[ Новые сообщения · Участники · Правила форума · Поиск · RSS ]
 
Работай из дома! 18+

  • Страница 1 из 1
  • 1
Лаб. работа № 10. Определение ускорения свободного падения
HillaryДата: Среда, 20.12.2017, 10:38 | Сообщение # 1
Полковник
Группа: Проверенные
Сообщений: 231
Награды: 0
Репутация: 0
Статус: Offline


 
Работай из дома! 18+
 
 


Лабораторная работа № 10. Определение ускорения свободного падения



«Физика. Физика. 9-й класс С.В. Громов, Н.А. Родина. ФИПИ. ФГОС. Школа России. 21 век.

Презентация на тему: Лабораторная работа № 10. Определение ускорения свободного падения

ГДЗ и решебник по предмету Физике. Лабораторные работы по Физике с ответами можно бесплатно скачать к себе на компьютер, телефон, планшетник или смартфон в любом формате. Потом в свое свободное время можно решать задачи онлайн или офлайн. А также проверить сразу решения и правильные ответы на задания лабораторной работы. Ответы, вывод, пояснения и решение на лабораторную работу смотрите ниже. Таблица и описание опыта можно прочитать или посмотреть по видео.



Оборудование: шарик на нити, штатив с муфтой и кольцом, измерительная лента, часы.

Указания к выполнению работы

1. Решите задачу. Нитяной маятник за время t совершает п колебаний; длина нити равна I. Определите ускорение свободного падения g.

2. Воспользовавшись имеющимся оборудованием, измерьте значения величин, необходимых для определения ускорения свободного падения. Для этого установите на краю стола штатив. К кольцу штатива подвесьте шарик на длинной нити. Шарик при этом должен находиться на расстоянии 3—5 см от пола. Отклоните затем маятник на 5—8 см от положения равновесия и отпустите. Измерьте время t, за которое маятник сделает n = 40 полных колебаний. Длину нити l измерьте с помощью ленты.

3. Воспользовавшись формулой, полученной в начале данной работы, вычислите ускорение свободного падения.

4. Результаты измерений и вычислений занесите в таблицу.

п

l, м

t, с

g. м/c2

40

Используемые обозначения
q — электрический заряд Q — количество теплоты

е — элементарный заряд FЛ — сила Лоренца

I — сила тока FA — сила Ампера

U — напряжение а — ускорение

R — сопротивление F—фокусное расстояние

ρ — удельное сопротивление D — оптическая сила

А — работа тока G — гравитационная постоянная

Р — мощность тока Н — постоянная Хаббла

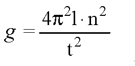
Существуют разные способы определения ускорения свободного падения. Мы воспользуемся для этого маятником - шариком на нити. Период колебания такого маятника:



или



Зная длину маятника l, время и количество колебаний - t и n, соответственно, мы можем рассчитать ускорение свободного падения g:



Пример выполнения работы:

n

1, м

t, c

g, м/с2

40

0,56

60

9,83



Видео. Лабораторная работа № 10. Определение ускорения свободного падения







Фото: 0752302.png (1.8 Kb) · 1550122.png (2.0 Kb) · 1619132.png (1.3 Kb) · 0049101.png (2.2 Kb)
 
 
  • Страница 1 из 1
  • 1
Поиск:

Работай из дома! 18+
 
 
 
 
 
 

 
Последние темы на форуме:
 
  • Новогодние праздники 2021-2022 официальные выходные
  • Показатели давления и сердцебиения у женщины 57 лет
  • Гороскоп на декабрь 2021 Женщина Телец
  • Гороскоп на январь 2022 от Павла Глоба
  • Гороскоп на декабрь 2021 от Павла Глоба
  • Гороскоп на ноябрь 2021 от Павла Глоба
  • Стенограмма судьбы - Содержание серий, актеры и роли сериала
  • Мосгаз. Западня - Содержание серий, актеры и роли 2021
  • Тобол - Содержание серий, актеры и роли сериала. 2021
  • Гороскоп для Тигра на сегодня от Павла Глоба
  • Утраченные воспоминания - Содержание серий, актеры и роли
  • Чёрно-белая любовь - Содержание серий, актеры и роли сериала
  • Забытая женщина - Содержание серий, актеры и роли сериала
  • Тайна спящей дамы - Содержание серий, актеры и роли сериала
  • Сериал Часы с кукушкой - Содержание серий, актеры и роли
  •  
     

     
    Обращаем ваше внимание на то, что данный интернет-сайт www.kinolog.do.am носит исключительно информационный характер и ни при каких условиях не является публичной офертой, определяемой положениями Статьи 437 (2) Гражданского кодекса РФ. Цена и наличие товара может отличаться от действительной. Пожалуйста, уточняйте цены и наличие товара у наших менеджеров.
    Администрация сайта не несет ответственности за действия и содержание размещаемой информации пользователей: комментарии, материалы, сообщения и темы на форуме, публикации, объявления и т.д.
    Правообладателям | Реклама | Учебники | Политика
    Отопление, водоснабжение, газоснабжение, канализация © 2003 - 2021
    Рейтинг@Mail.ru Рейтинг арматурных сайтов. ARMTORG.RU Яндекс.Метрика