|
ГДЗ по Физике. 7 класс. Перышкин. Рабочая тетрадь
|
|
| Samuel | Дата: Понедельник, 19.10.2015, 16:37 | Сообщение # 61 |
|
Генерал-лейтенант
Группа: Проверенные
Сообщений: 560
Награды: 0
Репутация: 0
Статус: Offline
|
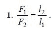
Для увеличения решения и правильного ответа на задание, нажмите на картинку
Параграф §60

---------------------------------------------------------------------

---------------------------------------------------------------------

---------------------------------------------------------------------

---------------------------------------------------------------------

---------------------------------------------------------------------
Смотреть оглавление решебника и ГДЗ по Физике. 7 класс. Перышкин А. В
|
| |
| |
| Samuel | Дата: Понедельник, 19.10.2015, 16:39 | Сообщение # 62 |
|
Генерал-лейтенант
Группа: Проверенные
Сообщений: 560
Награды: 0
Репутация: 0
Статус: Offline
| Для увеличения решения и правильного ответа на задание, нажмите на картинку
Параграф §61

---------------------------------------------------------------------

---------------------------------------------------------------------

---------------------------------------------------------------------

---------------------------------------------------------------------

---------------------------------------------------------------------
Смотреть оглавление решебника и ГДЗ по Физике. 7 класс. Перышкин А. В
|
| |
| |
| Samuel | Дата: Понедельник, 19.10.2015, 16:39 | Сообщение # 63 |
|
Генерал-лейтенант
Группа: Проверенные
Сообщений: 560
Награды: 0
Репутация: 0
Статус: Offline
| Для увеличения решения и правильного ответа на задание, нажмите на картинку
Параграф §62

---------------------------------------------------------------------

---------------------------------------------------------------------

---------------------------------------------------------------------
Смотреть оглавление решебника и ГДЗ по Физике. 7 класс. Перышкин А. В
|
| |
| |
| Samuel | Дата: Понедельник, 19.10.2015, 16:41 | Сообщение # 64 |
|
Генерал-лейтенант
Группа: Проверенные
Сообщений: 560
Награды: 0
Репутация: 0
Статус: Offline
| Для увеличения решения и правильного ответа на задание, нажмите на картинку
Параграф §63

---------------------------------------------------------------------

---------------------------------------------------------------------

---------------------------------------------------------------------

---------------------------------------------------------------------

---------------------------------------------------------------------

---------------------------------------------------------------------

---------------------------------------------------------------------
Смотреть оглавление решебника и ГДЗ по Физике. 7 класс. Перышкин А. В
|
| |
| |
| Samuel | Дата: Понедельник, 19.10.2015, 16:42 | Сообщение # 65 |
|
Генерал-лейтенант
Группа: Проверенные
Сообщений: 560
Награды: 0
Репутация: 0
Статус: Offline
| Для увеличения решения и правильного ответа на задание, нажмите на картинку
Параграф §64

---------------------------------------------------------------------

---------------------------------------------------------------------

---------------------------------------------------------------------
Смотреть оглавление решебника и ГДЗ по Физике. 7 класс. Перышкин А. В
|
| |
| |
| Samuel | Дата: Вторник, 20.10.2015, 10:06 | Сообщение # 66 |
|
Генерал-лейтенант
Группа: Проверенные
Сообщений: 560
Награды: 0
Репутация: 0
Статус: Offline
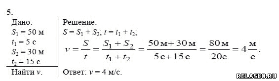
| Для увеличения решения и правильного ответа на задание, нажмите на картинку
Упражнение 1

---------------------------------------------------------------------

---------------------------------------------------------------------
Смотреть оглавление решебника и ГДЗ по Физике. 7 класс. Перышкин А. В
|
| |
| |
| Samuel | Дата: Вторник, 20.10.2015, 10:07 | Сообщение # 67 |
|
Генерал-лейтенант
Группа: Проверенные
Сообщений: 560
Награды: 0
Репутация: 0
Статус: Offline
| Для увеличения решения и правильного ответа на задание, нажмите на картинку
Упражнение 2

---------------------------------------------------------------------

---------------------------------------------------------------------
Смотреть оглавление решебника и ГДЗ по Физике. 7 класс. Перышкин А. В
|
| |
| |
| Samuel | Дата: Вторник, 20.10.2015, 10:07 | Сообщение # 68 |
|
Генерал-лейтенант
Группа: Проверенные
Сообщений: 560
Награды: 0
Репутация: 0
Статус: Offline
| Для увеличения решения и правильного ответа на задание, нажмите на картинку
Упражнение 3

---------------------------------------------------------------------

---------------------------------------------------------------------

---------------------------------------------------------------------
Смотреть оглавление решебника и ГДЗ по Физике. 7 класс. Перышкин А. В
|
| |
| |
| Samuel | Дата: Вторник, 20.10.2015, 10:08 | Сообщение # 69 |
|
Генерал-лейтенант
Группа: Проверенные
Сообщений: 560
Награды: 0
Репутация: 0
Статус: Offline
| Для увеличения решения и правильного ответа на задание, нажмите на картинку
Упражнение 4

---------------------------------------------------------------------

---------------------------------------------------------------------

---------------------------------------------------------------------

---------------------------------------------------------------------

---------------------------------------------------------------------
Смотреть оглавление решебника и ГДЗ по Физике. 7 класс. Перышкин А. В
|
| |
| |
| Samuel | Дата: Вторник, 20.10.2015, 10:10 | Сообщение # 70 |
|
Генерал-лейтенант
Группа: Проверенные
Сообщений: 560
Награды: 0
Репутация: 0
Статус: Offline
| Для увеличения решения и правильного ответа на задание, нажмите на картинку
Упражнение 5

---------------------------------------------------------------------

---------------------------------------------------------------------

---------------------------------------------------------------------

---------------------------------------------------------------------

---------------------------------------------------------------------
Смотреть оглавление решебника и ГДЗ по Физике. 7 класс. Перышкин А. В
|
| |
| |
| Samuel | Дата: Вторник, 20.10.2015, 10:11 | Сообщение # 71 |
|
Генерал-лейтенант
Группа: Проверенные
Сообщений: 560
Награды: 0
Репутация: 0
Статус: Offline
| Для увеличения решения и правильного ответа на задание, нажмите на картинку
Упражнение 6

---------------------------------------------------------------------

---------------------------------------------------------------------

---------------------------------------------------------------------
Смотреть оглавление решебника и ГДЗ по Физике. 7 класс. Перышкин А. В
|
| |
| |
| Samuel | Дата: Вторник, 20.10.2015, 10:12 | Сообщение # 72 |
|
Генерал-лейтенант
Группа: Проверенные
Сообщений: 560
Награды: 0
Репутация: 0
Статус: Offline
| Для увеличения решения и правильного ответа на задание, нажмите на картинку
Упражнение 7

---------------------------------------------------------------------

---------------------------------------------------------------------

---------------------------------------------------------------------

---------------------------------------------------------------------

---------------------------------------------------------------------
Смотреть оглавление решебника и ГДЗ по Физике. 7 класс. Перышкин А. В
|
| |
| |
| Samuel | Дата: Вторник, 20.10.2015, 10:12 | Сообщение # 73 |
|
Генерал-лейтенант
Группа: Проверенные
Сообщений: 560
Награды: 0
Репутация: 0
Статус: Offline
| Для увеличения решения и правильного ответа на задание, нажмите на картинку
Упражнение 8

---------------------------------------------------------------------

---------------------------------------------------------------------

---------------------------------------------------------------------

---------------------------------------------------------------------
Смотреть оглавление решебника и ГДЗ по Физике. 7 класс. Перышкин А. В
|
| |
| |
| Samuel | Дата: Вторник, 20.10.2015, 10:31 | Сообщение # 74 |
|
Генерал-лейтенант
Группа: Проверенные
Сообщений: 560
Награды: 0
Репутация: 0
Статус: Offline
| Для увеличения решения и правильного ответа на задание, нажмите на картинку
Упражнение 9

---------------------------------------------------------------------

---------------------------------------------------------------------

---------------------------------------------------------------------

---------------------------------------------------------------------

---------------------------------------------------------------------
Смотреть оглавление решебника и ГДЗ по Физике. 7 класс. Перышкин А. В
|
| |
| |
| Samuel | Дата: Вторник, 20.10.2015, 10:31 | Сообщение # 75 |
|
Генерал-лейтенант
Группа: Проверенные
Сообщений: 560
Награды: 0
Репутация: 0
Статус: Offline
| Для увеличения решения и правильного ответа на задание, нажмите на картинку
Упражнение 10

---------------------------------------------------------------------

---------------------------------------------------------------------

---------------------------------------------------------------------
Читать решебник далее...
|
| |
| |