[ Новые сообщения · Участники · Правила форума · Поиск · RSS ]
 
Работай из дома! 18+

Сборник заданий и ГДЗ по Алгебре. 11 класс. Дорофеев Г. В.
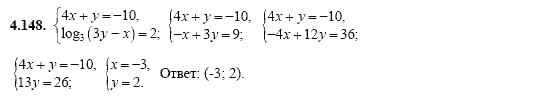
МЕДВЕДИКДата: Понедельник, 28.09.2015, 10:57 | Сообщение # 181
Генерал-лейтенант
Группа: Проверенные
Сообщений: 602
Награды: 0
Репутация: 0
Статус: Offline


 
Работай из дома! 18+
 
 




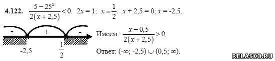
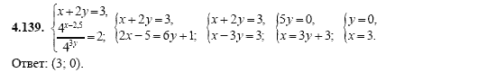
Для увеличения ответа на задание, нажмите на картинку

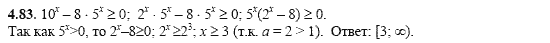
Вариант экзаменационного задания по курсу "Математика":

---------------------------------------------------------------------



---------------------------------------------------------------------



---------------------------------------------------------------------



---------------------------------------------------------------------



---------------------------------------------------------------------



---------------------------------------------------------------------

Перейти в оглавление решебника ГДЗ по Алгебре. 11 класс. Дорофеев Г.В. Сборник задач
Фото: 5139006.png (1.3 Kb) · 9921314.png (2.2 Kb) · 9397940.png (1.7 Kb) · 3552707.png (1.5 Kb) · 0952093.png (2.4 Kb)
 
 
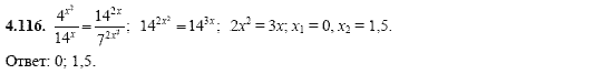
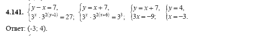
МЕДВЕДИКДата: Понедельник, 28.09.2015, 10:58 | Сообщение # 182
Генерал-лейтенант
Группа: Проверенные
Сообщений: 602
Награды: 0
Репутация: 0
Статус: Offline


 
Работай из дома! 18+
 
 


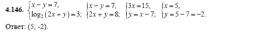
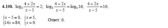
Для увеличения ответа на задание, нажмите на картинку

Вариант экзаменационного задания по курсу "Математика":

---------------------------------------------------------------------



---------------------------------------------------------------------



---------------------------------------------------------------------



---------------------------------------------------------------------



---------------------------------------------------------------------



---------------------------------------------------------------------

Перейти в оглавление решебника ГДЗ по Алгебре. 11 класс. Дорофеев Г.В. Сборник задач
Фото: 5755166.png (2.4 Kb) · 7081949.png (1.9 Kb) · 8299447.png (1.5 Kb) · 8235966.png (1.3 Kb) · 5863596.png (1.6 Kb)
 
 
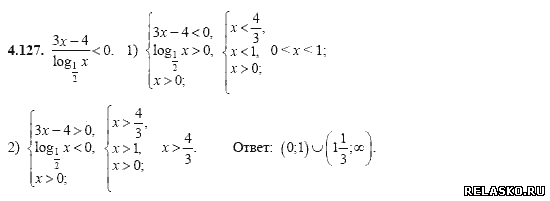
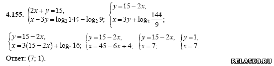
МЕДВЕДИКДата: Понедельник, 28.09.2015, 10:58 | Сообщение # 183
Генерал-лейтенант
Группа: Проверенные
Сообщений: 602
Награды: 0
Репутация: 0
Статус: Offline


 
Работай из дома! 18+
 
 


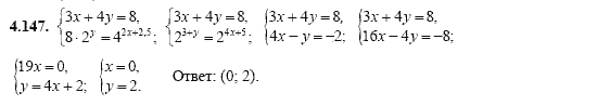
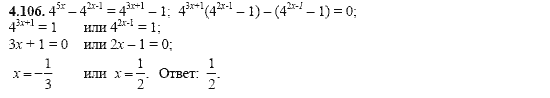
Для увеличения ответа на задание, нажмите на картинку

Вариант экзаменационного задания по курсу "Математика":

---------------------------------------------------------------------



---------------------------------------------------------------------



---------------------------------------------------------------------



---------------------------------------------------------------------



---------------------------------------------------------------------



---------------------------------------------------------------------

Перейти в оглавление решебника ГДЗ по Алгебре. 11 класс. Дорофеев Г.В. Сборник задач
Фото: 3666302.png (1.2 Kb) · 8649762.png (1.2 Kb) · 5949748.png (3.7 Kb) · 7031345.png (3.8 Kb) · 4034813.png (4.2 Kb)
 
 
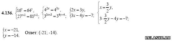
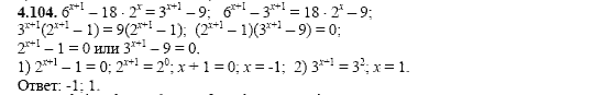
МЕДВЕДИКДата: Понедельник, 28.09.2015, 10:58 | Сообщение # 184
Генерал-лейтенант
Группа: Проверенные
Сообщений: 602
Награды: 0
Репутация: 0
Статус: Offline


 
Работай из дома! 18+
 
 


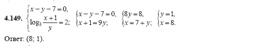
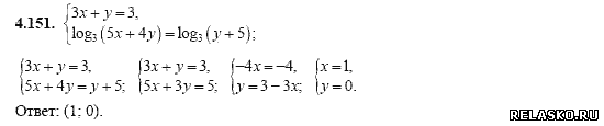
Для увеличения ответа на задание, нажмите на картинку

Вариант экзаменационного задания по курсу "Математика":

---------------------------------------------------------------------



---------------------------------------------------------------------



---------------------------------------------------------------------



---------------------------------------------------------------------



---------------------------------------------------------------------



---------------------------------------------------------------------

Перейти в оглавление решебника ГДЗ по Алгебре. 11 класс. Дорофеев Г.В. Сборник задач
Фото: 5400524.png (4.5 Kb) · 5471252.png (2.4 Kb) · 9308647.png (2.3 Kb) · 3314077.png (2.2 Kb) · 8220221.png (3.8 Kb)
 
 
МЕДВЕДИКДата: Понедельник, 28.09.2015, 10:59 | Сообщение # 185
Генерал-лейтенант
Группа: Проверенные
Сообщений: 602
Награды: 0
Репутация: 0
Статус: Offline


 
Работай из дома! 18+
 
 


Для увеличения ответа на задание, нажмите на картинку

Вариант экзаменационного задания по курсу "Математика":

---------------------------------------------------------------------



---------------------------------------------------------------------



---------------------------------------------------------------------



---------------------------------------------------------------------



---------------------------------------------------------------------



---------------------------------------------------------------------

Перейти в оглавление решебника ГДЗ по Алгебре. 11 класс. Дорофеев Г.В. Сборник задач
Фото: 5009797.png (1.6 Kb) · 1740026.png (2.0 Kb) · 6150999.png (2.0 Kb) · 5022161.png (2.5 Kb) · 5664710.png (1.6 Kb)
 
 
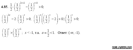
МЕДВЕДИКДата: Понедельник, 28.09.2015, 11:00 | Сообщение # 186
Генерал-лейтенант
Группа: Проверенные
Сообщений: 602
Награды: 0
Репутация: 0
Статус: Offline


 
Работай из дома! 18+
 
 


Для увеличения ответа на задание, нажмите на картинку

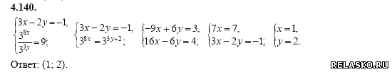
Вариант экзаменационного задания по курсу "Математика":

---------------------------------------------------------------------



---------------------------------------------------------------------



---------------------------------------------------------------------



---------------------------------------------------------------------



---------------------------------------------------------------------



---------------------------------------------------------------------

Перейти в оглавление решебника ГДЗ по Алгебре. 11 класс. Дорофеев Г.В. Сборник задач
Фото: 9419598.png (1.5 Kb) · 9782821.png (1.4 Kb) · 5979768.png (1.4 Kb) · 7600440.png (1.5 Kb) · 4271767.png (2.3 Kb)
 
 
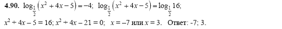
МЕДВЕДИКДата: Понедельник, 28.09.2015, 11:00 | Сообщение # 187
Генерал-лейтенант
Группа: Проверенные
Сообщений: 602
Награды: 0
Репутация: 0
Статус: Offline


 
Работай из дома! 18+
 
 


Для увеличения ответа на задание, нажмите на картинку

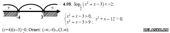
Вариант экзаменационного задания по курсу "Математика":

---------------------------------------------------------------------



---------------------------------------------------------------------



---------------------------------------------------------------------



---------------------------------------------------------------------



---------------------------------------------------------------------



---------------------------------------------------------------------

Перейти в оглавление решебника ГДЗ по Алгебре. 11 класс. Дорофеев Г.В. Сборник задач
Фото: 1255972.png (1.2 Kb) · 7105005.png (1.2 Kb) · 7647301.png (1.0 Kb) · 4514428.png (1.5 Kb) · 9531054.png (1.0 Kb)
 
 
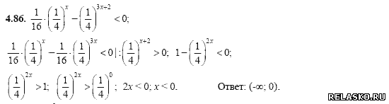
МЕДВЕДИКДата: Понедельник, 28.09.2015, 11:01 | Сообщение # 188
Генерал-лейтенант
Группа: Проверенные
Сообщений: 602
Награды: 0
Репутация: 0
Статус: Offline


 
Работай из дома! 18+
 
 


Для увеличения ответа на задание, нажмите на картинку

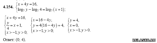
Вариант экзаменационного задания по курсу "Математика":

---------------------------------------------------------------------



---------------------------------------------------------------------



---------------------------------------------------------------------



---------------------------------------------------------------------



---------------------------------------------------------------------



---------------------------------------------------------------------

Перейти в оглавление решебника ГДЗ по Алгебре. 11 класс. Дорофеев Г.В. Сборник задач
Фото: 0566972.png (1.0 Kb) · 4233517.png (1.1 Kb) · 6809236.png (1.2 Kb) · 4827400.png (2.7 Kb) · 6530610.png (1.8 Kb)
 
 
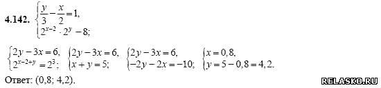
МЕДВЕДИКДата: Понедельник, 28.09.2015, 11:02 | Сообщение # 189
Генерал-лейтенант
Группа: Проверенные
Сообщений: 602
Награды: 0
Репутация: 0
Статус: Offline


 
Работай из дома! 18+
 
 


Для увеличения ответа на задание, нажмите на картинку

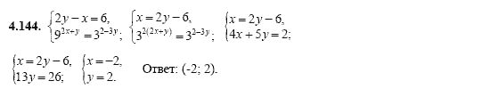
Вариант экзаменационного задания по курсу "Математика":

---------------------------------------------------------------------



---------------------------------------------------------------------



---------------------------------------------------------------------



---------------------------------------------------------------------



---------------------------------------------------------------------



---------------------------------------------------------------------

Перейти в оглавление решебника ГДЗ по Алгебре. 11 класс. Дорофеев Г.В. Сборник задач
Фото: 9909673.png (2.2 Kb) · 1732986.png (2.3 Kb) · 4363174.png (2.0 Kb) · 5280258.png (2.2 Kb) · 9080326.png (2.1 Kb)
 
 
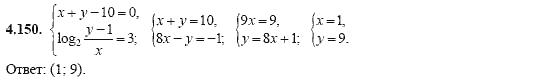
МЕДВЕДИКДата: Понедельник, 28.09.2015, 11:02 | Сообщение # 190
Генерал-лейтенант
Группа: Проверенные
Сообщений: 602
Награды: 0
Репутация: 0
Статус: Offline


 
Работай из дома! 18+
 
 


Для увеличения ответа на задание, нажмите на картинку

Вариант экзаменационного задания по курсу "Математика":

---------------------------------------------------------------------



---------------------------------------------------------------------



---------------------------------------------------------------------



---------------------------------------------------------------------



---------------------------------------------------------------------



---------------------------------------------------------------------

Перейти в оглавление решебника ГДЗ по Алгебре. 11 класс. Дорофеев Г.В. Сборник задач
Фото: 3255802.png (2.5 Kb) · 8163189.png (2.6 Kb) · 5430227.png (2.2 Kb) · 3688162.png (0.9 Kb) · 3569933.png (3.0 Kb)
 
 
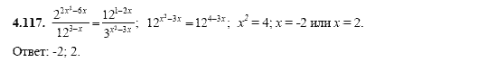
МЕДВЕДИКДата: Понедельник, 28.09.2015, 11:03 | Сообщение # 191
Генерал-лейтенант
Группа: Проверенные
Сообщений: 602
Награды: 0
Репутация: 0
Статус: Offline


 
Работай из дома! 18+
 
 


Для увеличения ответа на задание, нажмите на картинку

Вариант экзаменационного задания по курсу "Математика":

---------------------------------------------------------------------



---------------------------------------------------------------------



---------------------------------------------------------------------



---------------------------------------------------------------------



---------------------------------------------------------------------



---------------------------------------------------------------------

Перейти в оглавление решебника ГДЗ по Алгебре. 11 класс. Дорофеев Г.В. Сборник задач
Фото: 8350414.png (2.7 Kb) · 0147822.png (2.3 Kb) · 0425428.png (2.0 Kb) · 3227660.png (2.5 Kb) · 6990052.png (1.8 Kb)
 
 
МЕДВЕДИКДата: Понедельник, 28.09.2015, 11:03 | Сообщение # 192
Генерал-лейтенант
Группа: Проверенные
Сообщений: 602
Награды: 0
Репутация: 0
Статус: Offline


 
Работай из дома! 18+
 
 


Для увеличения ответа на задание, нажмите на картинку

Вариант экзаменационного задания по курсу "Математика":

---------------------------------------------------------------------



---------------------------------------------------------------------



---------------------------------------------------------------------



---------------------------------------------------------------------



---------------------------------------------------------------------



---------------------------------------------------------------------

Перейти в оглавление решебника ГДЗ по Алгебре. 11 класс. Дорофеев Г.В. Сборник задач
Фото: 4592804.png (1.9 Kb) · 0525700.png (1.4 Kb) · 1804295.png (1.2 Kb) · 2253042.png (1.9 Kb) · 6370392.png (1.7 Kb)
 
 
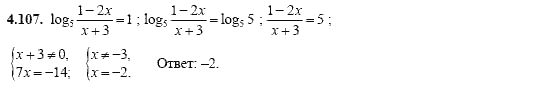
МЕДВЕДИКДата: Понедельник, 28.09.2015, 11:04 | Сообщение # 193
Генерал-лейтенант
Группа: Проверенные
Сообщений: 602
Награды: 0
Репутация: 0
Статус: Offline


 
Работай из дома! 18+
 
 


Для увеличения ответа на задание, нажмите на картинку

Вариант экзаменационного задания по курсу "Математика":

---------------------------------------------------------------------



---------------------------------------------------------------------



---------------------------------------------------------------------



---------------------------------------------------------------------



---------------------------------------------------------------------



---------------------------------------------------------------------

Перейти в оглавление решебника ГДЗ по Алгебре. 11 класс. Дорофеев Г.В. Сборник задач
Фото: 6776963.png (1.4 Kb) · 0749685.png (2.0 Kb) · 5370136.png (2.8 Kb) · 5522495.png (1.8 Kb) · 0129063.png (1.7 Kb)
 
 
МЕДВЕДИКДата: Понедельник, 28.09.2015, 11:04 | Сообщение # 194
Генерал-лейтенант
Группа: Проверенные
Сообщений: 602
Награды: 0
Репутация: 0
Статус: Offline


 
Работай из дома! 18+
 
 


Для увеличения ответа на задание, нажмите на картинку

Вариант экзаменационного задания по курсу "Математика":

---------------------------------------------------------------------



---------------------------------------------------------------------



---------------------------------------------------------------------



---------------------------------------------------------------------



---------------------------------------------------------------------



---------------------------------------------------------------------

Перейти в оглавление решебника ГДЗ по Алгебре. 11 класс. Дорофеев Г.В. Сборник задач
Фото: 5528236.png (1.6 Kb) · 7463225.png (2.0 Kb) · 1335898.png (2.1 Kb) · 4595157.png (1.4 Kb) · 7082511.png (1.4 Kb)
 
 
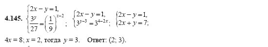
МЕДВЕДИКДата: Понедельник, 28.09.2015, 11:05 | Сообщение # 195
Генерал-лейтенант
Группа: Проверенные
Сообщений: 602
Награды: 0
Репутация: 0
Статус: Offline


 
Работай из дома! 18+
 
 


Для увеличения ответа на задание, нажмите на картинку

Вариант экзаменационного задания по курсу "Математика":

---------------------------------------------------------------------



---------------------------------------------------------------------



---------------------------------------------------------------------



---------------------------------------------------------------------



---------------------------------------------------------------------



---------------------------------------------------------------------

Читать продолжение решебника...
Фото: 0239173.png (1.8 Kb) · 6064074.png (2.3 Kb) · 2430357.png (2.3 Kb) · 2386295.png (2.2 Kb) · 0325109.png (2.8 Kb)
 
 
Поиск:

Работай из дома! 18+
 
 
 
 
 
 

 
Последние темы на форуме:
 
  • Новогодние праздники 2021-2022 официальные выходные
  • Показатели давления и сердцебиения у женщины 57 лет
  • Гороскоп на декабрь 2021 Женщина Телец
  • Гороскоп на январь 2022 от Павла Глоба
  • Гороскоп на декабрь 2021 от Павла Глоба
  • Гороскоп на ноябрь 2021 от Павла Глоба
  • Стенограмма судьбы - Содержание серий, актеры и роли сериала
  • Мосгаз. Западня - Содержание серий, актеры и роли 2021
  • Тобол - Содержание серий, актеры и роли сериала. 2021
  • Гороскоп для Тигра на сегодня от Павла Глоба
  • Утраченные воспоминания - Содержание серий, актеры и роли
  • Чёрно-белая любовь - Содержание серий, актеры и роли сериала
  • Забытая женщина - Содержание серий, актеры и роли сериала
  • Тайна спящей дамы - Содержание серий, актеры и роли сериала
  • Сериал Часы с кукушкой - Содержание серий, актеры и роли
  •  
     

     
    Обращаем ваше внимание на то, что данный интернет-сайт www.kinolog.do.am носит исключительно информационный характер и ни при каких условиях не является публичной офертой, определяемой положениями Статьи 437 (2) Гражданского кодекса РФ. Цена и наличие товара может отличаться от действительной. Пожалуйста, уточняйте цены и наличие товара у наших менеджеров.
    Администрация сайта не несет ответственности за действия и содержание размещаемой информации пользователей: комментарии, материалы, сообщения и темы на форуме, публикации, объявления и т.д.
    Правообладателям | Реклама | Учебники | Политика
    Отопление, водоснабжение, газоснабжение, канализация © 2003 - 2021
    Рейтинг@Mail.ru Рейтинг арматурных сайтов. ARMTORG.RU Яндекс.Метрика