[ Новые сообщения · Участники · Правила форума · Поиск · RSS ]
 
Работай из дома! 18+

  • Страница 1 из 1
  • 1
Лабораторная работа № 3. Регулирование силы тока реостатом
HillaryДата: Среда, 20.12.2017, 09:47 | Сообщение # 1
Полковник
Группа: Проверенные
Сообщений: 231
Награды: 0
Репутация: 0
Статус: Offline


 
Работай из дома! 18+
 
 


Лабораторная работа № 3. Регулирование силы тока реостатом и измерение сопротивления с помощью амперметра и вольтметра



«Физика. Физика. 9-й класс С.В. Громов, Н.А. Родина. ФИПИ. ФГОС. Школа России. 21 век.

Презентация на тему: Лабораторная работа № 3. Регулирование силы тока реостатом и измерение сопротивления с помощью амперметра и вольтметра

ГДЗ и решебник по предмету Физике. Лабораторные работы по Физике с ответами можно бесплатно скачать к себе на компьютер, телефон, планшетник или смартфон в любом формате. Потом в свое свободное время можно решать задачи онлайн или офлайн. А также проверить сразу решения и правильные ответы на задания лабораторной работы. Ответы, вывод, пояснения и решение на лабораторную работу смотрите ниже. Таблица и описание опыта можно прочитать или посмотреть по видео.



Регулирование силы тока реостатом и измерение сопротивления с помощью амперметра и вольтметра

Оборудование: источник питания, реостат, резистор, амперметр, вольтметр, ключ, соединительные провода.

Указания к выполнению работы

1. Рассмотрите реостат. Установите, при каком положении ползунка сопротивление реостата является наибольшим и наименьшим.

2. Соберите цепь, соединив последовательно источник питания, амперметр, реостат, резистор и ключ. К зажимам реостата присоедините вольтметр.

3. Изобразите в тетради схему цепи.

4. Плавно перемещая ползунок, измерьте силу тока и напряжение при его трех различных положениях. Рассчитайте сопротивление реостата, соответствующее каждому из этих случаев. Результаты измерений и вычислений занесите в таблицу.



Положение

ползунка

I, А

U, В

R, Ом

1

2

3

В данной работе мы проверим закон Ома и научимся регулировать силу тока в цепи путем изменения ее сопротивления. Как известно,



- закон Ома. В нашей цепи R - сопротивление реостата и резистора, которое мы можем изменить механически (путем перемещения ползунка реостата). Как видно из (1), увеличивая R, мы добьемся уменьшения силы тока и наоборот. Следует отметить, что напряжение U остается неизменным и равно напряжению на реостате.

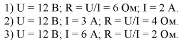
Пример выполнения работы:






I, A

U, B

R, Ом

1

2

12

6

2

3

12

4

3

6

12

2

Таким образом, мы экспериментально подтвердили закон Ома.

Видео. Лабораторная работа № 3. Регулирование силы тока реостатом и измерение сопротивления с помощью амперметра и вольтметра




Фото: 4008439.png (1.4 Kb) · 1114892.png (1.1 Kb) · 7802976.png (1.4 Kb) · 1072471.png (1.4 Kb) · 0607817.png (7.3 Kb) · 7552110.png (7.0 Kb)
 
 
  • Страница 1 из 1
  • 1
Поиск:

Работай из дома! 18+
 
 
 
 
 
 

 
Последние темы на форуме:
 
  • Новогодние праздники 2021-2022 официальные выходные
  • Показатели давления и сердцебиения у женщины 57 лет
  • Гороскоп на декабрь 2021 Женщина Телец
  • Гороскоп на январь 2022 от Павла Глоба
  • Гороскоп на декабрь 2021 от Павла Глоба
  • Гороскоп на ноябрь 2021 от Павла Глоба
  • Стенограмма судьбы - Содержание серий, актеры и роли сериала
  • Мосгаз. Западня - Содержание серий, актеры и роли 2021
  • Тобол - Содержание серий, актеры и роли сериала. 2021
  • Гороскоп для Тигра на сегодня от Павла Глоба
  • Утраченные воспоминания - Содержание серий, актеры и роли
  • Чёрно-белая любовь - Содержание серий, актеры и роли сериала
  • Забытая женщина - Содержание серий, актеры и роли сериала
  • Тайна спящей дамы - Содержание серий, актеры и роли сериала
  • Сериал Часы с кукушкой - Содержание серий, актеры и роли
  •  
     

     
    Обращаем ваше внимание на то, что данный интернет-сайт www.kinolog.do.am носит исключительно информационный характер и ни при каких условиях не является публичной офертой, определяемой положениями Статьи 437 (2) Гражданского кодекса РФ. Цена и наличие товара может отличаться от действительной. Пожалуйста, уточняйте цены и наличие товара у наших менеджеров.
    Администрация сайта не несет ответственности за действия и содержание размещаемой информации пользователей: комментарии, материалы, сообщения и темы на форуме, публикации, объявления и т.д.
    Правообладателям | Реклама | Учебники | Политика
    Отопление, водоснабжение, газоснабжение, канализация © 2003 - 2021
    Рейтинг@Mail.ru Рейтинг арматурных сайтов. ARMTORG.RU Яндекс.Метрика