[ Новые сообщения · Участники · Правила форума · Поиск · RSS ]
 
Работай из дома! 18+

  • Страница 1 из 1
  • 1
Лабораторная работа № 7. Измерение мощности тока в лампе.
HillaryДата: Вторник, 19.12.2017, 16:27 | Сообщение # 1
Полковник
Группа: Проверенные
Сообщений: 231
Награды: 0
Репутация: 0
Статус: Offline


 
Работай из дома! 18+
 
 


Лабораторная работа № 7. Измерение мощности и работы тока в электрической лампе.



«Физика. 8 класс» А.В. Перышкин, Н.А. Родина за 8 класс. ФИПИ. ФГОС. Школа России. 21 век.

Презентация на тему: Лабораторная работа № 7. Измерение мощности и работы тока в электрической лампе.

ГДЗ и решебник по предмету Физике. Лабораторные работы по Физике с ответами можно бесплатно скачать к себе на компьютер, телефон, планшетник или смартфон в любом формате. Потом в свое свободное время можно решать задачи онлайн или офлайн. А также проверить сразу решения и правильные ответы на задания лабораторной работы. Ответы, вывод, пояснения и решение на лабораторную работу смотрите ниже. Таблица и описание опыта можно прочитать или посмотреть по видео.



Измерение мощности и работы тока в электрической лампе.

Цель работы: Научиться определять мощность и работу тока в лампе, используя амперметр, вольтметр и часы.

Выполнение работы не должно вызвать у вас никаких затруднений. Все предельно просто. Собираем цепь, включаем, засекаем время, записываем показания приборов, выключаем, засекаем время, проводим вычисления.

Мощность вычисляем по формуле:



Работу вычисляем по формуле:



Пример выполнения работы:



Измерения:



Вычисления:



Почему полученное значение мощности может отличаться от обозначенного на лампе?

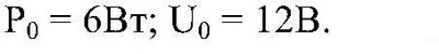
Потому, что значение мощности, обозначенное на лампе, достигается при определенном значении напряжения, также обозначенном на лампе.

Например, в нашем случае, это:



Можно проверить соответствие, рассчитав сопротивление лампы, которое, как мы знаем, остается неизменным при изменении напряжения и силы тока.




При нашем измерении:




Видео. Лабораторная работа № 7. Измерение мощности и работы тока в электрической лампе.






Смотрите также другие лабораторные работы для 8 класса


Лабораторная работа №1. Сравнение количеств теплоты при смешивании воды разной температуры.

Лабораторная работа №2. Измерение удельной теплоемкости твердого тела.

Лабораторная работа № 3. Сборка электрической цепи и измерение силы тока в ее различных участках.

Лабораторная работа № 4. Измерение напряжения на различных участках электрической цепи.

Лабораторная работа № 5. Регулирование силы тока реостатом.

Лабораторная работа № 6. Измерение сопротивления проводника при помощи амперметра и вольтметра.

Лабораторная работа № 7. Измерение мощности и работы тока в электрической лампе.

Лабораторная работа № 8. Измерение КПД установки с электрическим нагревателем.

Лабораторная работа № 9. Сборка электромагнита и испытание его действия.

Лабораторная работа № 10. Изучение электрического двигателя постоянного тока (на модели).

Лабораторная работа № 11. Получение изображения при помощи линзы.

Фото: 7266494.jpg (3.1 Kb) · 5990501.jpg (2.9 Kb) · 1444634.jpg (24.2 Kb) · 6091304.jpg (8.8 Kb) · 0569205.jpg (25.9 Kb) · 0954184.jpg (7.3 Kb) · 0522413.jpg (8.7 Kb) · 7043356.jpg (17.1 Kb) · 9315541.jpg (3.4 Kb) · 7772800.jpg (9.5 Kb)


 
 
  • Страница 1 из 1
  • 1
Поиск:

Работай из дома! 18+
 
 
 
 
 
 

 
Последние темы на форуме:
 
  • Новогодние праздники 2021-2022 официальные выходные
  • Показатели давления и сердцебиения у женщины 57 лет
  • Гороскоп на декабрь 2021 Женщина Телец
  • Гороскоп на январь 2022 от Павла Глоба
  • Гороскоп на декабрь 2021 от Павла Глоба
  • Гороскоп на ноябрь 2021 от Павла Глоба
  • Стенограмма судьбы - Содержание серий, актеры и роли сериала
  • Мосгаз. Западня - Содержание серий, актеры и роли 2021
  • Тобол - Содержание серий, актеры и роли сериала. 2021
  • Гороскоп для Тигра на сегодня от Павла Глоба
  • Утраченные воспоминания - Содержание серий, актеры и роли
  • Чёрно-белая любовь - Содержание серий, актеры и роли сериала
  • Забытая женщина - Содержание серий, актеры и роли сериала
  • Тайна спящей дамы - Содержание серий, актеры и роли сериала
  • Сериал Часы с кукушкой - Содержание серий, актеры и роли
  •  
     

     
    Обращаем ваше внимание на то, что данный интернет-сайт www.kinolog.do.am носит исключительно информационный характер и ни при каких условиях не является публичной офертой, определяемой положениями Статьи 437 (2) Гражданского кодекса РФ. Цена и наличие товара может отличаться от действительной. Пожалуйста, уточняйте цены и наличие товара у наших менеджеров.
    Администрация сайта не несет ответственности за действия и содержание размещаемой информации пользователей: комментарии, материалы, сообщения и темы на форуме, публикации, объявления и т.д.
    Правообладателям | Реклама | Учебники | Политика
    Отопление, водоснабжение, газоснабжение, канализация © 2003 - 2021
    Рейтинг@Mail.ru Рейтинг арматурных сайтов. ARMTORG.RU Яндекс.Метрика