[ Новые сообщения · Участники · Правила форума · Поиск · RSS ]
 
Работай из дома! 18+

  • Страница 1 из 1
  • 1
Лабораторная работа № 7. Измерение фокусного расстояния
HillaryДата: Среда, 20.12.2017, 10:21 | Сообщение # 1
Полковник
Группа: Проверенные
Сообщений: 231
Награды: 0
Репутация: 0
Статус: Offline


 
Работай из дома! 18+
 
 


Лабораторная работа № 7. Измерение фокусного расстояния и оптической силы линзы



«Физика. Физика. 9-й класс С.В. Громов, Н.А. Родина. ФИПИ. ФГОС. Школа России. 21 век.

Презентация на тему: Лабораторная работа № 7. Измерение фокусного расстояния и оптической силы линзы

ГДЗ и решебник по предмету Физике. Лабораторные работы по Физике с ответами можно бесплатно скачать к себе на компьютер, телефон, планшетник или смартфон в любом формате. Потом в свое свободное время можно решать задачи онлайн или офлайн. А также проверить сразу решения и правильные ответы на задания лабораторной работы. Ответы, вывод, пояснения и решение на лабораторную работу смотрите ниже. Таблица и описание опыта можно прочитать или посмотреть по видео.



Измерение фокусного расстояния и оптической силы линзы

Оборудование: собирающая (двояковыпуклая) линза, экран, линейка.

Указания к выполнению работы

1. Расположив линзу между окном и экраном, получите на экране резкое изображение какого-либо удаленного предмета (здания за окном, дерева или, в крайнем случае, окна кабинета, или находящейся как можно дальше от вас осветительной лампы).

2. Измерьте расстояние от линзы до полученного изображения. Это и есть (приблизительно) фокусное расстояние F линзы. Выразите полученный результат в сантиметрах и метрах.

3. Рассчитайте оптическую силу D линзы. В каких единицах она измеряется?

Эта работа очень простая, однако требует определенную аккуратность в выполнении. Мы, в свою очередь, напомним, что фокусным расстоянием называется расстояние от оптического центра линзы до точки, где пересекаются лучи света, прошедшие сквозь линзу (фокуса). Оптическая сила линзы обратно пропорциональна ее фокусному расстоянию:



и измеряется в диоптриях [Дптр].

Примерный ход работы:

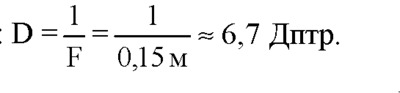
Фокусное расстояние: F = 15 см = 0,15 м

Оптическая сила:



Видео. Лабораторная работа № 7. Измерение фокусного расстояния и оптической силы линзы





Фото: 0369967.png (1.2 Kb) · 6356824.png (2.2 Kb)
 
 
  • Страница 1 из 1
  • 1
Поиск:

Работай из дома! 18+
 
 
 
 
 
 

 
Последние темы на форуме:
 
  • Новогодние праздники 2021-2022 официальные выходные
  • Показатели давления и сердцебиения у женщины 57 лет
  • Гороскоп на декабрь 2021 Женщина Телец
  • Гороскоп на январь 2022 от Павла Глоба
  • Гороскоп на декабрь 2021 от Павла Глоба
  • Гороскоп на ноябрь 2021 от Павла Глоба
  • Стенограмма судьбы - Содержание серий, актеры и роли сериала
  • Мосгаз. Западня - Содержание серий, актеры и роли 2021
  • Тобол - Содержание серий, актеры и роли сериала. 2021
  • Гороскоп для Тигра на сегодня от Павла Глоба
  • Утраченные воспоминания - Содержание серий, актеры и роли
  • Чёрно-белая любовь - Содержание серий, актеры и роли сериала
  • Забытая женщина - Содержание серий, актеры и роли сериала
  • Тайна спящей дамы - Содержание серий, актеры и роли сериала
  • Сериал Часы с кукушкой - Содержание серий, актеры и роли
  •  
     

     
    Обращаем ваше внимание на то, что данный интернет-сайт www.kinolog.do.am носит исключительно информационный характер и ни при каких условиях не является публичной офертой, определяемой положениями Статьи 437 (2) Гражданского кодекса РФ. Цена и наличие товара может отличаться от действительной. Пожалуйста, уточняйте цены и наличие товара у наших менеджеров.
    Администрация сайта не несет ответственности за действия и содержание размещаемой информации пользователей: комментарии, материалы, сообщения и темы на форуме, публикации, объявления и т.д.
    Правообладателям | Реклама | Учебники | Политика
    Отопление, водоснабжение, газоснабжение, канализация © 2003 - 2021
    Рейтинг@Mail.ru Рейтинг арматурных сайтов. ARMTORG.RU Яндекс.Метрика