[ Новые сообщения · Участники · Правила форума · Поиск · RSS ]
 
Работай из дома! 18+

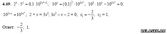
Сборник заданий и ГДЗ по Алгебре. 11 класс. Дорофеев Г. В.
МЕДВЕДИКДата: Понедельник, 28.09.2015, 10:50 | Сообщение # 166
Генерал-лейтенант
Группа: Проверенные
Сообщений: 602
Награды: 0
Репутация: 0
Статус: Offline


 
Работай из дома! 18+
 
 




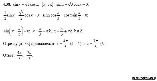
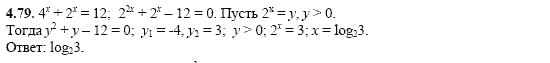
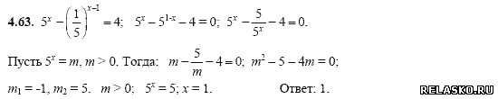
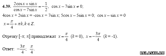
Для увеличения ответа на задание, нажмите на картинку

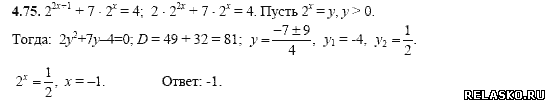
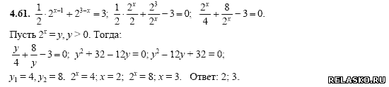
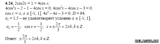
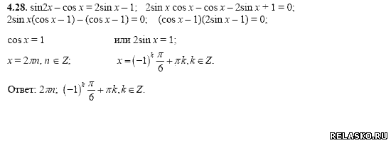
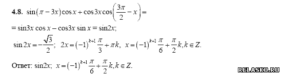
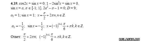
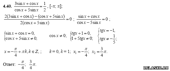
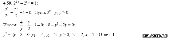
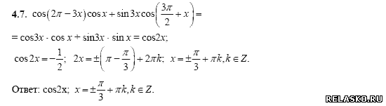
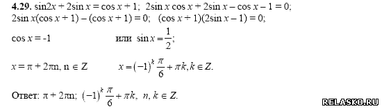
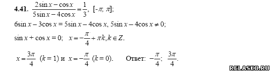
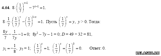
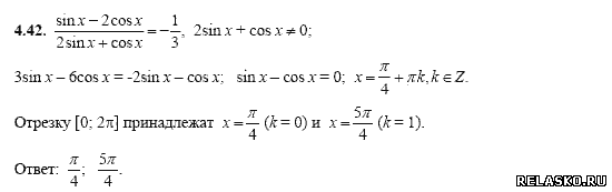
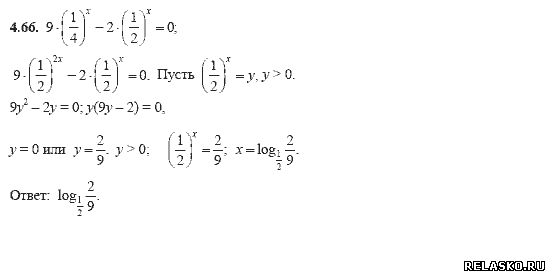
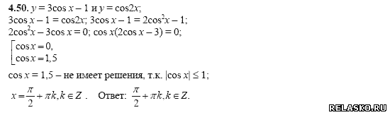
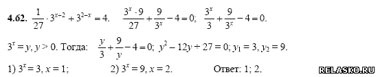
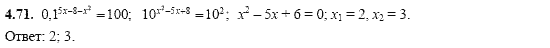
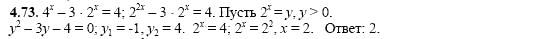
Вариант экзаменационного задания по курсу "Математика":

---------------------------------------------------------------------



---------------------------------------------------------------------



---------------------------------------------------------------------



---------------------------------------------------------------------



---------------------------------------------------------------------



---------------------------------------------------------------------

Перейти в оглавление решебника ГДЗ по Алгебре. 11 класс. Дорофеев Г.В. Сборник задач
Фото: 0681278.png (4.0 Kb) · 1113702.png (2.2 Kb) · 8362530.png (2.4 Kb) · 7053825.png (1.4 Kb) · 1600840.png (1.3 Kb)
 
 
МЕДВЕДИКДата: Понедельник, 28.09.2015, 10:51 | Сообщение # 167
Генерал-лейтенант
Группа: Проверенные
Сообщений: 602
Награды: 0
Репутация: 0
Статус: Offline


 
Работай из дома! 18+
 
 


Для увеличения ответа на задание, нажмите на картинку

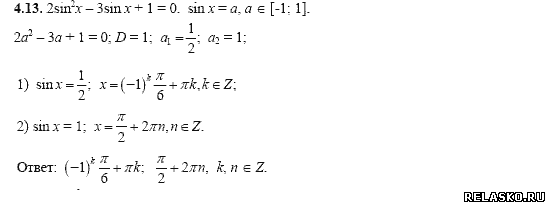
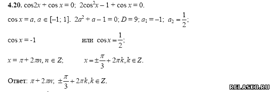
Вариант экзаменационного задания по курсу "Математика":

---------------------------------------------------------------------



---------------------------------------------------------------------



---------------------------------------------------------------------



---------------------------------------------------------------------



---------------------------------------------------------------------



---------------------------------------------------------------------

Перейти в оглавление решебника ГДЗ по Алгебре. 11 класс. Дорофеев Г.В. Сборник задач
Фото: 0622866.png (1.5 Kb) · 0805708.png (1.3 Kb) · 4611170.png (2.3 Kb) · 5492461.png (2.2 Kb) · 0832875.png (2.5 Kb)
 
 
МЕДВЕДИКДата: Понедельник, 28.09.2015, 10:51 | Сообщение # 168
Генерал-лейтенант
Группа: Проверенные
Сообщений: 602
Награды: 0
Репутация: 0
Статус: Offline


 
Работай из дома! 18+
 
 


Для увеличения ответа на задание, нажмите на картинку

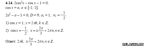
Вариант экзаменационного задания по курсу "Математика":

---------------------------------------------------------------------



---------------------------------------------------------------------



---------------------------------------------------------------------



---------------------------------------------------------------------



---------------------------------------------------------------------



---------------------------------------------------------------------

Перейти в оглавление решебника ГДЗ по Алгебре. 11 класс. Дорофеев Г.В. Сборник задач
Фото: 5849235.png (3.2 Kb) · 7473809.png (3.5 Kb) · 8292608.png (3.3 Kb) · 7241065.png (2.5 Kb) · 1487249.png (2.3 Kb)
 
 
МЕДВЕДИКДата: Понедельник, 28.09.2015, 10:51 | Сообщение # 169
Генерал-лейтенант
Группа: Проверенные
Сообщений: 602
Награды: 0
Репутация: 0
Статус: Offline


 
Работай из дома! 18+
 
 


Для увеличения ответа на задание, нажмите на картинку

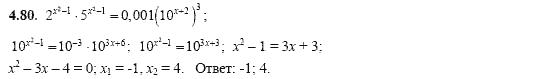
Вариант экзаменационного задания по курсу "Математика":

---------------------------------------------------------------------



---------------------------------------------------------------------



---------------------------------------------------------------------



---------------------------------------------------------------------



---------------------------------------------------------------------



---------------------------------------------------------------------

Перейти в оглавление решебника ГДЗ по Алгебре. 11 класс. Дорофеев Г.В. Сборник задач
Фото: 2800158.png (2.5 Kb) · 8278097.png (3.0 Kb) · 2769682.png (3.0 Kb) · 2954260.png (3.2 Kb) · 0334368.png (2.7 Kb)
 
 
МЕДВЕДИКДата: Понедельник, 28.09.2015, 10:52 | Сообщение # 170
Генерал-лейтенант
Группа: Проверенные
Сообщений: 602
Награды: 0
Репутация: 0
Статус: Offline


 
Работай из дома! 18+
 
 


Для увеличения ответа на задание, нажмите на картинку

Вариант экзаменационного задания по курсу "Математика":

---------------------------------------------------------------------



---------------------------------------------------------------------



---------------------------------------------------------------------



---------------------------------------------------------------------



---------------------------------------------------------------------



---------------------------------------------------------------------

Перейти в оглавление решебника ГДЗ по Алгебре. 11 класс. Дорофеев Г.В. Сборник задач
Фото: 5699015.png (3.2 Kb) · 8828551.png (3.0 Kb) · 1099850.png (2.6 Kb) · 2527478.png (3.2 Kb) · 3489013.png (3.1 Kb)
 
 
МЕДВЕДИКДата: Понедельник, 28.09.2015, 10:52 | Сообщение # 171
Генерал-лейтенант
Группа: Проверенные
Сообщений: 602
Награды: 0
Репутация: 0
Статус: Offline


 
Работай из дома! 18+
 
 


Для увеличения ответа на задание, нажмите на картинку

Вариант экзаменационного задания по курсу "Математика":

---------------------------------------------------------------------



---------------------------------------------------------------------



---------------------------------------------------------------------



---------------------------------------------------------------------



---------------------------------------------------------------------



---------------------------------------------------------------------

Перейти в оглавление решебника ГДЗ по Алгебре. 11 класс. Дорофеев Г.В. Сборник задач
Фото: 2879601.png (2.8 Kb) · 0996589.png (2.0 Kb) · 8451246.png (3.2 Kb) · 4001548.png (2.4 Kb) · 7075171.png (2.1 Kb)
 
 
МЕДВЕДИКДата: Понедельник, 28.09.2015, 10:53 | Сообщение # 172
Генерал-лейтенант
Группа: Проверенные
Сообщений: 602
Награды: 0
Репутация: 0
Статус: Offline


 
Работай из дома! 18+
 
 


Для увеличения ответа на задание, нажмите на картинку

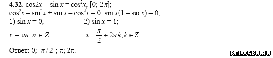
Вариант экзаменационного задания по курсу "Математика":

---------------------------------------------------------------------



---------------------------------------------------------------------



---------------------------------------------------------------------



---------------------------------------------------------------------



---------------------------------------------------------------------



---------------------------------------------------------------------

Перейти в оглавление решебника ГДЗ по Алгебре. 11 класс. Дорофеев Г.В. Сборник задач
Фото: 7847540.png (2.4 Kb) · 5731763.png (2.3 Kb) · 4895920.png (3.0 Kb) · 3319715.png (2.6 Kb) · 3565352.png (3.4 Kb)
 
 
МЕДВЕДИКДата: Понедельник, 28.09.2015, 10:53 | Сообщение # 173
Генерал-лейтенант
Группа: Проверенные
Сообщений: 602
Награды: 0
Репутация: 0
Статус: Offline


 
Работай из дома! 18+
 
 


Для увеличения ответа на задание, нажмите на картинку

Вариант экзаменационного задания по курсу "Математика":

---------------------------------------------------------------------



---------------------------------------------------------------------



---------------------------------------------------------------------



---------------------------------------------------------------------



---------------------------------------------------------------------



---------------------------------------------------------------------

Перейти в оглавление решебника ГДЗ по Алгебре. 11 класс. Дорофеев Г.В. Сборник задач
Фото: 2253804.png (2.2 Kb) · 2611646.png (2.5 Kb) · 7628380.png (2.9 Kb) · 1415990.png (1.9 Kb) · 9497985.png (1.9 Kb)
 
 
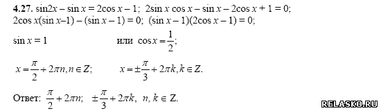
МЕДВЕДИКДата: Понедельник, 28.09.2015, 10:54 | Сообщение # 174
Генерал-лейтенант
Группа: Проверенные
Сообщений: 602
Награды: 0
Репутация: 0
Статус: Offline


 
Работай из дома! 18+
 
 


Для увеличения ответа на задание, нажмите на картинку

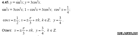
Вариант экзаменационного задания по курсу "Математика":

---------------------------------------------------------------------



---------------------------------------------------------------------



---------------------------------------------------------------------



---------------------------------------------------------------------



---------------------------------------------------------------------



---------------------------------------------------------------------

Перейти в оглавление решебника ГДЗ по Алгебре. 11 класс. Дорофеев Г.В. Сборник задач
Фото: 9749729.png (3.0 Kb) · 8557538.png (2.1 Kb) · 7909784.png (3.5 Kb) · 7263133.png (2.5 Kb) · 4384167.png (2.5 Kb)
 
 
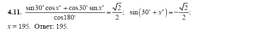
МЕДВЕДИКДата: Понедельник, 28.09.2015, 10:54 | Сообщение # 175
Генерал-лейтенант
Группа: Проверенные
Сообщений: 602
Награды: 0
Репутация: 0
Статус: Offline


 
Работай из дома! 18+
 
 


Для увеличения ответа на задание, нажмите на картинку

Вариант экзаменационного задания по курсу "Математика":

---------------------------------------------------------------------



---------------------------------------------------------------------



---------------------------------------------------------------------



---------------------------------------------------------------------



---------------------------------------------------------------------



---------------------------------------------------------------------

Перейти в оглавление решебника ГДЗ по Алгебре. 11 класс. Дорофеев Г.В. Сборник задач
Фото: 3792889.png (1.6 Kb) · 8446120.png (1.2 Kb) · 8291186.png (1.2 Kb) · 4431090.png (1.1 Kb) · 7926076.png (1.8 Kb)
 
 
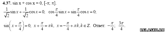
МЕДВЕДИКДата: Понедельник, 28.09.2015, 10:55 | Сообщение # 176
Генерал-лейтенант
Группа: Проверенные
Сообщений: 602
Награды: 0
Репутация: 0
Статус: Offline


 
Работай из дома! 18+
 
 


Для увеличения ответа на задание, нажмите на картинку

Вариант экзаменационного задания по курсу "Математика":

---------------------------------------------------------------------



---------------------------------------------------------------------



---------------------------------------------------------------------



---------------------------------------------------------------------



---------------------------------------------------------------------



---------------------------------------------------------------------

Перейти в оглавление решебника ГДЗ по Алгебре. 11 класс. Дорофеев Г.В. Сборник задач
Фото: 7111992.png (1.0 Kb) · 3611240.png (1.2 Kb) · 1573656.png (1.0 Kb) · 9974141.png (1.9 Kb) · 5871640.png (1.9 Kb)
 
 
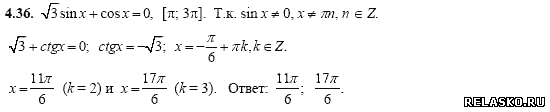
МЕДВЕДИКДата: Понедельник, 28.09.2015, 10:55 | Сообщение # 177
Генерал-лейтенант
Группа: Проверенные
Сообщений: 602
Награды: 0
Репутация: 0
Статус: Offline


 
Работай из дома! 18+
 
 


Для увеличения ответа на задание, нажмите на картинку

Вариант экзаменационного задания по курсу "Математика":

---------------------------------------------------------------------



---------------------------------------------------------------------



---------------------------------------------------------------------



---------------------------------------------------------------------



---------------------------------------------------------------------



---------------------------------------------------------------------

Перейти в оглавление решебника ГДЗ по Алгебре. 11 класс. Дорофеев Г.В. Сборник задач
Фото: 2988856.png (2.7 Kb) · 8479817.png (2.4 Kb) · 8395828.png (1.8 Kb) · 2252555.png (2.6 Kb) · 0513104.png (2.7 Kb)
 
 
МЕДВЕДИКДата: Понедельник, 28.09.2015, 10:56 | Сообщение # 178
Генерал-лейтенант
Группа: Проверенные
Сообщений: 602
Награды: 0
Репутация: 0
Статус: Offline


 
Работай из дома! 18+
 
 


Для увеличения ответа на задание, нажмите на картинку

Вариант экзаменационного задания по курсу "Математика":

---------------------------------------------------------------------



---------------------------------------------------------------------



---------------------------------------------------------------------



---------------------------------------------------------------------



---------------------------------------------------------------------



---------------------------------------------------------------------

Перейти в оглавление решебника ГДЗ по Алгебре. 11 класс. Дорофеев Г.В. Сборник задач
Фото: 7802412.png (2.4 Kb) · 6837319.png (1.7 Kb) · 7287777.png (2.2 Kb) · 6612218.png (1.6 Kb) · 8840916.png (1.1 Kb)
 
 
МЕДВЕДИКДата: Понедельник, 28.09.2015, 10:56 | Сообщение # 179
Генерал-лейтенант
Группа: Проверенные
Сообщений: 602
Награды: 0
Репутация: 0
Статус: Offline


 
Работай из дома! 18+
 
 


Для увеличения ответа на задание, нажмите на картинку

Вариант экзаменационного задания по курсу "Математика":

---------------------------------------------------------------------



---------------------------------------------------------------------



---------------------------------------------------------------------



---------------------------------------------------------------------



---------------------------------------------------------------------



---------------------------------------------------------------------

Перейти в оглавление решебника ГДЗ по Алгебре. 11 класс. Дорофеев Г.В. Сборник задач
Фото: 1016172.png (1.1 Kb) · 6088659.png (0.9 Kb) · 3978512.png (1.4 Kb) · 5643253.png (2.0 Kb) · 6576932.png (1.8 Kb)
 
 
МЕДВЕДИКДата: Понедельник, 28.09.2015, 10:57 | Сообщение # 180
Генерал-лейтенант
Группа: Проверенные
Сообщений: 602
Награды: 0
Репутация: 0
Статус: Offline


 
Работай из дома! 18+
 
 


Для увеличения ответа на задание, нажмите на картинку

Вариант экзаменационного задания по курсу "Математика":

---------------------------------------------------------------------



---------------------------------------------------------------------



---------------------------------------------------------------------



---------------------------------------------------------------------



---------------------------------------------------------------------



---------------------------------------------------------------------

Читать продолжение решебника...
Фото: 2337292.png (2.0 Kb) · 3713727.png (1.3 Kb) · 7099213.png (2.4 Kb) · 3688828.png (1.7 Kb) · 4682109.png (1.4 Kb)
 
 
Поиск:

Работай из дома! 18+
 
 
 
 
 
 

 
Последние темы на форуме:
 
  • Новогодние праздники 2021-2022 официальные выходные
  • Показатели давления и сердцебиения у женщины 57 лет
  • Гороскоп на декабрь 2021 Женщина Телец
  • Гороскоп на январь 2022 от Павла Глоба
  • Гороскоп на декабрь 2021 от Павла Глоба
  • Гороскоп на ноябрь 2021 от Павла Глоба
  • Стенограмма судьбы - Содержание серий, актеры и роли сериала
  • Мосгаз. Западня - Содержание серий, актеры и роли 2021
  • Тобол - Содержание серий, актеры и роли сериала. 2021
  • Гороскоп для Тигра на сегодня от Павла Глоба
  • Утраченные воспоминания - Содержание серий, актеры и роли
  • Чёрно-белая любовь - Содержание серий, актеры и роли сериала
  • Забытая женщина - Содержание серий, актеры и роли сериала
  • Тайна спящей дамы - Содержание серий, актеры и роли сериала
  • Сериал Часы с кукушкой - Содержание серий, актеры и роли
  •  
     

     
    Обращаем ваше внимание на то, что данный интернет-сайт www.kinolog.do.am носит исключительно информационный характер и ни при каких условиях не является публичной офертой, определяемой положениями Статьи 437 (2) Гражданского кодекса РФ. Цена и наличие товара может отличаться от действительной. Пожалуйста, уточняйте цены и наличие товара у наших менеджеров.
    Администрация сайта не несет ответственности за действия и содержание размещаемой информации пользователей: комментарии, материалы, сообщения и темы на форуме, публикации, объявления и т.д.
    Правообладателям | Реклама | Учебники | Политика
    Отопление, водоснабжение, газоснабжение, канализация © 2003 - 2021
    Рейтинг@Mail.ru Рейтинг арматурных сайтов. ARMTORG.RU Яндекс.Метрика