[ Новые сообщения · Участники · Правила форума · Поиск · RSS ]
 
Работай из дома! 18+

  • Страница 1 из 1
  • 1
Лабораторная работа № 5. Сравнение количеств теплоты.
HillaryДата: Вторник, 19.12.2017, 12:58 | Сообщение # 1
Полковник
Группа: Проверенные
Сообщений: 231
Награды: 0
Репутация: 0
Статус: Offline


 
Работай из дома! 18+
 
 


Лабораторная работа № 5. Сравнение количеств теплоты при смешивании воды разной температуры.



«Физика. 7-й и 8-й классы» С.В Громов, Н.А. Родина за 7-8 классы. ФИПИ. ФГОС. Школа России. 21 век.

Презентация на тему: Лабораторная работа № 5. Сравнение количеств теплоты при смешивании воды разной температуры.

ГДЗ и решебник по предмету Физике. Лабораторные работы по Физике с ответами можно бесплатно скачать к себе на компьютер, телефон, планшетник или смартфон в любом формате. Потом в свое свободное время можно решать задачи онлайн или офлайн. А также проверить сразу решения и правильные ответы на задания лабораторной работы. Ответы, вывод, пояснения и решение на лабораторную работу смотрите ниже. Таблица и описание опыта можно прочитать или посмотреть по видео.



Цель работы: Определить количество теплоты, отданное горячей водой и полученное холодной при теплообмене. Сравнить результаты.
Мы знаем, что внутреннюю энергию тела можно изменить не только за счет работы, но и за счет нагревания тела. При этом процесс передачи энергии от одного тела к другому без совершения работы называют теплообменом. Изменение внутренней энергии при теплообмене называют полученной или

отданной теплотой. Мы знаем также, что количество теплоты, необходимое для нагревания тела (или выделяемое им при охлаждении), зависит от рода вещества, из которого оно состоит, от массы этого тела и от изменения его температуры:



Измерить количество переданной теплоты можно в калориметрах. Это устройство мы будем использовать в этой работе.

Калориметр состоит из двух сосудов: внутреннего и внешнего. Внешний сосуд должен предохранять внутренний от потери тепла за счет теплообмена с окружающей средой. Сверху оба сосуда закрываются крышкой с установленным на ней термометром.

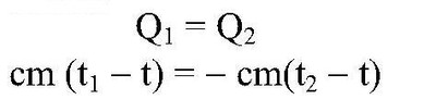
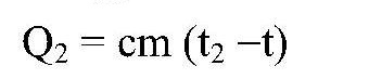
Если в калориметр налить воды массой m1 при температуре а затем еще добавить воды массой m2 при температуре t2 , то в сосуде начнется теплообмен, а спустя некоторое время установится состояние теплового равновесия. При этом обе части воды будут иметь одну и ту же температуру t, и количество теплоты, отданное горячей водой, равно количеству теплоты, полученной холодной водой. Последнее утверждение составляет смысл уравнения теплового баланса:



Пример выполнения работы:

Вычисления:



Количество теплоты, отданное горячей водой:




Количество теплоты, полученное холодной водой:




Вывод:

Количество теплоты, полученное холодной водой, приблизительно равно количеству теплоты, отданному горячей водой.

Точность приближения зависит от потерь теплоты в окружающую среду.

Видео. Лабораторная работа № 5. Сравнение количеств теплоты при смешивании воды разной температуры.






Смотрите еще лабораторные работы на следущие темы:


Лабораторная работа № 1. Измерение ускорения тела при равноускоренном движении.

Лабораторная работа № 2. Изучение движения конического маятника.

Лабораторная работа № 3. Измерение силы трения скольжения.

Лабораторная работа № 4. Изучение колебаний нитяного маятника.

Лабораторная работа № 5. Сравнение количеств теплоты при смешивании воды разной температуры.

Лабораторная работа № 6. Наблюдение за охлаждением воды при ее испарении и определение влажности воздуха.

Фото: 1410400.jpg (8.1 Kb) · 6346124.jpg (11.0 Kb) · 3249497.jpg (30.4 Kb) · 1187026.jpg (8.0 Kb) · 6376233.jpg (5.9 Kb) · 2405527.jpg (21.7 Kb) · 9138723.jpg (5.0 Kb)
 
 
  • Страница 1 из 1
  • 1
Поиск:

Работай из дома! 18+
 
 
 
 
 
 

 
Последние темы на форуме:
 
  • Новогодние праздники 2021-2022 официальные выходные
  • Показатели давления и сердцебиения у женщины 57 лет
  • Гороскоп на декабрь 2021 Женщина Телец
  • Гороскоп на январь 2022 от Павла Глоба
  • Гороскоп на декабрь 2021 от Павла Глоба
  • Гороскоп на ноябрь 2021 от Павла Глоба
  • Стенограмма судьбы - Содержание серий, актеры и роли сериала
  • Мосгаз. Западня - Содержание серий, актеры и роли 2021
  • Тобол - Содержание серий, актеры и роли сериала. 2021
  • Гороскоп для Тигра на сегодня от Павла Глоба
  • Утраченные воспоминания - Содержание серий, актеры и роли
  • Чёрно-белая любовь - Содержание серий, актеры и роли сериала
  • Забытая женщина - Содержание серий, актеры и роли сериала
  • Тайна спящей дамы - Содержание серий, актеры и роли сериала
  • Сериал Часы с кукушкой - Содержание серий, актеры и роли
  •  
     

     
    Обращаем ваше внимание на то, что данный интернет-сайт www.kinolog.do.am носит исключительно информационный характер и ни при каких условиях не является публичной офертой, определяемой положениями Статьи 437 (2) Гражданского кодекса РФ. Цена и наличие товара может отличаться от действительной. Пожалуйста, уточняйте цены и наличие товара у наших менеджеров.
    Администрация сайта не несет ответственности за действия и содержание размещаемой информации пользователей: комментарии, материалы, сообщения и темы на форуме, публикации, объявления и т.д.
    Правообладателям | Реклама | Учебники | Политика
    Отопление, водоснабжение, газоснабжение, канализация © 2003 - 2021
    Рейтинг@Mail.ru Рейтинг арматурных сайтов. ARMTORG.RU Яндекс.Метрика