[ Новые сообщения · Участники · Правила форума · Поиск · RSS ]
 
Работай из дома! 18+

  • Страница 1 из 1
  • 1
Лабораторная работа №4. Измерение объема тела
MickeyДата: Четверг, 14.12.2017, 14:05 | Сообщение # 1
Лейтенант
Группа: Проверенные
Сообщений: 63
Награды: 0
Репутация: 0
Статус: Offline


 
Работай из дома! 18+
 
 


Лабораторная работа №4. Измерение объема тела.



«Физика. 7 класс» А.В. Перышкин, Н.А. Родина за 7 класс. ФИПИ. ФГОС. Школа России. 21 век.

Презентация на тему: Измерение объема тела.

ГДЗ и решебник по Физике. Лабораторные работы по Физике с ответами можно бесплатно скачать к себе на компьютер, телефон, планшетник или смартфон в любом формате. Потом в свое свободное время можно решать задачи онлайн или офлайн. А также проверить сразу решения и правильные ответы на задания лаб. работы. Ответы, вывод, пояснения и решение. Таблица и описание опыта можно прочитать или посмотреть по видео.



Цель работы: научиться определять объем тела с помощью измерительного цилиндра (мензурки).

Способ измерения объема тела с помощью мензурки основан на том, что при погружении тела в жидкость объем жидкости с погруженным в нее телом увеличивается на величину объема тела. Этот способ хорош тем, что им можно измерять объем тел неправильной формы (например, камня или картофелины), которые нельзя найти, измеряя линейные размеры этих тел. Пользоваться мензуркой (измерительным цилиндром) вы уже учились входе первой лабораторной работы. Измерить же с ее помощью объем тела очень просто. Важно только, чтобы тело было невелико, и его полностью можно было поместить в имеющуюся мензурку. Порядок измерения следующий:

а) в мензурку наливается вода в количестве достаточном для того, чтобы полностью погрузить в нее измеряемое тело. Объем записывается;

б) полностью погрузить тело в воду;

в) определить объем воды с погруженным в нее телом. Разница объемов воды до и после погружения в нее измеряемого тела и будет объемом тела.

К телу, объем которого вы будете измерять, лучше привязать нитку. С ее помощью проще аккуратно опустить тело в воду, а затем и извлечь из мензурки. Если тело плавает в воде нужно полностью погрузить его в воду при помощи карандаша, спицы или проволоки. Иначе вы измерите только объем той части тела, которая находится под водой.



Пример выполнения работы:



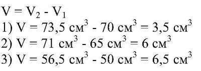
Вычисления:



Видео. Лабораторная работа №4. Измерение объема тела.












Смотрите также другие лабораторные работы для 7 класса:

Лабораторная работа № 1. Определение цены деления измерительного прибора.

Лабораторная работа №2. Измерение размеров малых тел.

Лабораторная работа №3. Измерение массы тела на рычажных весах.

Лабораторная работа №4. Измерение объема тела.

Лабораторная работа №5. Определение плотности твердого тела.

Лабораторная работа №6. Градуирование пружины и измерение сил динамометром.

Лабораторная работа №7. Определение выталкивающей силы, действующей на погруженное в жидкость тело.

Лабораторная работа №8. Выяснение условий плавания тела в жидкости.

Лабораторная работа №9. Выяснение условия равновесия рычага.

Лабораторная работа №10. Определение КПД при подъеме тела по наклонной плоскости.

Фото: 1044753.jpg (35.6 Kb) · 2561776.jpg (32.0 Kb) · 6218844.jpg (113.9 Kb) · 1760532.jpg (34.1 Kb)


 
 
  • Страница 1 из 1
  • 1
Поиск:

Работай из дома! 18+
 
 
 
 
 
 

 
Последние темы на форуме:
 
  • Новогодние праздники 2021-2022 официальные выходные
  • Показатели давления и сердцебиения у женщины 57 лет
  • Гороскоп на декабрь 2021 Женщина Телец
  • Гороскоп на январь 2022 от Павла Глоба
  • Гороскоп на декабрь 2021 от Павла Глоба
  • Гороскоп на ноябрь 2021 от Павла Глоба
  • Стенограмма судьбы - Содержание серий, актеры и роли сериала
  • Мосгаз. Западня - Содержание серий, актеры и роли 2021
  • Тобол - Содержание серий, актеры и роли сериала. 2021
  • Гороскоп для Тигра на сегодня от Павла Глоба
  • Утраченные воспоминания - Содержание серий, актеры и роли
  • Чёрно-белая любовь - Содержание серий, актеры и роли сериала
  • Забытая женщина - Содержание серий, актеры и роли сериала
  • Тайна спящей дамы - Содержание серий, актеры и роли сериала
  • Сериал Часы с кукушкой - Содержание серий, актеры и роли
  •  
     

     
    Обращаем ваше внимание на то, что данный интернет-сайт www.kinolog.do.am носит исключительно информационный характер и ни при каких условиях не является публичной офертой, определяемой положениями Статьи 437 (2) Гражданского кодекса РФ. Цена и наличие товара может отличаться от действительной. Пожалуйста, уточняйте цены и наличие товара у наших менеджеров.
    Администрация сайта не несет ответственности за действия и содержание размещаемой информации пользователей: комментарии, материалы, сообщения и темы на форуме, публикации, объявления и т.д.
    Правообладателям | Реклама | Учебники | Политика
    Отопление, водоснабжение, газоснабжение, канализация © 2003 - 2021
    Рейтинг@Mail.ru Рейтинг арматурных сайтов. ARMTORG.RU Яндекс.Метрика