[ Новые сообщения · Участники · Правила форума · Поиск · RSS ]
 
Работай из дома! 18+

  • Страница 22 из 22
  • «
  • 1
  • 2
  • 20
  • 21
  • 22
ГДЗ по Математике. 6 класс
KADETДата: Четверг, 25.12.2014, 16:41 | Сообщение # 316
Генерал-майор
Группа: Проверенные
Сообщений: 337
Награды: 0
Репутация: 0
Статус: Offline


 
Работай из дома! 18+
 
 




Задача № 1571

Постройте в координатной плоскости треугольник MKN, если М (-7; -5), N (-3; 5), К (7; 1). Измерьте углы и стороны этого треугольника. Найдите координаты середины стороны MN.

Ответ на задание



Задача № 1572

Отметьте на координатной плоскости точки А(3; 6), В(1; -4) М (-5; 2). Проведите через точку М прямую CD, параллельную прямо АВ, и прямую EF, перпендикулярную прямой АВ.

Ответы на задание



Задача № 1573

Постройте на координатной плоскости треугольник СДЕ, есл С (-6; -2), D (3; 1) и Е (3; -2). Запишите координаты точек пересечени сторон треугольника с осями координат.

Ответ на задачу



Задача № 1574

На координатной плоскости отметьте точку А (-3; 0). Начертите окружность с центром А и радиусом, равным 5 единичным отрезкам. 3апишите координаты пересечения этой окружности с осями координат.

Ответ на задание и решение



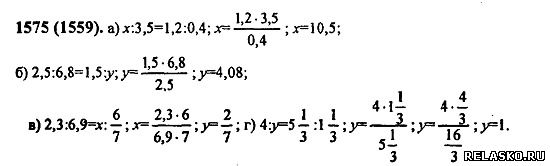
Задача № 1575

Ответ на задачку

Фото: 1471846.jpg (22.6 Kb) · 5548021.jpg (18.0 Kb) · 7000868.jpg (26.4 Kb) · 1725738.jpg (24.2 Kb) · 9856710.jpg (31.2 Kb)
 
 
KADETДата: Четверг, 25.12.2014, 16:44 | Сообщение # 317
Генерал-майор
Группа: Проверенные
Сообщений: 337
Награды: 0
Репутация: 0
Статус: Offline


 
Работай из дома! 18+
 
 


Задача № 1576

На сахарный завод привезли свёклу, из которой получается 12% сахара. Сколько получится сахара из 2629,5 тыс. т свёклы указанного сорте

Ответ на задание



Задача № 1577

Женщины составляют 34,5% всех рабочих фабрики. Остальнь рабочие — мужчины. Сколько рабочих на фабрике, если мужчин на ней 262

Ответы на задание



Задача № 1578

У геологической экспедиции 40% маршрута проходили по степи, 26% — по горной местности, а остальные 102 км — по долине реки. Сколько километров маршрута экспедиции прошло по степи и сколько по горной местности?

Ответ на задачу



Задача № 1579

Андрей в первый день прочитал 30% всей книги, во второй день -25% всей книги, в третий день — остальные 180 страниц. Сколько страниц прочитал Андрей в первый день?

Ответ на задание и решение



Задача № 1580

Чтобы доставить нефть из Тюмени на Сахалин, ее надо везти поездом 7150 км и по морю 550 км. После того как была построена Байкало-Амурская магистраль, путь сократился на 1000 км. На сколько процентов сократился путь?

Ответ на задачку

Фото: 2412041.jpg (16.8 Kb) · 7384367.jpg (21.2 Kb) · 1845332.jpg (30.1 Kb) · 2209204.jpg (22.3 Kb) · 1884151.jpg (19.3 Kb)
 
 
KADETДата: Четверг, 25.12.2014, 16:47 | Сообщение # 318
Генерал-майор
Группа: Проверенные
Сообщений: 337
Награды: 0
Репутация: 0
Статус: Offline


 
Работай из дома! 18+
 
 


Задача № 1581

Ответ на задание



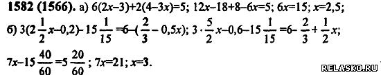
Задача № 1582

Ответы на задание



Задача № 1583

Отлитый в 1735 г. Царь-колокол, хранящийся в Московском Кремле, имеет диаметр 6,6 м. Вычислите длину окружности основания Царь-колокола.

Ответ на задачу



Задача № 1584

Сколько граммов семян потребуется для посева цветов на круглой клумбе диаметром 3,4 м, если на 1 м2 высевают 12 г семян?

Ответ на задание и решение



Задача № 1585

Ответ на задачку

Фото: 2950362.jpg (22.6 Kb) · 0229976.jpg (30.6 Kb) · 6794341.jpg (19.5 Kb) · 2839799.jpg (16.4 Kb) · 3963730.jpg (37.9 Kb)
 
 
KADETДата: Четверг, 25.12.2014, 16:49 | Сообщение # 319
Генерал-майор
Группа: Проверенные
Сообщений: 337
Награды: 0
Репутация: 0
Статус: Offline


 
Работай из дома! 18+
 
 


Задача № 1586

В открытом грунте с 2 1/2 га получили 800 ц огурцов, а в теплице со 100 м2 — 3200 кг. Где выше урожайность (т. е. урожай с 1 га) и на сколько процентов?

Ответ на задание



Задача № 1587

В двух бригадах было поровну рабочих. Когда в первую бригаду поступило 8 человек, а из второй ушли 2 человека, в первой бригаде стало в 3 раза больше рабочих, чем во второй. Сколько рабочих было в каждой бригаде?

Ответы на задание



Задача № 1588

Шаг Пети на 12 см длиннее шага Толи. Но 4 шага Пети короче 6 шагов Толи на 54 см. Найдите длину шага каждого мальчика.

Ответ на задачу



Задача № 1589

Ответ на задание и решение



Задача № 1590

Расстояние между городом и совхозом машина прошла за 1 ч 15 мин. Если бы скорость машины была на 10 км/ч меньше, то этот путь она прошла бы за 1 ч 30 мин. Найдите скорость машины и расстояние от города до совхоза.

Ответ на задачку

Фото: 0204857.jpg (27.0 Kb) · 9057237.jpg (24.5 Kb) · 3926264.jpg (25.5 Kb) · 5765880.jpg (44.6 Kb) · 1115854.jpg (33.9 Kb)
 
 
KADETДата: Четверг, 25.12.2014, 16:51 | Сообщение # 320
Генерал-майор
Группа: Проверенные
Сообщений: 337
Награды: 0
Репутация: 0
Статус: Offline


 
Работай из дома! 18+
 
 


Задача № 1591

В одном баке 840 л воды, а в другом у того, что в первом. Из первого бака выливают в минуту в 3 раза больше воды, чем из второго. Через 5 мин в первом баке остается на 40 л воды меньше, чем во втором. Сколько литров воды выливают из каждого бака за одну минуту?

Ответ на задание



Задача № 1592

Из двух сел, расстояние между которыми 21 км, вышли одновременно навстречу друг другу мужчина и женщина. При встрече оказалось, что мужчина прошел в l 1/3 раза большее расстояние, чем женщина. Через сколько часов после выхода они встретились, если скорость мужчины 6 км/ч? С какой скоростью шла женщина?

Ответы на задание



Задача № 1593

Теплоход проходит за 15 ч против течения столько же, сколько за 13 ч по течению. Найдите скорость течения, если собственная скорость теплохода 70 км/ч.

Ответ на задачу



Задача № 1594

Найдите 4 числа, каждое из которых, начиная со второго, на 7 больше предыдущего, если среднее арифметическое их равно 25,5.

Ответ на задание и решение



Задача № 1595

Начертите треугольник ABC с прямым углом В. Как разделит этот треугольник на четыре равных треугольника?

Ответ на задачку




Продолжение решебника по Математике ...
Фото: 4498041.jpg (33.4 Kb) · 8670289.jpg (27.5 Kb) · 5855417.jpg (22.8 Kb) · 7922671.jpg (34.0 Kb)
 
 
ElizДата: Вторник, 13.01.2015, 19:07 | Сообщение # 321
Рядовой
Группа: Пользователи
Сообщений: 1
Награды: 0
Репутация: 0
Статус: Offline


 
Работай из дома! 18+
 
 


Как по мне то весьма полезная вещь решебники, как для родителей, так и для детей.

Конечно, если не просто сесть и списать решение, а попробовать понять.

Дочка уже в 6 классе и все года нам помогал гдз \ решебник по математике

Могу сказать, что мой ребёнок один из лучших в классе по оценках по математике.


 
 
  • Страница 22 из 22
  • «
  • 1
  • 2
  • 20
  • 21
  • 22
Поиск:

Работай из дома! 18+
 
 
 
 
 
 

 
Последние темы на форуме:
 
  • Новогодние праздники 2021-2022 официальные выходные
  • Показатели давления и сердцебиения у женщины 57 лет
  • Гороскоп на декабрь 2021 Женщина Телец
  • Гороскоп на январь 2022 от Павла Глоба
  • Гороскоп на декабрь 2021 от Павла Глоба
  • Гороскоп на ноябрь 2021 от Павла Глоба
  • Стенограмма судьбы - Содержание серий, актеры и роли сериала
  • Мосгаз. Западня - Содержание серий, актеры и роли 2021
  • Тобол - Содержание серий, актеры и роли сериала. 2021
  • Гороскоп для Тигра на сегодня от Павла Глоба
  • Утраченные воспоминания - Содержание серий, актеры и роли
  • Чёрно-белая любовь - Содержание серий, актеры и роли сериала
  • Забытая женщина - Содержание серий, актеры и роли сериала
  • Тайна спящей дамы - Содержание серий, актеры и роли сериала
  • Сериал Часы с кукушкой - Содержание серий, актеры и роли
  •  
     

     
    Обращаем ваше внимание на то, что данный интернет-сайт www.kinolog.do.am носит исключительно информационный характер и ни при каких условиях не является публичной офертой, определяемой положениями Статьи 437 (2) Гражданского кодекса РФ. Цена и наличие товара может отличаться от действительной. Пожалуйста, уточняйте цены и наличие товара у наших менеджеров.
    Администрация сайта не несет ответственности за действия и содержание размещаемой информации пользователей: комментарии, материалы, сообщения и темы на форуме, публикации, объявления и т.д.
    Правообладателям | Реклама | Учебники | Политика
    Отопление, водоснабжение, газоснабжение, канализация © 2003 - 2021
    Рейтинг@Mail.ru Рейтинг арматурных сайтов. ARMTORG.RU Яндекс.Метрика