[ Новые сообщения · Участники · Правила форума · Поиск · RSS ]
 
Работай из дома! 18+

Сборник заданий и ГДЗ по Алгебре. 11 класс. Дорофеев Г. В.
МЕДВЕДИКДата: Понедельник, 28.09.2015, 09:00 | Сообщение # 16
Генерал-лейтенант
Группа: Проверенные
Сообщений: 602
Награды: 0
Репутация: 0
Статус: Offline


 
Работай из дома! 18+
 
 




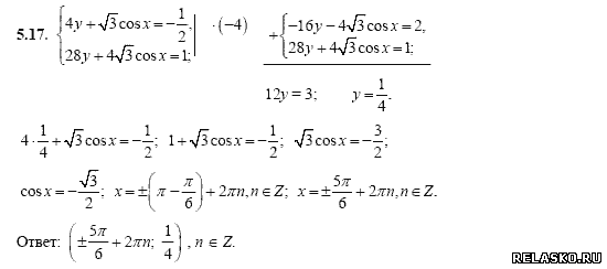
Для увеличения ответа на задание, нажмите на картинку

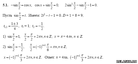
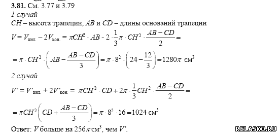
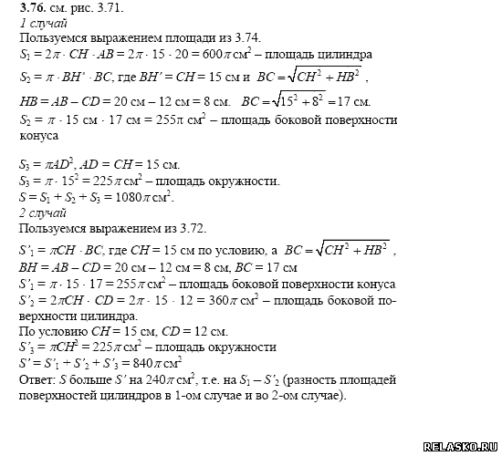
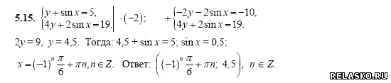
Вариант экзаменационного задания по курсу "Математика":

---------------------------------------------------------------------



---------------------------------------------------------------------



---------------------------------------------------------------------



---------------------------------------------------------------------



---------------------------------------------------------------------



---------------------------------------------------------------------

Перейти в оглавление решебника ГДЗ по Алгебре. 11 класс. Дорофеев Г.В. Сборник задач
Фото: 8548441.png (6.1 Kb) · 1625602.png (6.4 Kb) · 7382755.png (5.6 Kb) · 4703310.png (2.8 Kb) · 0138201.png (3.5 Kb)
 
 
МЕДВЕДИКДата: Понедельник, 28.09.2015, 09:01 | Сообщение # 17
Генерал-лейтенант
Группа: Проверенные
Сообщений: 602
Награды: 0
Репутация: 0
Статус: Offline


 
Работай из дома! 18+
 
 


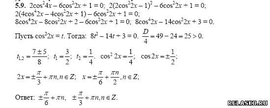
Для увеличения ответа на задание, нажмите на картинку

Вариант экзаменационного задания по курсу "Математика":

---------------------------------------------------------------------



---------------------------------------------------------------------



---------------------------------------------------------------------



---------------------------------------------------------------------



---------------------------------------------------------------------



---------------------------------------------------------------------

Перейти в оглавление решебника ГДЗ по Алгебре. 11 класс. Дорофеев Г.В. Сборник задач
Фото: 5864982.png (8.0 Kb) · 1558317.png (4.3 Kb) · 2445070.png (13.3 Kb) · 6330294.png (7.7 Kb) · 5415040.png (5.9 Kb)
 
 
МЕДВЕДИКДата: Понедельник, 28.09.2015, 09:01 | Сообщение # 18
Генерал-лейтенант
Группа: Проверенные
Сообщений: 602
Награды: 0
Репутация: 0
Статус: Offline


 
Работай из дома! 18+
 
 


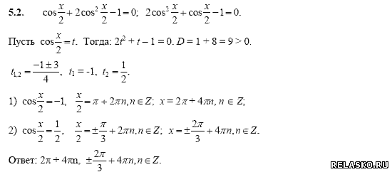
Для увеличения ответа на задание, нажмите на картинку

Вариант экзаменационного задания по курсу "Математика":

---------------------------------------------------------------------



---------------------------------------------------------------------



---------------------------------------------------------------------



---------------------------------------------------------------------



---------------------------------------------------------------------



---------------------------------------------------------------------

Перейти в оглавление решебника ГДЗ по Алгебре. 11 класс. Дорофеев Г.В. Сборник задач
Фото: 1897239.png (4.5 Kb) · 8195782.png (3.8 Kb) · 8429962.png (4.5 Kb) · 0030040.png (3.0 Kb) · 2482768.png (3.9 Kb)
 
 
МЕДВЕДИКДата: Понедельник, 28.09.2015, 09:03 | Сообщение # 19
Генерал-лейтенант
Группа: Проверенные
Сообщений: 602
Награды: 0
Репутация: 0
Статус: Offline


 
Работай из дома! 18+
 
 


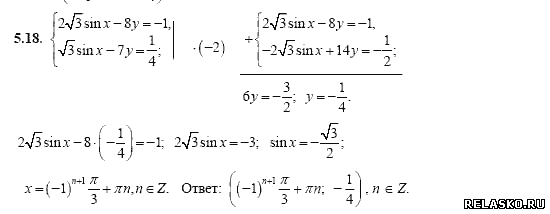
Для увеличения ответа на задание, нажмите на картинку

Вариант экзаменационного задания по курсу "Математика":

---------------------------------------------------------------------



---------------------------------------------------------------------



---------------------------------------------------------------------



---------------------------------------------------------------------



---------------------------------------------------------------------



---------------------------------------------------------------------

Перейти в оглавление решебника ГДЗ по Алгебре. 11 класс. Дорофеев Г.В. Сборник задач
Фото: 4573575.png (2.9 Kb) · 6760067.png (4.4 Kb) · 2900907.png (5.7 Kb) · 0556112.png (4.0 Kb) · 9867273.png (13.4 Kb)
 
 
МЕДВЕДИКДата: Понедельник, 28.09.2015, 09:03 | Сообщение # 20
Генерал-лейтенант
Группа: Проверенные
Сообщений: 602
Награды: 0
Репутация: 0
Статус: Offline


 
Работай из дома! 18+
 
 


Для увеличения ответа на задание, нажмите на картинку

Вариант экзаменационного задания по курсу "Математика":

---------------------------------------------------------------------



---------------------------------------------------------------------



---------------------------------------------------------------------



---------------------------------------------------------------------



---------------------------------------------------------------------



---------------------------------------------------------------------

Перейти в оглавление решебника ГДЗ по Алгебре. 11 класс. Дорофеев Г.В. Сборник задач
Фото: 4414711.png (8.8 Kb) · 9753527.png (7.9 Kb) · 9978645.png (7.9 Kb) · 9033544.png (7.5 Kb) · 7240696.png (8.6 Kb)
 
 
МЕДВЕДИКДата: Понедельник, 28.09.2015, 09:04 | Сообщение # 21
Генерал-лейтенант
Группа: Проверенные
Сообщений: 602
Награды: 0
Репутация: 0
Статус: Offline


 
Работай из дома! 18+
 
 


Для увеличения ответа на задание, нажмите на картинку

Вариант экзаменационного задания по курсу "Математика":

---------------------------------------------------------------------



---------------------------------------------------------------------



---------------------------------------------------------------------



---------------------------------------------------------------------



---------------------------------------------------------------------



---------------------------------------------------------------------

Перейти в оглавление решебника ГДЗ по Алгебре. 11 класс. Дорофеев Г.В. Сборник задач
Фото: 8695446.png (7.1 Kb) · 1836202.png (13.0 Kb) · 1872301.png (16.3 Kb) · 5748174.png (5.9 Kb) · 4611676.png (9.9 Kb)
 
 
МЕДВЕДИКДата: Понедельник, 28.09.2015, 09:05 | Сообщение # 22
Генерал-лейтенант
Группа: Проверенные
Сообщений: 602
Награды: 0
Репутация: 0
Статус: Offline


 
Работай из дома! 18+
 
 


Для увеличения ответа на задание, нажмите на картинку

Вариант экзаменационного задания по курсу "Математика":

---------------------------------------------------------------------



---------------------------------------------------------------------



---------------------------------------------------------------------



---------------------------------------------------------------------



---------------------------------------------------------------------



---------------------------------------------------------------------

Перейти в оглавление решебника ГДЗ по Алгебре. 11 класс. Дорофеев Г.В. Сборник задач
Фото: 1369102.png (8.2 Kb) · 2806845.png (5.5 Kb) · 2164813.png (4.9 Kb) · 3430948.png (14.5 Kb) · 2804599.png (14.7 Kb)
 
 
МЕДВЕДИКДата: Понедельник, 28.09.2015, 09:05 | Сообщение # 23
Генерал-лейтенант
Группа: Проверенные
Сообщений: 602
Награды: 0
Репутация: 0
Статус: Offline


 
Работай из дома! 18+
 
 


Для увеличения ответа на задание, нажмите на картинку

Вариант экзаменационного задания по курсу "Математика":

---------------------------------------------------------------------



---------------------------------------------------------------------



---------------------------------------------------------------------



---------------------------------------------------------------------



---------------------------------------------------------------------



---------------------------------------------------------------------

Перейти в оглавление решебника ГДЗ по Алгебре. 11 класс. Дорофеев Г.В. Сборник задач
Фото: 3945171.png (8.8 Kb) · 2549197.png (5.1 Kb) · 7618201.png (13.1 Kb) · 3084371.png (15.0 Kb) · 9353080.png (7.2 Kb)
 
 
МЕДВЕДИКДата: Понедельник, 28.09.2015, 09:06 | Сообщение # 24
Генерал-лейтенант
Группа: Проверенные
Сообщений: 602
Награды: 0
Репутация: 0
Статус: Offline


 
Работай из дома! 18+
 
 


Для увеличения ответа на задание, нажмите на картинку

Вариант экзаменационного задания по курсу "Математика":

---------------------------------------------------------------------



---------------------------------------------------------------------



---------------------------------------------------------------------



---------------------------------------------------------------------



---------------------------------------------------------------------



---------------------------------------------------------------------

Перейти в оглавление решебника ГДЗ по Алгебре. 11 класс. Дорофеев Г.В. Сборник задач
Фото: 6666462.png (3.2 Kb) · 0001716.png (4.4 Kb) · 6092839.png (2.1 Kb) · 8553508.png (3.3 Kb) · 4957699.png (5.6 Kb)
 
 
МЕДВЕДИКДата: Понедельник, 28.09.2015, 09:07 | Сообщение # 25
Генерал-лейтенант
Группа: Проверенные
Сообщений: 602
Награды: 0
Репутация: 0
Статус: Offline


 
Работай из дома! 18+
 
 


Для увеличения ответа на задание, нажмите на картинку

Вариант экзаменационного задания по курсу "Математика":

---------------------------------------------------------------------



---------------------------------------------------------------------



---------------------------------------------------------------------



---------------------------------------------------------------------



---------------------------------------------------------------------



---------------------------------------------------------------------

Перейти в оглавление решебника ГДЗ по Алгебре. 11 класс. Дорофеев Г.В. Сборник задач
Фото: 1478162.png (6.2 Kb) · 5058213.png (5.4 Kb) · 7115258.png (6.0 Kb) · 1269420.png (4.7 Kb) · 7446171.png (4.3 Kb)
 
 
МЕДВЕДИКДата: Понедельник, 28.09.2015, 09:07 | Сообщение # 26
Генерал-лейтенант
Группа: Проверенные
Сообщений: 602
Награды: 0
Репутация: 0
Статус: Offline


 
Работай из дома! 18+
 
 


Для увеличения ответа на задание, нажмите на картинку

Вариант экзаменационного задания по курсу "Математика":

---------------------------------------------------------------------



---------------------------------------------------------------------



---------------------------------------------------------------------



---------------------------------------------------------------------



---------------------------------------------------------------------



---------------------------------------------------------------------

Перейти в оглавление решебника ГДЗ по Алгебре. 11 класс. Дорофеев Г.В. Сборник задач
Фото: 0675475.png (3.6 Kb) · 4687247.png (3.6 Kb) · 8827111.png (3.4 Kb) · 0893993.png (4.0 Kb) · 7986579.png (3.0 Kb)
 
 
МЕДВЕДИКДата: Понедельник, 28.09.2015, 09:08 | Сообщение # 27
Генерал-лейтенант
Группа: Проверенные
Сообщений: 602
Награды: 0
Репутация: 0
Статус: Offline


 
Работай из дома! 18+
 
 


Для увеличения ответа на задание, нажмите на картинку

Вариант экзаменационного задания по курсу "Математика":

---------------------------------------------------------------------



---------------------------------------------------------------------



---------------------------------------------------------------------



---------------------------------------------------------------------



---------------------------------------------------------------------



---------------------------------------------------------------------

Перейти в оглавление решебника ГДЗ по Алгебре. 11 класс. Дорофеев Г.В. Сборник задач
Фото: 0543322.png (1.4 Kb) · 4443991.png (2.7 Kb) · 1774498.png (3.0 Kb) · 3158484.png (2.5 Kb) · 4497827.png (5.0 Kb)
 
 
МЕДВЕДИКДата: Понедельник, 28.09.2015, 09:08 | Сообщение # 28
Генерал-лейтенант
Группа: Проверенные
Сообщений: 602
Награды: 0
Репутация: 0
Статус: Offline


 
Работай из дома! 18+
 
 


Для увеличения ответа на задание, нажмите на картинку

Вариант экзаменационного задания по курсу "Математика":

---------------------------------------------------------------------



---------------------------------------------------------------------



---------------------------------------------------------------------



---------------------------------------------------------------------



---------------------------------------------------------------------



---------------------------------------------------------------------

Перейти в оглавление решебника ГДЗ по Алгебре. 11 класс. Дорофеев Г.В. Сборник задач
Фото: 9191364.png (2.8 Kb) · 5906335.png (3.2 Kb) · 8667535.png (3.0 Kb) · 8296403.png (3.1 Kb) · 1478192.png (3.3 Kb)
 
 
МЕДВЕДИКДата: Понедельник, 28.09.2015, 09:09 | Сообщение # 29
Генерал-лейтенант
Группа: Проверенные
Сообщений: 602
Награды: 0
Репутация: 0
Статус: Offline


 
Работай из дома! 18+
 
 


Для увеличения ответа на задание, нажмите на картинку

Вариант экзаменационного задания по курсу "Математика":

---------------------------------------------------------------------



---------------------------------------------------------------------



---------------------------------------------------------------------



---------------------------------------------------------------------



---------------------------------------------------------------------



---------------------------------------------------------------------

Перейти в оглавление решебника ГДЗ по Алгебре. 11 класс. Дорофеев Г.В. Сборник задач
Фото: 1811735.png (2.8 Kb) · 4623450.png (2.4 Kb) · 5571895.png (3.5 Kb) · 2684976.png (3.1 Kb) · 5475767.png (1.0 Kb)
 
 
МЕДВЕДИКДата: Понедельник, 28.09.2015, 09:09 | Сообщение # 30
Генерал-лейтенант
Группа: Проверенные
Сообщений: 602
Награды: 0
Репутация: 0
Статус: Offline


 
Работай из дома! 18+
 
 


Для увеличения ответа на задание, нажмите на картинку

Вариант экзаменационного задания по курсу "Математика":

---------------------------------------------------------------------



---------------------------------------------------------------------



---------------------------------------------------------------------



---------------------------------------------------------------------



---------------------------------------------------------------------



---------------------------------------------------------------------

Читать продолжение решебника...

Фото: 9647125.png (1.0 Kb) · 8334518.png (0.9 Kb) · 1941497.png (1.5 Kb) · 4863690.png (1.6 Kb) · 4222818.png (1.5 Kb)
 
 
Поиск:

Работай из дома! 18+
 
 
 
 
 
 

 
Последние темы на форуме:
 
  • Новогодние праздники 2021-2022 официальные выходные
  • Показатели давления и сердцебиения у женщины 57 лет
  • Гороскоп на декабрь 2021 Женщина Телец
  • Гороскоп на январь 2022 от Павла Глоба
  • Гороскоп на декабрь 2021 от Павла Глоба
  • Гороскоп на ноябрь 2021 от Павла Глоба
  • Стенограмма судьбы - Содержание серий, актеры и роли сериала
  • Мосгаз. Западня - Содержание серий, актеры и роли 2021
  • Тобол - Содержание серий, актеры и роли сериала. 2021
  • Гороскоп для Тигра на сегодня от Павла Глоба
  • Утраченные воспоминания - Содержание серий, актеры и роли
  • Чёрно-белая любовь - Содержание серий, актеры и роли сериала
  • Забытая женщина - Содержание серий, актеры и роли сериала
  • Тайна спящей дамы - Содержание серий, актеры и роли сериала
  • Сериал Часы с кукушкой - Содержание серий, актеры и роли
  •  
     

     
    Обращаем ваше внимание на то, что данный интернет-сайт www.kinolog.do.am носит исключительно информационный характер и ни при каких условиях не является публичной офертой, определяемой положениями Статьи 437 (2) Гражданского кодекса РФ. Цена и наличие товара может отличаться от действительной. Пожалуйста, уточняйте цены и наличие товара у наших менеджеров.
    Администрация сайта не несет ответственности за действия и содержание размещаемой информации пользователей: комментарии, материалы, сообщения и темы на форуме, публикации, объявления и т.д.
    Правообладателям | Реклама | Учебники | Политика
    Отопление, водоснабжение, газоснабжение, канализация © 2003 - 2021
    Рейтинг@Mail.ru Рейтинг арматурных сайтов. ARMTORG.RU Яндекс.Метрика