|
ГДЗ по Физике. 7 класс. Перышкин. Рабочая тетрадь
|
|
| Samuel | Дата: Понедельник, 19.10.2015, 16:00 | Сообщение # 31 |
|
Генерал-лейтенант
Группа: Проверенные
Сообщений: 560
Награды: 0
Репутация: 0
Статус: Offline
|
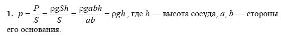
Для увеличения решения и правильного ответа на задание, нажмите на картинку
Параграф §30

---------------------------------------------------------------------

---------------------------------------------------------------------

---------------------------------------------------------------------

---------------------------------------------------------------------

---------------------------------------------------------------------

---------------------------------------------------------------------

---------------------------------------------------------------------

---------------------------------------------------------------------
Смотреть оглавление решебника и ГДЗ по Физике. 7 класс. Перышкин А. В
|
| |
| |
| Samuel | Дата: Понедельник, 19.10.2015, 16:01 | Сообщение # 32 |
|
Генерал-лейтенант
Группа: Проверенные
Сообщений: 560
Награды: 0
Репутация: 0
Статус: Offline
| Для увеличения решения и правильного ответа на задание, нажмите на картинку
Параграф §31

---------------------------------------------------------------------

---------------------------------------------------------------------
Смотреть оглавление решебника и ГДЗ по Физике. 7 класс. Перышкин А. В
|
| |
| |
| Samuel | Дата: Понедельник, 19.10.2015, 16:02 | Сообщение # 33 |
|
Генерал-лейтенант
Группа: Проверенные
Сообщений: 560
Награды: 0
Репутация: 0
Статус: Offline
| Для увеличения решения и правильного ответа на задание, нажмите на картинку
Параграф §32

---------------------------------------------------------------------

---------------------------------------------------------------------

---------------------------------------------------------------------

---------------------------------------------------------------------

---------------------------------------------------------------------
Смотреть оглавление решебника и ГДЗ по Физике. 7 класс. Перышкин А. В
|
| |
| |
| Samuel | Дата: Понедельник, 19.10.2015, 16:03 | Сообщение # 34 |
|
Генерал-лейтенант
Группа: Проверенные
Сообщений: 560
Награды: 0
Репутация: 0
Статус: Offline
| Для увеличения решения и правильного ответа на задание, нажмите на картинку
Параграф §33

---------------------------------------------------------------------

---------------------------------------------------------------------

---------------------------------------------------------------------

---------------------------------------------------------------------

---------------------------------------------------------------------

---------------------------------------------------------------------

---------------------------------------------------------------------
Смотреть оглавление решебника и ГДЗ по Физике. 7 класс. Перышкин А. В
|
| |
| |
| Samuel | Дата: Понедельник, 19.10.2015, 16:04 | Сообщение # 35 |
|
Генерал-лейтенант
Группа: Проверенные
Сообщений: 560
Награды: 0
Репутация: 0
Статус: Offline
| Для увеличения решения и правильного ответа на задание, нажмите на картинку
Параграф §34

---------------------------------------------------------------------

---------------------------------------------------------------------

---------------------------------------------------------------------
Смотреть оглавление решебника и ГДЗ по Физике. 7 класс. Перышкин А. В
|
| |
| |
| Samuel | Дата: Понедельник, 19.10.2015, 16:06 | Сообщение # 36 |
|
Генерал-лейтенант
Группа: Проверенные
Сообщений: 560
Награды: 0
Репутация: 0
Статус: Offline
| Для увеличения решения и правильного ответа на задание, нажмите на картинку
Параграф §35

---------------------------------------------------------------------

---------------------------------------------------------------------

---------------------------------------------------------------------

---------------------------------------------------------------------

---------------------------------------------------------------------

---------------------------------------------------------------------

---------------------------------------------------------------------

---------------------------------------------------------------------
Смотреть оглавление решебника и ГДЗ по Физике. 7 класс. Перышкин А. В
|
| |
| |
| Samuel | Дата: Понедельник, 19.10.2015, 16:07 | Сообщение # 37 |
|
Генерал-лейтенант
Группа: Проверенные
Сообщений: 560
Награды: 0
Репутация: 0
Статус: Offline
| Для увеличения решения и правильного ответа на задание, нажмите на картинку
Параграф §36

---------------------------------------------------------------------

---------------------------------------------------------------------

---------------------------------------------------------------------

---------------------------------------------------------------------
Смотреть оглавление решебника и ГДЗ по Физике. 7 класс. Перышкин А. В
|
| |
| |
| Samuel | Дата: Понедельник, 19.10.2015, 16:08 | Сообщение # 38 |
|
Генерал-лейтенант
Группа: Проверенные
Сообщений: 560
Награды: 0
Репутация: 0
Статус: Offline
| Для увеличения решения и правильного ответа на задание, нажмите на картинку
Параграф §37

---------------------------------------------------------------------

---------------------------------------------------------------------
Смотреть оглавление решебника и ГДЗ по Физике. 7 класс. Перышкин А. В
|
| |
| |
| Samuel | Дата: Понедельник, 19.10.2015, 16:09 | Сообщение # 39 |
|
Генерал-лейтенант
Группа: Проверенные
Сообщений: 560
Награды: 0
Репутация: 0
Статус: Offline
| Для увеличения решения и правильного ответа на задание, нажмите на картинку
Параграф §38

---------------------------------------------------------------------

---------------------------------------------------------------------

---------------------------------------------------------------------
Смотреть оглавление решебника и ГДЗ по Физике. 7 класс. Перышкин А. В
|
| |
| |
| Samuel | Дата: Понедельник, 19.10.2015, 16:10 | Сообщение # 40 |
|
Генерал-лейтенант
Группа: Проверенные
Сообщений: 560
Награды: 0
Репутация: 0
Статус: Offline
| Для увеличения решения и правильного ответа на задание, нажмите на картинку
Параграф §39

---------------------------------------------------------------------

---------------------------------------------------------------------

---------------------------------------------------------------------
Смотреть оглавление решебника и ГДЗ по Физике. 7 класс. Перышкин А. В
|
| |
| |
| Samuel | Дата: Понедельник, 19.10.2015, 16:11 | Сообщение # 41 |
|
Генерал-лейтенант
Группа: Проверенные
Сообщений: 560
Награды: 0
Репутация: 0
Статус: Offline
| Для увеличения решения и правильного ответа на задание, нажмите на картинку
Параграф §40

---------------------------------------------------------------------

---------------------------------------------------------------------

---------------------------------------------------------------------

---------------------------------------------------------------------
Смотреть оглавление решебника и ГДЗ по Физике. 7 класс. Перышкин А. В
|
| |
| |
| Samuel | Дата: Понедельник, 19.10.2015, 16:11 | Сообщение # 42 |
|
Генерал-лейтенант
Группа: Проверенные
Сообщений: 560
Награды: 0
Репутация: 0
Статус: Offline
| Для увеличения решения и правильного ответа на задание, нажмите на картинку
Параграф §41

---------------------------------------------------------------------

---------------------------------------------------------------------

---------------------------------------------------------------------
Смотреть оглавление решебника и ГДЗ по Физике. 7 класс. Перышкин А. В
|
| |
| |
| Samuel | Дата: Понедельник, 19.10.2015, 16:18 | Сообщение # 43 |
|
Генерал-лейтенант
Группа: Проверенные
Сообщений: 560
Награды: 0
Репутация: 0
Статус: Offline
| Для увеличения решения и правильного ответа на задание, нажмите на картинку
Параграф §42

---------------------------------------------------------------------

---------------------------------------------------------------------

---------------------------------------------------------------------

---------------------------------------------------------------------

---------------------------------------------------------------------
Смотреть оглавление решебника и ГДЗ по Физике. 7 класс. Перышкин А. В
|
| |
| |
| Samuel | Дата: Понедельник, 19.10.2015, 16:19 | Сообщение # 44 |
|
Генерал-лейтенант
Группа: Проверенные
Сообщений: 560
Награды: 0
Репутация: 0
Статус: Offline
| Для увеличения решения и правильного ответа на задание, нажмите на картинку
Параграф §43

---------------------------------------------------------------------

---------------------------------------------------------------------

---------------------------------------------------------------------
Смотреть оглавление решебника и ГДЗ по Физике. 7 класс. Перышкин А. В
|
| |
| |
| Samuel | Дата: Понедельник, 19.10.2015, 16:21 | Сообщение # 45 |
|
Генерал-лейтенант
Группа: Проверенные
Сообщений: 560
Награды: 0
Репутация: 0
Статус: Offline
| Для увеличения решения и правильного ответа на задание, нажмите на картинку
Параграф §44

---------------------------------------------------------------------

---------------------------------------------------------------------

---------------------------------------------------------------------
Читать решебник далее...
|
| |
| |