[ Новые сообщения · Участники · Правила форума · Поиск · RSS ]
 
Работай из дома! 18+

  • Страница 1 из 1
  • 1
Определение КПД при подъеме тела по наклонной плоскости
MickeyДата: Четверг, 14.12.2017, 14:29 | Сообщение # 1
Лейтенант
Группа: Проверенные
Сообщений: 63
Награды: 0
Репутация: 0
Статус: Offline


 
Работай из дома! 18+
 
 


Лабораторная работа №10. Определение КПД при подъеме тела по наклонной плоскости.



«Физика. 7 класс» А.В. Перышкин, Н.А. Родина за 7 класс. ФИПИ. ФГОС. Школа России. 21 век.

Презентация на тему: Определение КПД при подъеме тела по наклонной плоскости.

ГДЗ и решебник по Физике. Лабораторные работы по Физике с ответами можно бесплатно скачать к себе на компьютер, телефон, планшетник или смартфон в любом формате. Потом в свое свободное время можно решать задачи онлайн или офлайн. А также проверить сразу решения и правильные ответы на задания лабораторной работы. Ответы, вывод, пояснения и решение. Таблица и описание опыта можно прочитать или посмотреть по видео.



Цель работы: убедиться на опыте в том, что полезная работа, выполненная с помощью простого механизма (наклонной плоскости), меньше полной.



"Золотое правило" механики гласит, что при отсутствии силы трения работа, совершенная при подъеме тела вверх по вертикали на высоту h равна работе при подъеме тела по наклонной плоскости на высоту h при равномерном перемещении тела.

В первом случае работа равна:

А1 = Fтh, где

F сила тяжести действующая на тело, h - высота подъема. Во втором случае работа равна: А2 = Fl, где

F - сила, прилагаемая к телу для перемещения его равномерно по наклонной плоскости,

l - длина наклонной плоскости. А1 = А2 при отсутствии силы трения. При наличии силы трения работа: А2 > А1

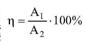
А2 - полная работа, которую нужно произвести, поднимая тело на высоту h с помощью наклонной плоскости. А1 - полезная работа, которую нужно произвести, поднимая тело на высоту h без помощи наклонной плоскости.

Разделив полезную работу на полную, получим КПД наклонной плоскости и выразим его в процентах



Ход работы описан в учебнике.



Вычисления



Дополнительное задание.

Согласно "Золотому правилу" механики при отсутствии трения имеем:

отсюда

именно во столько раз мы выигрываем в силе, применяя эту наклонную плоскость.

Видео. Лабораторная работа № 10. Определение КПД при подъеме тела по наклонной плоскости.










Смотрите также другие лабораторные работы для 7 класса:

Лабораторная работа № 1. Определение цены деления измерительного прибора.

Лабораторная работа №2. Измерение размеров малых тел.

Лабораторная работа №3. Измерение массы тела на рычажных весах.

Лабораторная работа №4. Измерение объема тела.

Лабораторная работа №5. Определение плотности твердого тела.

Лабораторная работа №6. Градуирование пружины и измерение сил динамометром.

Лабораторная работа №7. Определение выталкивающей силы, действующей на погруженное в жидкость тело.

Лабораторная работа №8. Выяснение условий плавания тела в жидкости.

Лабораторная работа №9. Выяснение условия равновесия рычага.

Лабораторная работа №10. Определение КПД при подъеме тела по наклонной плоскости.

Фото: 7502542.jpg (36.4 Kb) · 7263145.jpg (8.2 Kb) · 4308036.jpg (172.9 Kb) · 1201912.jpg (35.6 Kb)


 
 
  • Страница 1 из 1
  • 1
Поиск:

Работай из дома! 18+
 
 
 
 
 
 

 
Последние темы на форуме:
 
  • Новогодние праздники 2021-2022 официальные выходные
  • Показатели давления и сердцебиения у женщины 57 лет
  • Гороскоп на декабрь 2021 Женщина Телец
  • Гороскоп на январь 2022 от Павла Глоба
  • Гороскоп на декабрь 2021 от Павла Глоба
  • Гороскоп на ноябрь 2021 от Павла Глоба
  • Стенограмма судьбы - Содержание серий, актеры и роли сериала
  • Мосгаз. Западня - Содержание серий, актеры и роли 2021
  • Тобол - Содержание серий, актеры и роли сериала. 2021
  • Гороскоп для Тигра на сегодня от Павла Глоба
  • Утраченные воспоминания - Содержание серий, актеры и роли
  • Чёрно-белая любовь - Содержание серий, актеры и роли сериала
  • Забытая женщина - Содержание серий, актеры и роли сериала
  • Тайна спящей дамы - Содержание серий, актеры и роли сериала
  • Сериал Часы с кукушкой - Содержание серий, актеры и роли
  •  
     

     
    Обращаем ваше внимание на то, что данный интернет-сайт www.kinolog.do.am носит исключительно информационный характер и ни при каких условиях не является публичной офертой, определяемой положениями Статьи 437 (2) Гражданского кодекса РФ. Цена и наличие товара может отличаться от действительной. Пожалуйста, уточняйте цены и наличие товара у наших менеджеров.
    Администрация сайта не несет ответственности за действия и содержание размещаемой информации пользователей: комментарии, материалы, сообщения и темы на форуме, публикации, объявления и т.д.
    Правообладателям | Реклама | Учебники | Политика
    Отопление, водоснабжение, газоснабжение, канализация © 2003 - 2021
    Рейтинг@Mail.ru Рейтинг арматурных сайтов. ARMTORG.RU Яндекс.Метрика