось пятеро ребят родом из Москвы, Санкт-Петербурга, Новгорода, Перми и Томска: Юра, Толя, Алеша, Коля и Витя. Москвич сидел между томичем и Витей, санкт-петербуржец— между Юрой и Толей, а напротив него сидели пермяк и Алеша. Коля никогда не был в Санкт-Петербурге, Юра не бывал в Москве и Томске, а томич с Толей регулярно переписываются.
Определите, в каком городе живет каждый из ребят.



18. Проследите, как изменяются числа в каждом ряду, и продолжите каждый из рядов, вписав еще четыре числа.



19. Укажите наименьшее число яблок, которое нужно одновременно взять из ящика (не заглядывая в него), чтобы среди них были хотя бы 2 яблока одного сорта, если в ящике находятся яблоки:



20. Известно следующее правило умножения на 11: «чтобы умножить число на 11, надо приписать к нему нуль и затем прибавить первоначальное число». Обобщите это правило для случаев умножения на 101 и на 1001.

Правило умножения на 101:
чтобы умножить число на 101, надо приписать к нему два ноля, а затем прибавить первое число.

Правило умножения на 1001:
чтобы умножить число на 1001, надо приписать к нему три ноля, а затем прибавить первое число.
Фото: 3424960.jpg (32.8 Kb) · 6742753.jpg (43.2 Kb) · 7257714.jpg (48.5 Kb) · 9693347.jpg (16.3 Kb)
 
 
UrsunДата: Понедельник, 12.10.2015, 13:54 | Сообщение # 14
Подполковник
Группа: Проверенные
Сообщений: 115
Награды: 0
Репутация: 0
Статус: Offline


 
Работай из дома! 18+
 
 


Что бы увеличить решение и правильные ответы на задания из рабочей тетради по Информатике Босовой нажмите на картинку

21. Определите для каждого из приведенных понятий, общее оно или единичное (соедините стрелками).



22. Выделите попарно общие и единичные понятия и запишите их в соответствующие столбцы таблицы.



23. Составьте пары сравнимых понятий и укажите их общий признак.



24. Для каждого понятия запишите противоположное и противоречивое понятия.



25. Между двумя первыми понятиями существует некоторое отношение. Между третьим и одним из четырех, приведенных ниже, — такое же (аналогичное) отношение. Найдите нужное понятие (отметьте точкой).





Фото: 8658746.jpg (25.2 Kb) · 0618284.jpg (46.5 Kb) · 3952379.jpg (39.9 Kb) · 1641460.jpg (39.1 Kb) · 7773812.jpg (50.9 Kb) · 1212735.jpg (40.9 Kb)
 
 
UrsunДата: Понедельник, 12.10.2015, 14:07 | Сообщение # 15
Подполковник
Группа: Проверенные
Сообщений: 115
Награды: 0
Репутация: 0
Статус: Offline


 
Работай из дома! 18+
 
 


Что бы увеличить решение и правильные ответы на задания из рабочей тетради по Информатике Босовой нажмите на картинку

26. Зачеркните «лишнее» слово, присутствующее в каждой строке. Будьте готовы объяснить, почему вы так считаете:



27. Определите отношения между понятиями и изобразите эти отношения по образцу.



28. Cоставьте пирамиды понятий по образцу.



29. Разработайте меню, которое может быть в программе автоматического поиска книги в библиотеке. В вашем меню должно быть не менее четырех уровней. Меню каждого уровня поместите в отдельные прямоугольники. Соедините линиями пункты меню и связанные с ними меню следующего уровня.



30. Каждый из 35 шестиклассников является читателем по крайней мере одной из двух библиотек: школьной и районной. Из них 25 человек берут книги в школьной библиотеке, 20 — в районной. Схематически это можно представить так:




Читать продолжение решебника...

Фото: 1543481.jpg (80.5 Kb) · 6823499.jpg (64.9 Kb) · 3066358.jpg (77.8 Kb) · 2484062.jpg (65.7 Kb) · 7698271.jpg (42.5 Kb)


 
 
  • Страница 1 из 2
  • 1
  • 2
  • »
Поиск:

Работай из дома! 18+
 
 
 
 
 
 

 
Последние темы на форуме:
 
  • Новогодние праздники 2021-2022 официальные выходные
  • Показатели давления и сердцебиения у женщины 57 лет
  • Гороскоп на декабрь 2021 Женщина Телец
  • Гороскоп на январь 2022 от Павла Глоба
  • Гороскоп на декабрь 2021 от Павла Глоба
  • Гороскоп на ноябрь 2021 от Павла Глоба
  • Стенограмма судьбы - Содержание серий, актеры и роли сериала
  • Мосгаз. Западня - Содержание серий, актеры и роли 2021
  • Тобол - Содержание серий, актеры и роли сериала. 2021
  • Гороскоп для Тигра на сегодня от Павла Глоба
  • Утраченные воспоминания - Содержание серий, актеры и роли
  • Чёрно-белая любовь - Содержание серий, актеры и роли сериала
  • Забытая женщина - Содержание серий, актеры и роли сериала
  • Тайна спящей дамы - Содержание серий, актеры и роли сериала
  • Сериал Часы с кукушкой - Содержание серий, актеры и роли
  •  
     

     
    Обращаем ваше внимание на то, что данный интернет-сайт www.kinolog.do.am носит исключительно информационный характер и ни при каких условиях не является публичной офертой, определяемой положениями Статьи 437 (2) Гражданского кодекса РФ. Цена и наличие товара может отличаться от действительной. Пожалуйста, уточняйте цены и наличие товара у наших менеджеров.
    Администрация сайта не несет ответственности за действия и содержание размещаемой информации пользователей: комментарии, материалы, сообщения и темы на форуме, публикации, объявления и т.д.
    Правообладателям | Реклама | Учебники | Политика
    Отопление, водоснабжение, газоснабжение, канализация © 2003 - 2021
    Рейтинг@Mail.ru Рейтинг арматурных сайтов. ARMTORG.RU Яндекс.Метрика