[ Новые сообщения · Участники · Правила форума · Поиск · RSS ]
 
Работай из дома! 18+

ГДЗ по Математике. 6 класс
KADETДата: Четверг, 25.12.2014, 15:21 | Сообщение # 301
Генерал-майор
Группа: Проверенные
Сообщений: 337
Награды: 0
Репутация: 0
Статус: Offline


 
Работай из дома! 18+
 
 




Задача № 1496

В чем состоит основное свойство пропорции? Придумайте примеры использования этого свойства пропорции: а) для доказательства, что пропорция верна; б) для решения уравнения.

Ответ на задание



Задача № 1497

а) Чему равно отношение длины окружности к ее диаметру? отношение площади круга к квадрату его радиуса? б) По какой формуле вычисляется длина окружности? площадь круга? в) Какое получится число при округлении числа п до сотых?

Ответы на задание



Задача № 1498

Ответ на задачу



Задача № 1499

Бригада проходчиков при строительстве тоннеля метро в течение недели ежедневно проходила по 0,8 м. За х дней длина тоннеля уве-личилась на у метров. Выразите у через х. Является ли зависимость у от х прямой пропорциональностью? Найдите значение у при х = 1; 3; 7.

Ответ на задание и решение



Задача № 1500

Площадь прямоугольника равна 12 см2. Длины сторон прямоугольника равны а см и & см. Найдите а, если Ъ = 2; 4; 6; 12. Найдите формулу зависимости а от &. Является ли эта зависимость обратно пропорциональной?

Ответ на задачку

Фото: 4479431.jpg (22.3 Kb) · 9091653.jpg (14.2 Kb) · 6670628.jpg (42.5 Kb) · 3561625.jpg (22.3 Kb) · 4947004.jpg (21.2 Kb)
 
 
KADETДата: Четверг, 25.12.2014, 15:24 | Сообщение # 302
Генерал-майор
Группа: Проверенные
Сообщений: 337
Награды: 0
Репутация: 0
Статус: Offline


 
Работай из дома! 18+
 
 


Задача № 1501

Ответ на задание



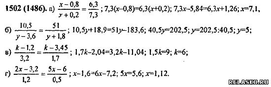
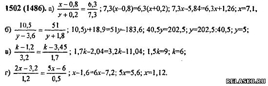
Задача № 1502

За 2- ч поезд прошел расстояние 330 км. Какой путь пройдет поезд за 7,5 ч, если будет идти с той же скоростью?

Ответы на задание



Задача № 1503

Масса муки составляет 0,7 массы выпеченного из нее хлеба Сколько получится хлеба, если взять 3 ц муки? Сколько муки надо взять, чтобы выпечь 100 кг хлеба?

Ответ на задачу



Задача № 1504

Начертите окружность, радиус которой 2,5 см, и отрезок, длин которого равна длине окружности (длину окружности округлите до десятых долей сантиметра).

Ответ на задание и решение



Задача № 1505

Сравните площадь круга, радиус которого 6 см, и площадь прямоугольника со сторонами 6,5 см и 1,4 дм.

Ответ на задачку

Фото: 0193419.jpg (18.2 Kb) · 6281217.jpg (40.8 Kb) · 6102868.jpg (19.4 Kb) · 9334319.jpg (19.6 Kb) · 6975153.jpg (21.2 Kb)
 
 
KADETДата: Четверг, 25.12.2014, 15:39 | Сообщение # 303
Генерал-майор
Группа: Проверенные
Сообщений: 337
Награды: 0
Репутация: 0
Статус: Offline


 
Работай из дома! 18+
 
 


Задача № 1506

Ответ на задание



Задача № 1507

Сформулируйте правило приведения подобных слагаемых.

Ответы на задание



Задача № 1508

Какие правила необходимо применять для решения уравнения:

Ответ на задачу



Задача № 1509

Ответ на задание и решение



Задача № 1510

Ответ на задачку

Фото: 1424422.jpg (19.6 Kb) · 3083627.jpg (40.8 Kb) · 5311233.jpg (35.0 Kb) · 1581858.jpg (19.6 Kb) · 0648003.jpg (36.0 Kb)
 
 
KADETДата: Четверг, 25.12.2014, 15:41 | Сообщение # 304
Генерал-майор
Группа: Проверенные
Сообщений: 337
Награды: 0
Репутация: 0
Статус: Offline


 
Работай из дома! 18+
 
 


Задача № 1511

Ответ на задание



Задача № 1512

Ответы на задание



Задача № 1513

Газовая туристская плитка и два баллона имеют массу 7 кг. Масса плитки меньше массы баллона на 2 кг. Найдите массу баллона.

Ответ на задачу



Задача № 1514

Кофейник и две чашки вмещают 740 г воды. В кофейник входит на 380 г воды больше, чем в чашку. Сколько граммов воды вмещает кофейник?

Ответ на задание и решение



Задача № 1515

За три дня было продано 830 кг апельсинов. Во второй день продали на 30 кг меньше, чем в первый, а в третий — в 3 раза больше, чем во второй. Сколько килограммов апельсинов было продано в первый день?

Ответ на задачку

Фото: 0114382.jpg (44.2 Kb) · 8748274.jpg (40.9 Kb) · 1795785.jpg (33.4 Kb) · 2886902.jpg (37.5 Kb) · 5791522.jpg (42.3 Kb)
 
 
KADETДата: Четверг, 25.12.2014, 15:43 | Сообщение # 305
Генерал-майор
Группа: Проверенные
Сообщений: 337
Награды: 0
Репутация: 0
Статус: Offline


 
Работай из дома! 18+
 
 


Задача № 1516

Велосипедист проехал 43 км. По проселочной дороге он проехал в 3 раза большее расстояние, чем по лесной тропинке, а по тропинке на 35 км меньше, чем по шоссе. Какой длины была каждая часть пути велосипедиста?

Ответ на задание



Задача № 1517

Ответы на задание



Задача № 1518

Площадь двух участков, засеянных кукурузой, равна 60 га. На одном участке с каждого гектара собрали 85 т зеленой массы, а на другом — 95 т. С первого участка собрали на 1500 т больше, чем со второго. Найдите площадь каждого участка.

Ответ на задачу



Задача № 1519

В одной силосной яме 110 т силоса, а в другой — 130 т. После того как из второй ямы взяли силоса в 2 раза больше, чем из первой, в первой оказалось на 5 т больше, чем во второй. Сколько тонн силоса взяли из каждой ямы?

Ответ на задание и решение



Задача № 1520

Периметр треугольника ABC равен 85 см. Сторона АВ меньше стороны ВС на 15 см, а сторона АС больше стороны АВ на 22 см. Найдите длину стороны ВС.

Ответ на задачку

Фото: 5611278.jpg (46.2 Kb) · 3530587.jpg (73.0 Kb) · 0359284.jpg (41.0 Kb) · 5245105.jpg (35.7 Kb) · 8632417.jpg (31.0 Kb)
 
 
KADETДата: Четверг, 25.12.2014, 15:45 | Сообщение # 306
Генерал-майор
Группа: Проверенные
Сообщений: 337
Награды: 0
Репутация: 0
Статус: Offline


 
Работай из дома! 18+
 
 


Задача № 1521

Сумма четырех последовательных целых чисел равна 2. Найдите эти числа.

Ответ на задание



Задача № 1522

Сумма пяти последовательных целых чисел равна -10. Найдите эти числа.

Ответы на задание



Задача № 1523

В летние каникулы я проехал на поезде на 120 км больше, чем проплыл на теплоходе. Если бы я проехал на поезде в 4 раза больше, а на теплоходе проплыл в 8 раз больше, чем в действительности, то общий путь составил бы 1200 км. Сколько километров я проплыл на теплоходе?

Ответ на задачу



Задача № 1524

Как найти:

а) дробь от числа; б) число по его дроби; в) масштаб карты; г) расстояние на местности по известному расстоянию на карте и масштабу карты?

Ответ на задание и решение



Задача № 1525

Длина дороги 25,5 км. За 5 дней бригада отремонтировала 3/5 дороги, ремонтируя ежедневно участки дороги одинаковой длины. Сколько километров дороги бригада ремонтировала за один день?

Ответ на задачку

Фото: 0533680.jpg (25.0 Kb) · 0165339.jpg (27.1 Kb) · 7971016.jpg (27.1 Kb) · 8458345.jpg (24.1 Kb) · 3698716.jpg (15.6 Kb)
 
 
KADETДата: Четверг, 25.12.2014, 15:48 | Сообщение # 307
Генерал-майор
Группа: Проверенные
Сообщений: 337
Награды: 0
Репутация: 0
Статус: Offline


 
Работай из дома! 18+
 
 


Задача № 1526

Решите двумя способами задачу:

а) В районе зерновыми культурами занято 52,5 км2. Рожь занимает 2/5 пшеница — 1/3 всех посевов. Остальную часть занимает ячмень. Сколько гектаров занимает ячмень?

б) Собрали 72,8 т фруктов. Половину этих фруктов отправили в магазины, четверть — в школы и детские сады, а остальные заложили на хранение поровну в 4 холодильника. Сколько тонн фруктов заложили в каждый холодильник?

Ответ на задание



Задача № 1527

В школе учатся 360 девочек. Сколько учащихся в школе, если мальчики составляют 52% всех учащихся?

Ответы на задание



Задача № 1528

Фермер снял с каждого из 9 га своей плантации 35 т овощей. Консервный завод купил 12% собранных фермером овощей. Сколько тонн овощей купил консервный завод у фермера?

Ответ на задачу



Задача № 1529

Для строительства железной дороги будет поставляться 70 тыс. т проката, из которых 50 тыс. т — прокат, устойчивый при низких температурах. Какой процент всего проката составит прокат, устойчивый при низких температурах?

Ответ на задание и решение



Задача № 1530

Жильцы дома решили озеленить свой двор. Они разбили газон площадью 250 м2. На каждые 100 м2 они высевали 1,2 кг смеси семян. В эту смесь входило: 1/5 мятлика лугового, 2/5 овсяницы и 40% райграса пастбищного.

Сколько семян каждого вида понадобилось?

Ответ на задачку

Фото: 4775169.jpg (131.9 Kb) · 5079175.jpg (16.4 Kb) · 3286240.jpg (20.3 Kb) · 2104510.jpg (18.9 Kb) · 6713780.jpg (25.0 Kb)
 
 
KADETДата: Четверг, 25.12.2014, 15:52 | Сообщение # 308
Генерал-майор
Группа: Проверенные
Сообщений: 337
Награды: 0
Репутация: 0
Статус: Offline


 
Работай из дома! 18+
 
 


Задача № 1531

Сколькими числами определяется положение точки:

а) на координатной прямой; б) на координатной плоскости? Как называют эти числа?

Ответ на задание



Задача № 1532

Постройте точки:

а) на координатной прямой: М (-3), if^l-gj, Р(-0,6); б) на координатной плоскости: В(-1; 4), С (0; 5), D(-2; 0). В упражнении б) назовите абсциссу и ординату каждой точки.

Ответы на задание



Задача № 1533

На координатной плоскости постройте треугольник ABC, если А(-3; 6), В (-3; -4), С (2; -4). Запишите координаты точек пересечения сторон треугольника с осями координат.

Ответ на задачу



Задача № 1534

На координатной плоскости начертите треугольник МКР, если М (-5; 5), К (-4; 9), Р(5; 10). Измерьте транспортиром углы этого треугольника.

Ответ на задание и решение



Задача № 1535

Постройте квадрат ABCD по координатам его вершин А (0; 3), В (3; 6), С (6; 3) и D (3; 0). Проведите отрезки АС и BD. Найдите координаты точки, в которой пересекаются эти отрезки.

Ответ на задачку

Фото: 2191399.jpg (21.8 Kb) · 9345431.jpg (26.6 Kb) · 7095184.jpg (19.5 Kb) · 4955096.jpg (16.3 Kb) · 3888045.jpg (26.1 Kb)
 
 
KADETДата: Четверг, 25.12.2014, 15:56 | Сообщение # 309
Генерал-майор
Группа: Проверенные
Сообщений: 337
Награды: 0
Репутация: 0
Статус: Offline


 
Работай из дома! 18+
 
 


Задача № 1536

На координатной плоскости начертите окружность с центром в точке С (-4; 0) и радиусом, равным 5 единичным отрезкам. Запишите координаты точек пересечения окружности с осями координат.

Ответ на задание



Задача № 1537

Отметьте на координатной плоскости вершины А (-4; 2), В (1; 7) и С (6; 2) квадрата ABCD. Найдите координаты вершины D.

Ответы на задание



Задача № 1538

Турист шел в гору со скоростью 3 км/ч. Пройденный им путь можно вычислить по формуле s = 3*t. Является ли зависимость пути, пройденного туристом, от времени прямой или обратной пропорциональной зависимостью? Составьте таблицу значений s для t = 1; 2; 3; 4; 5 ч. Постройте график движения туриста.

Ответ на задачу



Задача № 1539

Сумма двух чисел — 177. При делении большего из них на меньшее в частном получается 3 и в остатке 9. Найдите эти числа.

Ответ на задание и решение



Задача № 1540

От причала вниз по реке отправили плот, который двигался со скоростью 4 км/ч. Через 3 ч вслед за ним вышла лодка. Ее собственная скорость 9 км/ч. На каком расстоянии от причала лодка догонит плот?

Ответ на задачку

Фото: 2770466.jpg (16.6 Kb) · 1351210.jpg (20.2 Kb) · 0535880.jpg (39.3 Kb) · 8508457.jpg (27.0 Kb) · 3522010.jpg (36.0 Kb)
 
 
KADETДата: Четверг, 25.12.2014, 16:00 | Сообщение # 310
Генерал-майор
Группа: Проверенные
Сообщений: 337
Награды: 0
Репутация: 0
Статус: Offline


 
Работай из дома! 18+
 
 


Задача № 1541

Велосипедист и пешеход одновременно отправились навстречу друг другу из двух пунктов, расстояние между которыми 6,2 км. При встрече 11/20 оказалось, что пройденный пешеходом путь составляет зд пути, проделанного велосипедистом. Сколько часов был в пути велосипедист до встречи с пешеходом, если его скорость была на 4,5 км/ч больше скорости пешехода?

Ответ на задание



Задача № 1542

Расстояние между городами А и Б равно 450 км. Из А в В вышла грузовая автомашина. Спустя 2 ч, навстречу ей из В вышла легковая автомашина. Скорость грузовой автомашины 60 км/ч, а скорость легковой в 1 1/2 раза больше. Постройте графики движения обеих автомашин. Через сколько часов после своего выхода легковая автомашина встретит грузовую?

Ответы на задание



Задача № 1543

Какие прямые называют перпендикулярными? Какие отрезки считают перпендикулярными? Постройте такие отрезки. Какие лучи считают перпендикулярными? Постройте такие лучи.

Ответ на задачу



Задача № 1544

Какие прямые называют параллельными? Какие отрезки считают параллельными? Постройте три параллельные прямые.

Ответ на задание и решение



Задача № 1545

Начертите угол CDK, равный 130°. Отметьте точку М, не лежащую на сторонах этого угла, и проведите через точку М прямые, параллельные сторонам угла CDK.

Ответ на задачку

Фото: 7079026.jpg (73.1 Kb) · 0598536.jpg (40.4 Kb) · 7929984.jpg (30.4 Kb) · 6197572.jpg (23.2 Kb) · 3122845.jpg (20.2 Kb)
 
 
KADETДата: Четверг, 25.12.2014, 16:05 | Сообщение # 311
Генерал-майор
Группа: Проверенные
Сообщений: 337
Награды: 0
Репутация: 0
Статус: Offline


 
Работай из дома! 18+
 
 


Задача № 1546

Начертите угол АР К, равный 80°. Отметьте на стороне РА точку М и проведите через нее прямые, перпендикулярные сторонам угла АР К.

Ответ на задание



Задача № 1547

На координатной плоскости отметьте точки А (-5; 10), В(3; -6), С (-3; -4), D (9; 2), Е (-7; 4), F (3; 9), К (4; 5), Р (7; 14), М (-8; -4) и N (-6; 2).

Проведите прямые АВ, CD, EF, КР и MN. С помощью чертежного угольника и линейки определите, какие из этих прямых параллельны и какие перпендикулярны друг другу. Определите координаты точки пересечения прямой CD с осью х и координаты точки пересечения прямой КР с осью у.

Ответы на задание



Задача № 1548

Лесорубы заготовили 32 ООО м3 строительного леса. По реке сплавили 60% заготовленного леса, а остальной отправили по железной дороге. На сколько кубометров меньше леса отправили по железной дороге, чем по воде?

Ответ на задачу



Задача № 1549

На ремонт физкультурного зала было израсходовано 44 кг краски, что составляет 20% всей краски, отпущенной со склада на ремонт школы.

Сколько килограммов краски было на складе, если школе отпущено 12,5% имевшейся там краски?

Ответ на задание и решение



Задача № 1550

На сколько процентов изменится площадь прямоугольника с измерениями 30 см и 20 см, если большую сторону увеличить на 10%, а другую уменьшить на 10% ? Есть ли лишние данные в условии задачи?

Ответ на задачку

Фото: 5303967.jpg (19.8 Kb) · 4953749.jpg (16.7 Kb) · 7195367.jpg (22.8 Kb) · 5786325.jpg (21.0 Kb) · 4474735.jpg (30.2 Kb)
 
 
KADETДата: Четверг, 25.12.2014, 16:09 | Сообщение # 312
Генерал-майор
Группа: Проверенные
Сообщений: 337
Награды: 0
Репутация: 0
Статус: Offline


 
Работай из дома! 18+
 
 


Задача № 1551

После первого усовершенствования производительность станка возросла на 10%, а после второго — еще на 10%. На сколько процентов возросла производительность станка в результате двух усовершенствований?

Ответ на задание



Задача № 1552

За первый год было построено 8/27 дороги от колхоза к шоссе, за следующий год построили 4/9 дороги, а за третий год — остальные 5 1/4 км. Какой длины дорога?

Ответы на задание



Задача № 1553

В кафе в первый день продали 2/7 имевшегося сока, во второй 3/5 остатка. Сколько литров сока было в кафе, если во второй день продали 60 л?

Ответ на задачу



Задача № 1554

Фермер привез на мельницу 3 мешка пшеницы. В первый мешок вошло 5/18 всей полученной пшеницы, во второй — 1/3 всей пшеницы, а в третий — на 10 кг больше, чем во второй. Сколько килограммов пшеницы привез фермер на мельницу? Сколько килограммов муки получилось из этого зерна, если 9% ушло в отходы?

Ответ на задание и решение



Задача № 1555

Двум машинисткам было поручено перепечатать рукопись. Первая машинистка перепечатала 3/7 всей рукописи, а вторая — 5/14 всей рукописи. Сколько страниц было в рукописи, если первая машинистка перепечатала на 7 страниц больше, чем вторая? Вся ли рукопись была перепечатана?

Ответ на задачку

Фото: 7518707.jpg (24.7 Kb) · 3222597.jpg (24.3 Kb) · 9683608.jpg (20.7 Kb) · 7466248.jpg (31.0 Kb) · 8337971.jpg (30.1 Kb)
 
 
KADETДата: Четверг, 25.12.2014, 16:12 | Сообщение # 313
Генерал-майор
Группа: Проверенные
Сообщений: 337
Награды: 0
Репутация: 0
Статус: Offline


 
Работай из дома! 18+
 
 


Задача № 1556

Масло перелили из бака в 3 бидона. В первый бидон вошло 3/10 всего масла, во второй — 1/2 всего масла, а в третий — на 6 л меньше, чем в первый бидон. Сколько масла было в баке?

Ответ на задание



Задача № 1557

Типография израсходовала за два дня 60% всей полученной бумаги, причем во второй день было израсходовано бумаги в 1 1/5 раза больше, чем в первый день. Сколько бумаги израсходовала типография в первый день, если было получено 6 3/5 т бумаги?

Ответы на задание



Задача № 1558

За день было продано 75% всего завезенного картофеля. До обеденного перерыва было продано 5/7 картофеля, проданного после обеденного перерыва. Сколько картофеля продано до перерыва и сколько после перерыва, если было завезено 3 1/5 т картофеля?

Ответ на задачу



Задача № 1559

В классе за контрольную работу по математике 8 учеников получили оценку «5», 18 учеников — «4», 12 учеников — «3», а несколько учеников получили оценку «2». Сколько учеников получили оценку 2, если средний балл класса за контрольную работу равен 3,8?

Ответ на задание и решение



Задача № 1560

Ответ на задачку

Фото: 4746527.jpg (24.5 Kb) · 5559272.jpg (23.1 Kb) · 2835410.jpg (28.9 Kb) · 8394520.jpg (28.5 Kb) · 7708715.jpg (78.3 Kb)
 
 
KADETДата: Четверг, 25.12.2014, 16:14 | Сообщение # 314
Генерал-майор
Группа: Проверенные
Сообщений: 337
Награды: 0
Репутация: 0
Статус: Offline


 
Работай из дома! 18+
 
 


Задача № 1561

Ответ на задание



Задача № 1562

Ответы на задание



Задача № 1563


Ответ на задачу



Задача № 1564

Ответ на задание и решение



Задача № 1565

Запишите все делители числа 28 и числа 36.

Ответ на задачку

Фото: 4466491.jpg (40.1 Kb) · 4969977.jpg (40.3 Kb) · 1434316.jpg (88.3 Kb) · 8649939.jpg (53.9 Kb) · 2405547.jpg (18.4 Kb)
 
 
KADETДата: Четверг, 25.12.2014, 16:38 | Сообщение # 315
Генерал-майор
Группа: Проверенные
Сообщений: 337
Награды: 0
Репутация: 0
Статус: Offline


 
Работай из дома! 18+
 
 


Задача № 1566

Запишите все двузначные числа:

а) кратные числу 17; б) кратные числу 28.

Ответ на задание



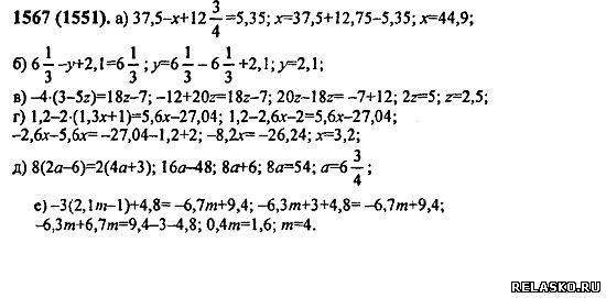
Задача № 1567

На первом катере было в 2 раза больше людей, чем на втором.

Когда на ближайшей пристани с первого катера сошли 98 человек, а со второго — 16 человек, то на обоих катерах людей стало поровну. Сколько человек было на каждом катере первоначально?

Ответы на задание



Задача № 1568

В одном элеваторе было зерна в 3 раза больше, чем в другом. Из первого элеватора вывезли 960 т зерна, а во второй привезли 240 т, после чего в обоих элеваторах зерна стало поровну.

Сколько тонн зерна было в каждом элеваторе первоначально?

Ответ на задачу



Задача № 1569

В одном элеваторе было зерна в 3 раза больше, чем в другом. Из первого элеватора вывезли 960 т зерна, а во второй привезли 240 т, после чего в обоих элеваторах зерна стало поровну. Сколько тонн зерна было в каждом элеваторе первоначально?

Ответ на задание и решение



Задача № 1570

На железнодорожной станции стояли два состава, причем в одном из них было в 2 раза больше вагонов, чем в другом. Когда от первого состава отцепили 14 вагонов и прицепили их ко второму составу, то вагонов в составах стало поровну. Сколько вагонов было в каждом составе?

Ответ на задачку




Продолжение решебника по Математике ...
Фото: 6326361.jpg (17.1 Kb) · 4342665.jpg (52.0 Kb) · 2673242.jpg (30.4 Kb) · 9203566.jpg (26.1 Kb) · 4090867.jpg (27.8 Kb)
 
 
Поиск:

Работай из дома! 18+
 
 
 
 
 
 

 
Последние темы на форуме:
 
  • Новогодние праздники 2021-2022 официальные выходные
  • Показатели давления и сердцебиения у женщины 57 лет
  • Гороскоп на декабрь 2021 Женщина Телец
  • Гороскоп на январь 2022 от Павла Глоба
  • Гороскоп на декабрь 2021 от Павла Глоба
  • Гороскоп на ноябрь 2021 от Павла Глоба
  • Стенограмма судьбы - Содержание серий, актеры и роли сериала
  • Мосгаз. Западня - Содержание серий, актеры и роли 2021
  • Тобол - Содержание серий, актеры и роли сериала. 2021
  • Гороскоп для Тигра на сегодня от Павла Глоба
  • Утраченные воспоминания - Содержание серий, актеры и роли
  • Чёрно-белая любовь - Содержание серий, актеры и роли сериала
  • Забытая женщина - Содержание серий, актеры и роли сериала
  • Тайна спящей дамы - Содержание серий, актеры и роли сериала
  • Сериал Часы с кукушкой - Содержание серий, актеры и роли
  •  
     

     
    Обращаем ваше внимание на то, что данный интернет-сайт www.kinolog.do.am носит исключительно информационный характер и ни при каких условиях не является публичной офертой, определяемой положениями Статьи 437 (2) Гражданского кодекса РФ. Цена и наличие товара может отличаться от действительной. Пожалуйста, уточняйте цены и наличие товара у наших менеджеров.
    Администрация сайта не несет ответственности за действия и содержание размещаемой информации пользователей: комментарии, материалы, сообщения и темы на форуме, публикации, объявления и т.д.
    Правообладателям | Реклама | Учебники | Политика
    Отопление, водоснабжение, газоснабжение, канализация © 2003 - 2021
    Рейтинг@Mail.ru Рейтинг арматурных сайтов. ARMTORG.RU Яндекс.Метрика