|
ГДЗ по Физике. 7 класс. Перышкин. Рабочая тетрадь
|
|
| Samuel | Дата: Вторник, 20.10.2015, 10:42 | Сообщение # 91 |
|
Генерал-лейтенант
Группа: Проверенные
Сообщений: 560
Награды: 0
Репутация: 0
Статус: Offline
|
Для увеличения решения и правильного ответа на задание, нажмите на картинку
Упражнение 26

---------------------------------------------------------------------

---------------------------------------------------------------------

---------------------------------------------------------------------
Смотреть оглавление решебника и ГДЗ по Физике. 7 класс. Перышкин А. В
|
| |
| |
| Samuel | Дата: Вторник, 20.10.2015, 10:42 | Сообщение # 92 |
|
Генерал-лейтенант
Группа: Проверенные
Сообщений: 560
Награды: 0
Репутация: 0
Статус: Offline
| Для увеличения решения и правильного ответа на задание, нажмите на картинку
Упражнение 27

---------------------------------------------------------------------

---------------------------------------------------------------------
Смотреть оглавление решебника и ГДЗ по Физике. 7 класс. Перышкин А. В
|
| |
| |
| Samuel | Дата: Вторник, 20.10.2015, 10:43 | Сообщение # 93 |
|
Генерал-лейтенант
Группа: Проверенные
Сообщений: 560
Награды: 0
Репутация: 0
Статус: Offline
| Для увеличения решения и правильного ответа на задание, нажмите на картинку
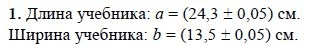
Упражнение 28

---------------------------------------------------------------------

---------------------------------------------------------------------

---------------------------------------------------------------------

---------------------------------------------------------------------
$IMAGE5$
---------------------------------------------------------------------
Смотреть оглавление решебника и ГДЗ по Физике. 7 класс. Перышкин А. В
|
| |
| |
| Samuel | Дата: Вторник, 20.10.2015, 10:44 | Сообщение # 94 |
|
Генерал-лейтенант
Группа: Проверенные
Сообщений: 560
Награды: 0
Репутация: 0
Статус: Offline
| Для увеличения решения и правильного ответа на задание, нажмите на картинку
Упражнение 29

---------------------------------------------------------------------

---------------------------------------------------------------------

---------------------------------------------------------------------

---------------------------------------------------------------------

---------------------------------------------------------------------

---------------------------------------------------------------------
Смотреть оглавление решебника и ГДЗ по Физике. 7 класс. Перышкин А. В
|
| |
| |
| Samuel | Дата: Вторник, 20.10.2015, 10:44 | Сообщение # 95 |
|
Генерал-лейтенант
Группа: Проверенные
Сообщений: 560
Награды: 0
Репутация: 0
Статус: Offline
| Для увеличения решения и правильного ответа на задание, нажмите на картинку
Упражнение 30

---------------------------------------------------------------------

---------------------------------------------------------------------

---------------------------------------------------------------------

---------------------------------------------------------------------

---------------------------------------------------------------------
Смотреть оглавление решебника и ГДЗ по Физике. 7 класс. Перышкин А. В
|
| |
| |
| Samuel | Дата: Вторник, 20.10.2015, 10:45 | Сообщение # 96 |
|
Генерал-лейтенант
Группа: Проверенные
Сообщений: 560
Награды: 0
Репутация: 0
Статус: Offline
| Для увеличения решения и правильного ответа на задание, нажмите на картинку
Упражнение 31

---------------------------------------------------------------------

---------------------------------------------------------------------

---------------------------------------------------------------------

---------------------------------------------------------------------
Смотреть оглавление решебника и ГДЗ по Физике. 7 класс. Перышкин А. В
|
| |
| |
| Samuel | Дата: Вторник, 20.10.2015, 10:46 | Сообщение # 97 |
|
Генерал-лейтенант
Группа: Проверенные
Сообщений: 560
Награды: 0
Репутация: 0
Статус: Offline
| Для увеличения решения и правильного ответа на задание, нажмите на картинку
Упражнение 32

---------------------------------------------------------------------

---------------------------------------------------------------------

---------------------------------------------------------------------

---------------------------------------------------------------------
Смотреть оглавление решебника и ГДЗ по Физике. 7 класс. Перышкин А. В
|
| |
| |
| Samuel | Дата: Вторник, 20.10.2015, 10:47 | Сообщение # 98 |
|
Генерал-лейтенант
Группа: Проверенные
Сообщений: 560
Награды: 0
Репутация: 0
Статус: Offline
| Для увеличения решения и правильного ответа на задание, нажмите на картинку
Упражнение 33

---------------------------------------------------------------------

---------------------------------------------------------------------

---------------------------------------------------------------------
Смотреть оглавление решебника и ГДЗ по Физике. 7 класс. Перышкин А. В
|
| |
| |
| Samuel | Дата: Вторник, 20.10.2015, 11:08 | Сообщение # 99 |
|
Генерал-лейтенант
Группа: Проверенные
Сообщений: 560
Награды: 0
Репутация: 0
Статус: Offline
| Для увеличения решения и правильного ответа на задание, нажмите на картинку
Задание 1

---------------------------------------------------------------------

---------------------------------------------------------------------
Смотреть оглавление решебника и ГДЗ по Физике. 7 класс. Перышкин А. В
|
| |
| |
| Samuel | Дата: Вторник, 20.10.2015, 11:09 | Сообщение # 100 |
|
Генерал-лейтенант
Группа: Проверенные
Сообщений: 560
Награды: 0
Репутация: 0
Статус: Offline
| Для увеличения решения и правильного ответа на задание, нажмите на картинку
Задание 2

---------------------------------------------------------------------

---------------------------------------------------------------------
Смотреть оглавление решебника и ГДЗ по Физике. 7 класс. Перышкин А. В
|
| |
| |
| Samuel | Дата: Вторник, 20.10.2015, 11:10 | Сообщение # 101 |
|
Генерал-лейтенант
Группа: Проверенные
Сообщений: 560
Награды: 0
Репутация: 0
Статус: Offline
| Для увеличения решения и правильного ответа на задание, нажмите на картинку
Задание 3

---------------------------------------------------------------------
Смотреть оглавление решебника и ГДЗ по Физике. 7 класс. Перышкин А. В
|
| |
| |
| Samuel | Дата: Вторник, 20.10.2015, 11:10 | Сообщение # 102 |
|
Генерал-лейтенант
Группа: Проверенные
Сообщений: 560
Награды: 0
Репутация: 0
Статус: Offline
| Для увеличения решения и правильного ответа на задание, нажмите на картинку
Задание 4

---------------------------------------------------------------------
Смотреть оглавление решебника и ГДЗ по Физике. 7 класс. Перышкин А. В
|
| |
| |
| Samuel | Дата: Вторник, 20.10.2015, 11:11 | Сообщение # 103 |
|
Генерал-лейтенант
Группа: Проверенные
Сообщений: 560
Награды: 0
Репутация: 0
Статус: Offline
| Для увеличения решения и правильного ответа на задание, нажмите на картинку
Задание 5

---------------------------------------------------------------------
Смотреть оглавление решебника и ГДЗ по Физике. 7 класс. Перышкин А. В
|
| |
| |
| Samuel | Дата: Вторник, 20.10.2015, 11:12 | Сообщение # 104 |
|
Генерал-лейтенант
Группа: Проверенные
Сообщений: 560
Награды: 0
Репутация: 0
Статус: Offline
| Для увеличения решения и правильного ответа на задание, нажмите на картинку
Задание 6

---------------------------------------------------------------------

---------------------------------------------------------------------
Смотреть оглавление решебника и ГДЗ по Физике. 7 класс. Перышкин А. В
|
| |
| |
| Samuel | Дата: Вторник, 20.10.2015, 11:12 | Сообщение # 105 |
|
Генерал-лейтенант
Группа: Проверенные
Сообщений: 560
Награды: 0
Репутация: 0
Статус: Offline
| Для увеличения решения и правильного ответа на задание, нажмите на картинку
Задание 7

---------------------------------------------------------------------
Читать решебник далее...
|
| |
| |