[ Новые сообщения · Участники · Правила форума · Поиск · RSS ]
 
Работай из дома! 18+

  • Страница 1 из 1
  • 1
Лаб. работа № 3 Исследование зависимости периода и частоты
HillaryДата: Четверг, 21.12.2017, 10:44 | Сообщение # 1
Полковник
Группа: Проверенные
Сообщений: 231
Награды: 0
Репутация: 0
Статус: Offline


 
Работай из дома! 18+
 
 


Лабораторная работа № 3 Исследование зависимости периода и частоты свободных колебаний нитяного маятника от его длины



Физика. 9 класс» А.В. Перышкин, Е.М. Гутник за 9 класс. ФИПИ. ФГОС. Школа России. 21 век.

Презентация на тему: Лабораторная работа № 3 Исследование зависимости периода и частоты свободных колебаний нитяного маятника от его длины

ГДЗ и решебник по предмету Физике. Лабораторные работы по Физике с ответами можно бесплатно скачать к себе на компьютер, телефон, планшетник или смартфон в любом формате. Потом в свое свободное время можно решать задачи онлайн или офлайн. А также проверить сразу решения и правильные ответы на задания лабораторной работы. Ответы, вывод, пояснения и решение на лабораторную работу смотрите ниже. Таблица и описание опыта можно прочитать или посмотреть по видео.



Цель работы: выяснить, как зависят период и частота свободных колебаний нитяного маятника от его длины.

Дополнительное задание

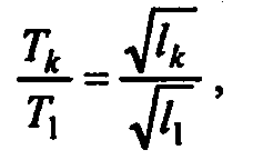
Цель задания: выяснить, какая математическая зависимость существует между длиной маятника и периодом его колебаний.

При изменении длины нитяного маятника меняется его частота и период. В данной работе мы должны определить эту зависимость. Период и частоту определяем следующим образом. Отклоним шарик маятника от положения равновесия на небольшую амплитуду и засечем время t, в течение которого маятник совершит N . колебаний. Тогда период и амплитуду можно посчитать по формулам:



Измеряя период и частоту при разных значениях длины маятника, мы тем самым получаем зависимость периода и частоты от длины.

Пример выполнения работы.

№ опыта Физ. вел.

1

2

3

4

5

5

20

45

80

125

30

30

30

30

30

13

27

40

53

67

0,43

0,9

1,33

1,77

2,23

2,31

1,11

0,75

0,57

0,45

Из данных в таблице можно заметить такую закономерность: чем больше длина маятника, тем больше период и меньше частота, и наоборот.

Дополнительное задание.

Цель задания: выяснить, какая математическая зависимость существует между длиной маятника и периодом его колебаний.




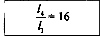
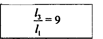
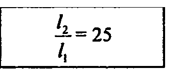
Из данных в таблице хорошо просматривается связь между периодом колебаний маятника и его длиной:



Видео. Лабораторная работа № 3 Исследование зависимости периода и частоты свободных колебаний нитяного маятника от его длины








Смотрите также еще и другие лабораторки по Физике

Лабораторная работа №1. Исследование равноускоренного движения без начальной скорости

Лабораторная работа № 2 Измерение ускорения свободного падения

Лабораторная работа № 3 Исследование зависимости периода и частоты свободных колебаний нитяного маятника от его длины

Лабораторная работа №4 Изучение явления электромагнитной индукции

Лабораторная работа №5 Изучение деления ядра атома урана по фотографии треков

Лабораторная работа №6 Изучение треков заряженных частиц по готовым фотографиям
Фото: 2117169.png (1.8 Kb) · 4426509.png (1.5 Kb) · 5386836.png (1.7 Kb) · 3009370.png (1.6 Kb) · 5625843.png (1.6 Kb) · 6807791.png (1.3 Kb) · 4649037.png (1.5 Kb) · 3137762.png (1.4 Kb) · 3869828.png (1.6 Kb) · 7148411.png (1.6 Kb)
 
 
  • Страница 1 из 1
  • 1
Поиск:

Работай из дома! 18+
 
 
 
 
 
 

 
Последние темы на форуме:
 
  • Новогодние праздники 2021-2022 официальные выходные
  • Показатели давления и сердцебиения у женщины 57 лет
  • Гороскоп на декабрь 2021 Женщина Телец
  • Гороскоп на январь 2022 от Павла Глоба
  • Гороскоп на декабрь 2021 от Павла Глоба
  • Гороскоп на ноябрь 2021 от Павла Глоба
  • Стенограмма судьбы - Содержание серий, актеры и роли сериала
  • Мосгаз. Западня - Содержание серий, актеры и роли 2021
  • Тобол - Содержание серий, актеры и роли сериала. 2021
  • Гороскоп для Тигра на сегодня от Павла Глоба
  • Утраченные воспоминания - Содержание серий, актеры и роли
  • Чёрно-белая любовь - Содержание серий, актеры и роли сериала
  • Забытая женщина - Содержание серий, актеры и роли сериала
  • Тайна спящей дамы - Содержание серий, актеры и роли сериала
  • Сериал Часы с кукушкой - Содержание серий, актеры и роли
  •  
     

     
    Обращаем ваше внимание на то, что данный интернет-сайт www.kinolog.do.am носит исключительно информационный характер и ни при каких условиях не является публичной офертой, определяемой положениями Статьи 437 (2) Гражданского кодекса РФ. Цена и наличие товара может отличаться от действительной. Пожалуйста, уточняйте цены и наличие товара у наших менеджеров.
    Администрация сайта не несет ответственности за действия и содержание размещаемой информации пользователей: комментарии, материалы, сообщения и темы на форуме, публикации, объявления и т.д.
    Правообладателям | Реклама | Учебники | Политика
    Отопление, водоснабжение, газоснабжение, канализация © 2003 - 2021
    Рейтинг@Mail.ru Рейтинг арматурных сайтов. ARMTORG.RU Яндекс.Метрика