[ Новые сообщения · Участники · Правила форума · Поиск · RSS ]
 
Работай из дома! 18+

ГДЗ по Математике. 6 класс
KADETДата: Четверг, 25.12.2014, 14:27 | Сообщение # 286
Генерал-майор
Группа: Проверенные
Сообщений: 337
Награды: 0
Репутация: 0
Статус: Offline


 
Работай из дома! 18+
 
 




Задача № 1421

Решите уравнение:

а) -3,7•(2,5x-7,6) =-3,66 + 2,1x;
б) 0,4 • (у—0,6)=0,5 • (у—0,8)+0,08.

Ответ на задание



Задача № 1422

Отметьте точку М и проведите через нее две прямые m и l так, чтобы они образовали угол, равный 62°.

Ответы на задание



Задача № 1423

Постройте угол COD, равный 50°. Через точку M, лежащую на стороне OD, проведите прямую m, параллельную стороне ОС, а через точку К, лежащую на стороне ОС, проведите прямую n, параллельную стороне OD. Измерьте транспортиром углы, образовавшиеся при пересечении прямых m и n.

Ответ на задачу



Задача № 1424

Найдите значение выражения:

а) -3,8 • (4 — 4,9) +13,4 • (3 — 2,8);
б) -3,636:0,6+ 2,6 • (5-1,1).

Ответ на задание и решение



Задача № 1425

В селе 22 двухэтажных дома, а остальные 68 — одноэтажные. Постройте круговую и столбчатую диаграммы (один дом — 2 мм).

Ответ на задачку

Фото: 3927225.jpg (32.7 Kb) · 0470079.jpg (20.9 Kb) · 8224859.jpg (22.1 Kb) · 6349989.jpg (26.9 Kb) · 1969943.jpg (47.8 Kb)
 
 
KADETДата: Четверг, 25.12.2014, 14:31 | Сообщение # 287
Генерал-майор
Группа: Проверенные
Сообщений: 337
Награды: 0
Репутация: 0
Статус: Offline


 
Работай из дома! 18+
 
 


Задача № 1426

Постройте столбчатую диаграмму, показывающую массы первых десяти космических кораблей серии Венера

Ответ на задание



Задача № 1427

Постройте столбчатую диаграмму по следующим данным: а) наибольшая глубина озера Байкал 1620 м, Онежского озера 127 м, озера Иссык-Куль 668 м, Ладожского озера 225 м; б) расстояние до Солнца от планеты Меркурий 58 млн. км, от планеты Венера 108 млн. км, от планеты Земля 150 млн. км, от планеты Марс млн. км.

Ответы на задание



Задача № 1428

Отметьте на координатной плоскости точки А (- 2; 4), В (- 4; - 5), С (8; 0), D (— 4; 4). Найдите координаты точки пересечения прямых АВ и CD.

Ответ на задачу



Задача № 1429

На координатной плоскости отмечены точки А (2; 3), В ( — 3; 4), С ( — 5; 6), D (3; -4), Е( 0; -5), *(0;3), ЛГ(-2;0), М (5; 0). Какие из этих точек расположены:

а) выше оси абсцисс;
г) левее оси ординат;
б) ниже оси абсцисс;
д) на оси абсцисс;
в) правее оси ординат;
е) на оси ординат?

Ответ на задание и решение



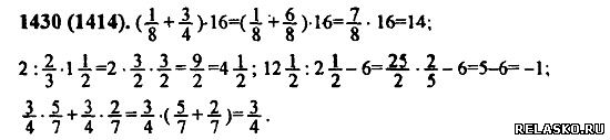
Задача № 1430

Вычислите:

Ответ на задачку

Фото: 7708755.jpg (37.1 Kb) · 0526223.jpg (18.7 Kb) · 5209257.jpg (22.6 Kb) · 5636570.jpg (15.6 Kb) · 9202916.jpg (30.7 Kb)
 
 
KADETДата: Четверг, 25.12.2014, 14:33 | Сообщение # 288
Генерал-майор
Группа: Проверенные
Сообщений: 337
Награды: 0
Репутация: 0
Статус: Offline


 
Работай из дома! 18+
 
 


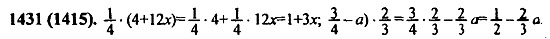
Задача № 1431

Раскройте скобки:

Ответ на задание



Задача № 1432

Из делителя вычли его. Как изменится частное?

Ответы на задание



Задача № 1433

Какой цифрой оканчивается разность 1*2*3* 4*.... *26*27 - 1*3*5*7*....*25*27?

Ответ на задачу



Задача № 1434

Запишите в виде двойного неравенства условия, которым подчиняются:

а) абсциссы любой точки фигуры;
б) ординаты любой точки фигуры (рис. 122).

Ответ на задание и решение



Задача № 1435

2/3 см3 вещества имеют массу. Найдите массу 1 см3 этого вещества. Найдите объем этого вещества, если его масса равна 1 г.

Ответ на задачку

Фото: 4208490.jpg (17.7 Kb) · 0798656.jpg (26.0 Kb) · 8570526.jpg (25.8 Kb) · 6928745.jpg (20.1 Kb) · 0674693.jpg (24.9 Kb)
 
 
KADETДата: Четверг, 25.12.2014, 14:35 | Сообщение # 289
Генерал-майор
Группа: Проверенные
Сообщений: 337
Награды: 0
Репутация: 0
Статус: Offline


 
Работай из дома! 18+
 
 


Задача № 1436

Найдите значение выражения:

Ответ на задание



Задача № 1437

Постройте столбчатую диаграмму по следующим данным: а) площадь КНР равна 9,6 млн. км2, площадь Индии - 3,3 млн. км2 и площадь США - 9,4 млн. км2; б) длина Днепра 2,2 тыс. км, Дона 1,9 тыс. км, Днестра 1,4 тыс. км, Печоры 1,8 тыс. км, Волги 3,5 тыс. км.

Ответы на задание



Задача № 1438

В одной пачке было в 2,5 раза больше тетрадей, чем в другой. Когда из второй пачки переложили в первую 5 тетрадей, то во второй стало в 3 раза меньше тетрадей, чем в первой. Сколько тетрадей было в каждой пачке первоначально?

Ответ на задачу



Задача № 1439

Для оклейки стен обоями на 1 м2 требуется: обоев 0,25 рулона, крахмала 0,09 кг, клея 0,01 кг, газетной бумаги 0,07 кг. Сколько материалов потребуется для оклейки обоями комнаты, если площадь всех ее стен вместе с окнами и дверями 35,3 м2, а площадь окон и дверей равна 10,2 м2? Ответ округлите с избытком до десятых долей килограммов и до целых рулонов.

Ответ на задание и решение



Задача № 1440

Найдите значение выражения:

Ответ на задачку

Фото: 3386134.jpg (39.4 Kb) · 3016942.jpg (15.4 Kb) · 1765217.jpg (45.6 Kb) · 7170671.jpg (38.6 Kb) · 7584882.jpg (45.4 Kb)
 
 
KADETДата: Четверг, 25.12.2014, 14:38 | Сообщение # 290
Генерал-майор
Группа: Проверенные
Сообщений: 337
Награды: 0
Репутация: 0
Статус: Offline


 
Работай из дома! 18+
 
 


Задача № 1441

Пети в зависимости от его возраста. Какова масса Пети в возрасте 6 лет, 8,5 лет, 10 лет?

Ответ на задание



Задача № 1442

На рисунке 129 изображен график изменения температуры воздуха в течении суток. Ответьте на следующие вопросы:

а) Чему равнялась температура воздуха в 3 ч; в 12 ч?
б) В какие часы температура воздуха была отрицательной?
в) В какие часы температура воздуха была положительной?
г) Когда температура воздуха равнялась нулю: 2 градуса; -6 градусов?
д) На сколько градусов изменилась температура с 2 чдо 13 ч; с 18 до 24 ч?

Ответы на задание



Задача № 1443

Высота сосны изменялась в зависимости от ее возраста следующим образом: Постройте график зависимости высоты сосны от ее возраста.

Пользуясь графиком, найдите:

а) высоту сосны в 15 лет, в 35 лет, в 75 лет;
б) возраст сосны, когда ее высота была 10 м, 16 м, 20 м;
в) на сколько метров выросла сосна за первые 20 лет, за вторые 20 лет, за третьи 20 лет;
г) на сколько метров выросла сосна от 15 лет до 45 лет.

Ответ на задачу



Задача № 1444

В пустой графин (рис. 130) наливают воду стаканом, содержащим 0,2 л, и каждый раз отмечают высоту воды в графине. На рисунке 131 изображен получившийся график.

Пользуясь графиком, определите:

а) какой будет уровень воды в графине, если в него налить 0,8 л воды; 2 л воды;
б) сколько воды надо налить в графин, чтобы уровень воды оказался на высоте 7 см; на высоте 13 см;
в) почему сначала уровень воды в графине растет быстрее, потом медленнее, а затем опять быстрее

Ответ на задание и решение



Задача № 1445

На рисунке 132 изображены графики движения двух автомобилей: грузового (график АВ) и легкового (график CD).

Определите, пользуясь графиком:

а) в какое время вышли автомобили из города;
б) на каком расстоянии от города был легковой автомобиль в 4 ч 30 мин; в 7 ч;
в) на каком расстоянии от города был грузовой автомобиль в 4 ч; в 6 ч 30 мин;
г) в какое время грузовой автомобиль находился в 135 км от города; в 210 км от города;
д) в какое время легковой автомобиль находился в 135 км от города; в 225 км от города;
е) в какое время и на каком расстоянии от города легковой автомобиль догнал грузовой автомобиль;
ж) какой автомобиль шел с постоянной скоростью;
з) какова была скорость грузового автомобиля между 5 ч и 6 ч; между 6 ч и 7 ч;
и) на каком расстоянии друг от друга были автомобили в 5 ч; в 7 ч

Ответ на задачку

Фото: 3219520.jpg (17.3 Kb) · 2577305.jpg (28.4 Kb) · 8158330.jpg (45.2 Kb) · 5279322.jpg (52.9 Kb) · 4181309.jpg (99.7 Kb)
 
 
KADETДата: Четверг, 25.12.2014, 14:44 | Сообщение # 291
Генерал-майор
Группа: Проверенные
Сообщений: 337
Награды: 0
Репутация: 0
Статус: Offline


 
Работай из дома! 18+
 
 


Задача № 1446

Рыболов рассказал, что, выйдя из дома, он шел 2 ч по берегу реки и дошел до впадения в нее притока. Там он ловил рыбу 1,5 ч, а потом пошел дальше. Через 1 ч он выбрал новое место, где в течение 2 ч ловил рыбу, варил уху, обедал.

После обеда он отправился домой. На все это он затратил 9 ч. График движения рыболова изображен на рисунке 133.

Ответьте на следующие вопросы:

а) На каком расстоянии от дома был рыболов через 30 мин; через 4 ч 40 мин; через 5,5 ч после выхода из дома?
б) Через сколько часов после выхода из дома был рыболов в 5 км от дома?
в) Когда расстояние от дома увеличивалось; уменьшалось; не изменялось?
г) Сколько километров прошел рыболов за последние 2 ч?
д) С какой скоростью рыболов шел в первый и с какой в последний час пути? Чему равна скорость движения рыболова в промежутке времени между 4 и 4,5 ч после выхода из дома?

Ответ на задание



Задача № 1447

Ответы на задание



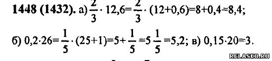
Задача № 1448


Ответ на задачу



Задача № 1449

Ответ на задание и решение



Задача № 1450

Ответ на задачку

Фото: 4149060.jpg (84.5 Kb) · 8203120.jpg (17.8 Kb) · 7605526.jpg (29.2 Kb) · 9009253.jpg (30.3 Kb) · 2781416.jpg (19.3 Kb)
 
 
KADETДата: Четверг, 25.12.2014, 14:45 | Сообщение # 292
Генерал-майор
Группа: Проверенные
Сообщений: 337
Награды: 0
Репутация: 0
Статус: Offline


 
Работай из дома! 18+
 
 


Задача № 1451

Ответ на задание



Задача № 1452

Ответы на задание



Задача № 1453


Ответ на задачу



Задача № 1454

Ответ на задание и решение



Задача № 1455

Ответ на задачку

Фото: 7662046.jpg (29.9 Kb) · 7252704.jpg (21.9 Kb) · 9914255.jpg (18.5 Kb) · 2310232.jpg (15.5 Kb) · 9914151.jpg (16.2 Kb)
 
 
KADETДата: Четверг, 25.12.2014, 15:03 | Сообщение # 293
Генерал-майор
Группа: Проверенные
Сообщений: 337
Награды: 0
Репутация: 0
Статус: Offline


 
Работай из дома! 18+
 
 


Задача № 1456

Ответ на задание



Задача № 1457

Сумма двух чисел равна 75, причем 2/3 о одного числа равны 4/9 другого. Найдите эти числа.

Ответы на задание



Задача № 1458

Масса трех сазанов 10,8 кг. Масса третьего сазана составляла 50% массы первого, масса второго — в 1,5 раза больше массы первого. Найдите массу каждого сазана.

Ответ на задачу



Задача № 1459

Моторная лодка прошла вверх по реке 60 км, а вниз 150 км. Найдите среднюю скорость лодки на всем пути, если ее собственная скорость 20 км/ч, а скорость течения 4 км/ч.

Ответ на задание и решение



Задача № 1460

Решите задачу:

1) Привезенный картофель распределили между тремя магазинами. Первый магазин получил 3/8 привезенного картофеля, второй — 1/4 привезенного картофеля, а третий — остальные 21 т картофеля. Сколько тонн картофеля было привезено?

2) Трем машинисткам было поручено перепечатать рукопись книги. Первая машинистка перепечатала 4/9 всей рукописи, вторая — 1/3 всей рукописи, а третья — остальные 60 страниц. Сколько страниц было в рукописи?

Ответ на задачку

Фото: 9736973.jpg (26.8 Kb) · 9873714.jpg (30.0 Kb) · 6414607.jpg (38.6 Kb) · 1696582.jpg (44.6 Kb) · 4146228.jpg (44.9 Kb)
 
 
KADETДата: Четверг, 25.12.2014, 15:06 | Сообщение # 294
Генерал-майор
Группа: Проверенные
Сообщений: 337
Награды: 0
Репутация: 0
Статус: Offline


 
Работай из дома! 18+
 
 


Задача № 1461

Ответ на задание



Задача № 1462

На рисунке 134 показан график температуры воды в электрическом самоваре. На прямой х откладывали время в минутах после включения самовара, а на прямой у — температуру воды в градусах Цельсия.

Определите по графику:

а) температуру воды через 20 мин после включения самовара; б) момент закипания воды в самоваре; в) сколько минут кипела вода в самоваре; г) когда температура воды в самоваре была 88°С.

Ответы на задание



Задача № 1463

В двух альбомах 750 марок, причем в первом альбоме 3/5 имевшихся марок составляли иностранные марки. Во втором альбоме иностранные марки составляли 0,9 имевшихся там марок. Сколько всего марок было в каждом альбоме, если число иностранных марок в них было одинаково?

Ответ на задачу



Задача № 1464

Катер прошел от одной пристани до другой 240 км и вернулся обратно. Найдите среднюю скорость катера на всем пути, если его собственная скорость 18 км/ч, а скорость течения 2 км/ч.

Ответ на задание и решение



Задача № 1465

В один из дней после уроков в школе 1/9 всех учащихся пошли на олимпиаду по математике, 2/3 всех учащихся — в спортивные секции, а остальные 142 ученика отправились домой. Сколько всего учащихся в школе, если в этот день не было пропустивших уроки?

Ответ на задачку

Фото: 6113692.jpg (39.8 Kb) · 5340959.jpg (16.6 Kb) · 5638036.jpg (30.3 Kb) · 2510550.jpg (32.5 Kb) · 6597385.jpg (20.9 Kb)
 
 
KADETДата: Четверг, 25.12.2014, 15:09 | Сообщение # 295
Генерал-майор
Группа: Проверенные
Сообщений: 337
Награды: 0
Репутация: 0
Статус: Offline


 
Работай из дома! 18+
 
 


Задача № 1466

На рисунке 135 изображен график движения поезда.

Определите по графику:

а) какое расстояние прошел поезд за первые 2 ч;
б) сколько минут поезд стоял на каждой остановке;
в) каково расстояние между остановками поезда;
г) среднюю скорость движения за 3 ч.

Ответ на задание



Задача № 1467

На рисунке 136 изображен график движения. Придумайте рассказ к этому графику.

Ответы на задание



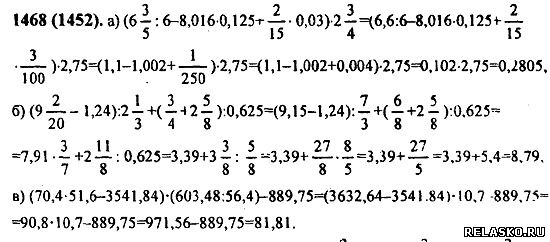
Задача № 1468


Ответ на задачу



Задача № 1469

Приведите примеры: а) целых чисел; б) натуральных чисел; в) отрицательных чисел, не являющихся целыми; г) положительных чисел, не являющихся натуральными; д) рациональных чисел, не являющихся целыми; е) двух рациональных взаимно обратных чисел; ж) двух противоположных целых чисел; з) двух рациональных чисел, произведение которых равно 0; равно 1; и) двух целых чисел, сумма которых равна 0; равна 1.

Ответ на задание и решение



Задача № 1470

При каком условии равно нулю: а) произведение рациональных чисел; б) частное рациональных чисел?

Ответ на задачку

Фото: 5929272.jpg (15.9 Kb) · 0356208.jpg (18.2 Kb) · 5039055.jpg (65.2 Kb) · 3761821.jpg (23.2 Kb) · 2707494.jpg (20.2 Kb)
 
 
KADETДата: Четверг, 25.12.2014, 15:11 | Сообщение # 296
Генерал-майор
Группа: Проверенные
Сообщений: 337
Награды: 0
Репутация: 0
Статус: Offline


 
Работай из дома! 18+
 
 


Задача № 1471

Верно ли, что:

а) число, обратное произведению двух чисел, равно произведению чисел, обратных множителям; б) число, обратное сумме двух чисел, равно сумме чисел, обратных слагаемым; в) число, противоположное произведению двух чисел, равно произведению чисел, противоположных множителям; г) число, противоположное сумме двух чисел, равно сумме чисел, противоположных слагаемым?

Ответ на задание



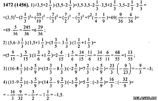
Задача № 1472

Ответы на задание



Задача № 1473

Ответьте на вопросы:

а) Какое число называют делителем данного числа? кратным данного числа? Приведите примеры. б) Какое число называют четным? Приведите примеры. в) Как формулируется признак делимости на 2? на 3? на 9? на 5? на 10? г) Какое число называют простым? составным? Приведите примеры. Является ли простым числом число 11? число 2? число 1? д) Какие числа называют взаимно простыми? Приведите примеры. Чему равны наибольший общий делитель и наименьшее общее кратное взаимно простых чисел?

Ответ на задачу



Задача № 1474

Сформулируйте основное свойство дроби. Приведите примеры использования основного свойства дроби

Ответ на задание и решение



Задача № 1475

Из натуральных чисел, расположенных между числами 11 и 43, выпишите те числа, которые: а) кратны числу 7; б) кратны числу 3;

Ответ на задачку

Фото: 7301347.jpg (18.7 Kb) · 3969258.jpg (74.2 Kb) · 0208267.jpg (89.2 Kb) · 1837414.jpg (32.8 Kb) · 3317788.jpg (23.1 Kb)
 
 
KADETДата: Четверг, 25.12.2014, 15:12 | Сообщение # 297
Генерал-майор
Группа: Проверенные
Сообщений: 337
Награды: 0
Репутация: 0
Статус: Offline


 
Работай из дома! 18+
 
 


Задача № 1476

Ответ на задание



Задача № 1477

Ответы на задание



Задача № 1478


Ответ на задачу



Задача № 1479

Верно ли, что:

а) сумма простых чисел есть число простое; б) произведение двух простых чисел есть число простое; в) произведение двух составных чисел есть число составное?

Ответ на задание и решение



Задача № 1480

При строительстве железной дороги перемещается грунт. Сколько потребуется ездок 25-тонных грузовиков, чтобы перевезти 220 млн м3 грунта, если масса одного кубометра грунта 2 1/2 т?

Ответ на задачку

Фото: 4833387.jpg (15.7 Kb) · 9251670.jpg (22.6 Kb) · 0611130.jpg (50.0 Kb) · 7261416.jpg (23.7 Kb) · 1734632.jpg (18.0 Kb)
 
 
KADETДата: Четверг, 25.12.2014, 15:14 | Сообщение # 298
Генерал-майор
Группа: Проверенные
Сообщений: 337
Награды: 0
Репутация: 0
Статус: Offline


 
Работай из дома! 18+
 
 


Задача № 1481

Сформулируйте и запишите с помощью букв:

а) свойства сложения рациональных чисел; б) свойства умножения рациональных чисел; в) свойства нуля при сложении; г) свойства 0 и 1 при умножении рациональных чисел. Придумайте примеры, в которых использование свойств арифметических действий упрощает вычисления.

Ответ на задание



Задача № 1482

Постройте столбчатую диаграмму сравнительной продолжительности жизни некоторых деревьев по следующим данным: баобаб — 5000 лет, кипарис — 3000 лет, кедр — 1200 лет, дуб — 1000 лет, сосна обыкновенная — 600 лет, береза — 250 лет, рябина — 80 лет.

Ответы на задание



Задача № 1483


Ответ на задачу



Задача № 1484

Валерий заболел. На рисунке 137 показано изменение температуры больного. Ответьте на вопросы:

а) Сколько дней у Валерия была повышенная температура? б) В какой день после начала болезни температура была самой высокой? в) В какие дни болезни температура повышалась? понижалась? г) В какие дни болезни температура Валерия была ниже 37 °С? д) В какой день температура Валерия была 36,6 °С?

Ответ на задание и решение



Задача № 1485

На рисунке 138 изображен график изменения температуры воздуха в течение суток. Определите по графику:

а) температуру воздуха в 4 ч; в 14 ч; в 22 ч; б) время суток, когда температура воздуха была равна 0 °С; 5 °С; -3 °С; в) промежутки времени, когда температура воздуха повышалась; понижалась; г) промежутки времени, когда температура воздуха была положительной; отрицательной.

Ответ на задачку

Фото: 7308761.jpg (57.4 Kb) · 0618479.jpg (18.3 Kb) · 8176073.jpg (45.9 Kb) · 9322926.jpg (28.3 Kb) · 2627589.jpg (30.6 Kb)
 
 
KADETДата: Четверг, 25.12.2014, 15:16 | Сообщение # 299
Генерал-майор
Группа: Проверенные
Сообщений: 337
Награды: 0
Репутация: 0
Статус: Offline


 
Работай из дома! 18+
 
 


Задача № 1486

По какому правилу выполняется:

а) сложение дробей с одинаковыми знаменателями; б) сложение дробей с разными знаменателями; в) умножение дробей; г) деление дробей; д) сравнение рациональных чисел; е) сложение рациональных чисел с одинаковыми знаками; с разныши знаками; ж) вычитание рациональных чисел; з) умножение рационшльных чисел с одинаковыми знаками; с разными знаками; и) деление рацшональ-ных чисел с одинаковыми знаками; с разными знаками; к) раскрытие скобок, перед которыми стоит знак +; знак -?

Ответ на задание



Задача № 1487

В каком порядке следует выполнять действия в выражении бед скобок, если в нем содержится по одному разу вычитание, возведение числа в куб и деление?

Ответы на задание



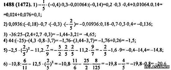
Задача № 1488


Ответ на задачу



Задача № 1489

Ответ на задание и решение



Задача № 1490

Ответ на задачку

Фото: 8866662.jpg (120.7 Kb) · 8637157.jpg (15.7 Kb) · 4522117.jpg (58.4 Kb) · 9876125.jpg (29.9 Kb) · 4407909.jpg (16.3 Kb)
 
 
KADETДата: Четверг, 25.12.2014, 15:18 | Сообщение # 300
Генерал-майор
Группа: Проверенные
Сообщений: 337
Награды: 0
Репутация: 0
Статус: Offline


 
Работай из дома! 18+
 
 


Задача № 1491

Ответ на задание



Задача № 1492

Ответы на задание



Задача № 1493

Здание Кремлевского дворца съездов в Москве имеет форму прямоугольного параллелепипеда длиной 120 м и общим объемом 369 600 м3. Найдите высоту здания над землей, если оно заглублено в землю на 15 м и длина здания больше его ширины в l 5/7 раза.

Ответ на задачу



Задача № 1494

Ответ на задание и решение



Задача № 1495

Приведите примеры:

а) отношения двух величин; б) верной пропорции и назовите ее крайние и средние члены; в) двух величин, зависимость между которыми прямо пропорциональная; г) двух величин, зависимость между которыми обратно пропорциональная.

Ответ на задачку




Продолжение решебника по Математике ...
Фото: 8189983.jpg (56.5 Kb) · 8770137.jpg (38.4 Kb) · 9810663.jpg (21.5 Kb) · 4845819.jpg (124.7 Kb) · 3348450.jpg (27.4 Kb)
 
 
Поиск:

Работай из дома! 18+
 
 
 
 
 
 

 
Последние темы на форуме:
 
  • Новогодние праздники 2021-2022 официальные выходные
  • Показатели давления и сердцебиения у женщины 57 лет
  • Гороскоп на декабрь 2021 Женщина Телец
  • Гороскоп на январь 2022 от Павла Глоба
  • Гороскоп на декабрь 2021 от Павла Глоба
  • Гороскоп на ноябрь 2021 от Павла Глоба
  • Стенограмма судьбы - Содержание серий, актеры и роли сериала
  • Мосгаз. Западня - Содержание серий, актеры и роли 2021
  • Тобол - Содержание серий, актеры и роли сериала. 2021
  • Гороскоп для Тигра на сегодня от Павла Глоба
  • Утраченные воспоминания - Содержание серий, актеры и роли
  • Чёрно-белая любовь - Содержание серий, актеры и роли сериала
  • Забытая женщина - Содержание серий, актеры и роли сериала
  • Тайна спящей дамы - Содержание серий, актеры и роли сериала
  • Сериал Часы с кукушкой - Содержание серий, актеры и роли
  •  
     

     
    Обращаем ваше внимание на то, что данный интернет-сайт www.kinolog.do.am носит исключительно информационный характер и ни при каких условиях не является публичной офертой, определяемой положениями Статьи 437 (2) Гражданского кодекса РФ. Цена и наличие товара может отличаться от действительной. Пожалуйста, уточняйте цены и наличие товара у наших менеджеров.
    Администрация сайта не несет ответственности за действия и содержание размещаемой информации пользователей: комментарии, материалы, сообщения и темы на форуме, публикации, объявления и т.д.
    Правообладателям | Реклама | Учебники | Политика
    Отопление, водоснабжение, газоснабжение, канализация © 2003 - 2021
    Рейтинг@Mail.ru Рейтинг арматурных сайтов. ARMTORG.RU Яндекс.Метрика