[ Новые сообщения · Участники · Правила форума · Поиск · RSS ]
 
Работай из дома! 18+

  • Страница 1 из 22
  • 1
  • 2
  • 3
  • 21
  • 22
  • »
ГДЗ по Математике. 6 класс
KADETДата: Вторник, 23.12.2014, 08:23 | Сообщение # 1
Генерал-майор
Группа: Проверенные
Сообщений: 337
Награды: 0
Репутация: 0
Статус: Offline


 
Работай из дома! 18+
 
 




ГДЗ по Математике. 6 класс

Авторы Н. Я. Виленкин, В. И. Жохов, А. С. Чесноков, С. И. Шварцбурд.

Решебник для школьников 6 класса. Готовые домашние задания с решениями и ответами из рабочей тетради.


Выберите номер задачи из учебника:

1-10 11-20 21-30 31-40 41-50 51-60 61-70 71-80 81-90 91-100

101-110 111-120 121-130 131-140 141-150 151-160 161-170 171-180 181-190 191-200

201-210 211-220 221-230 231-240 241-250 251-260 261-270 271-280 281-290 291-300

301-310 311-320 321-330 331-340 341-350 351-360 361-370 371-380 381-390 391-400

401-410 411-420 421-430 431-440 441-450 451-460 461-470 471-480 481-490 491-500

501-600 601-700 701-800 801-900 901-1000 1001-1100 1101-1200 1201-1300 1301-1400 1401-1500 1501-1600


Фото: 4599600.jpg (61.9 Kb) · 4448911.jpg (20.1 Kb)


 
 
KADETДата: Вторник, 23.12.2014, 08:32 | Сообщение # 2
Генерал-майор
Группа: Проверенные
Сообщений: 337
Награды: 0
Репутация: 0
Статус: Offline


 
Работай из дома! 18+
 
 


Задача № 1

На сколько равных кучек можно разложить 36 орехов?

Первая подсказка: Подумайте на какое число делиться число 36.

Вторая подсказка: Подумайте произведением каких чисел является число 36(вариантов несколько).

Совет: Уважаемые ребята, повторите таблицу умножения, она вам еще пригодиться.

Ответ на задание



Задача 2

В каждой коробке лежат 6 чайных ложек. Можно ли, не вскрывая коробок, взять: а) 42 ложки; б) 49 ложек?

СОВЕТ: Повторите таблицу умножение на 6.

Подсказка 1: Делиться ли число 42 на 6 без остатка. Делиться ли число 49 на 6 без остатка.

Подсказка 2: Можно ли умножить число 6 на какое-то число и получить 42. Можно ли умножить число 6 на какое-то число и получить 49.

Ответ на задание



Задача № 3

Верно ли, что:

а)5 — делитель 45;
б)16 — делитель 8;
в)17 — делитель 152;
г) 27 — кратное 3;
д) 6 — кратное 12;
е) 156 — кратное 13?

СОВЕТ: Перед решением повторите таблицу умножения.

Напоминание 1: Делителем называют число на которое другое число делиться без остатка
(например 2 делитель 6).

Напоминание 2: Кратным называют число которое делиться без остатка исходным числом
(например 6 кратно 2).

Ответ на задание



Задача № 4

Является ли число 15 делителем 105? Является ли делителем числа 105 частное 105:15?

Совет: перед решением задачи повторите таблицу умножения, а так же вспомните определение слова "делитель"(на странице четыре учебника "математика 6 класс виленкин")

Ответ на задание



Задача № 5

Выберите из чисел 15, 4, 6, 8, 10, 12, 14, 16 те, которые являются:

а) делителями 20;
б) кратными 4;
в) делителями 16 и кратными 4;
г) кратными 3 и делителями 18.

Ответ на задание


Фото: 9751173.jpg (25.2 Kb) · 2259191.jpg (29.3 Kb) · 4069313.jpg (28.7 Kb) · 5419998.jpg (20.2 Kb) · 0777253.jpg (21.1 Kb)
 
 
KADETДата: Вторник, 23.12.2014, 08:37 | Сообщение # 3
Генерал-майор
Группа: Проверенные
Сообщений: 337
Награды: 0
Репутация: 0
Статус: Offline


 
Работай из дома! 18+
 
 


Задача № 6

Напишите все делители числа: а) 6; б) 18; в) 25; г) 19

Ответ на задание



Задача № 7

Напишите все двузначные числа, кратные числу: а) 8; б) 11; в) 48; г) 99.

Совет: Перед решением задачи повторите что значит "кратные числа".

Ответ на задание



Задача № 8

В спортивном празднике участвовали 90 школьников. Могут ли они на заключительном параде построиться: в две одинаковые шеренги? в пять одинавоквых шеренг? в одиннадцать одинаковых шеренг? в колонну по шесть человек в ряд?

Ответ на задание



Задача № 9

Докажите, что число 70 525 кратно 217, а число 729 является делителем числа 225 261.

Ответ на задание



Задача № 10

На координатном луче отмечено число а (рис. 1). Отметьте на этом луче четыре числа, кратных числу а.

Ответ на задание

Фото: 3706040.jpg (22.3 Kb) · 8735206.jpg (24.0 Kb) · 4030049.jpg (26.5 Kb) · 9870365.jpg (16.0 Kb) · 6247693.jpg (17.5 Kb)
 
 
KADETДата: Вторник, 23.12.2014, 08:40 | Сообщение # 4
Генерал-майор
Группа: Проверенные
Сообщений: 337
Награды: 0
Репутация: 0
Статус: Offline


 
Работай из дома! 18+
 
 


Задача № 11

Проверьте, что каждое из чисел 6, 28, 496 равно сумме всех его делителей, не считая самого числа.

Ответ на задание



Задача № 12

Проверьте, что каждое из чисел 220 и 284 равно сумме делителей другого числа, не считая его самого.

Ответ на задание



Задача № 13

Докажите, что произведение двух натуральных чисел кратно каждому из множителей.

Ответ на задание



Задача № 14

На рисунке 2 изображен в натуральную величину один кадр фотопленки. Каких размеров получится фотография при пятикратном увеличении? Уместится ли изображение этого кадра при десятикратном увеличении на листе бумаги, размер которого 24 X 30 см?

Ответ на задание



Задача № 15

15. Вычислите устно:

а) 5 + 0,8;
0,23 + 7;
0,48 + 0,2;
0,6 + 0,34;
2,7 + 1,12;

б) 0,76 - 0,3;
2,54 - 2;
0,82 - 00,2;
0,63 - 0,6;
0,8 - 0,25;

в) 0,2 * 4;
2,1 * 3;
0,7 * 10;
0,5 * 2;
0,25 * 4;

г) 6:10;
0,8:2;
2,1:7;
0,5:10;
4,1:2.

Ответ на задание

Фото: 1701709.jpg (40.2 Kb) · 8464499.jpg (23.7 Kb) · 4774487.jpg (19.0 Kb) · 6000837.jpg (42.4 Kb) · 4542715.jpg (19.9 Kb)
 
 
KADETДата: Вторник, 23.12.2014, 08:44 | Сообщение # 5
Генерал-майор
Группа: Проверенные
Сообщений: 337
Награды: 0
Репутация: 0
Статус: Offline


 
Работай из дома! 18+
 
 


Задача № 16

Найдите пропущенные числа:

Ответ на задание



Задача № 17

На координатном луче отмечены числа 1 и m (рис. 3). С помощью циркуля отметьте на луче числа: m+1; m— 1;m + m.

Ответ на задание



Задача № 18

Даны три числовых выражения и три программы вычисления их значений на микрокалькуляторе. Укажите, какая программа соответствует каждому из данных выражений.

Ответ на задание



Задача № 19

Найдите неполное частное и остаток при делении:

а) 243 на 15;
б) 3629 на 12;
в) 1075 на 29;
г) 1632 на 51.

Ответ на задание



Задача № 20

Найдите остаток от деления:

а)273 на 10;
б)3785 на 2;
в)3843 на 5;
г)4236 на 5;
д)100 на 3;
е)1000 на 9.

Ответ на задание

Фото: 9670389.jpg (32.2 Kb) · 6935006.jpg (14.4 Kb) · 4413066.jpg (18.3 Kb) · 8770962.jpg (21.0 Kb) · 5369357.jpg (18.1 Kb)
 
 
KADETДата: Вторник, 23.12.2014, 08:48 | Сообщение # 6
Генерал-майор
Группа: Проверенные
Сообщений: 337
Награды: 0
Репутация: 0
Статус: Offline


 
Работай из дома! 18+
 
 


Задача № 21

При делении числа а на число b получили неполное частное с и остаток r. С помощью формулы а = bс+r заполните пустые клетки таблицы.

Ответ на задание



Задача № 22

Выполните действие:

Ответ на задание



Задача № 23

Государственные флаги многих стран состоят из горизонтальных или вертикальных полос разных цветов. Сколько могло бы быть различных государственных флагов, состоящих из двух горизонтальных полос одинаковой ширины и разного цвета — белого, красного и синего?

Ответ на задание



Задача № 24

Сколько существует флагов, составленных из трех горизонтальных полос одинаковой ширины и различных цветов — белого, зеленого, красного и синего? Есть ли среди этих флагов Государственный флаг Российской Федерации?

Ответ на задание



Задача № 25

Решите задачу:

1) В первом мешке было 54,4 кг крупы, во втором — в 1,7 раза меньше, чем в первом, а в третьем — на 2,6 кг больше, чем во втором. Сколько килограммов крупы было в трех мешках вместе?

2) На первую машину погрузили 4,5 т картофеля, на вторую — 1,4 раза больше, чем на первую, а на третью — на 1,6 т меньше, чем на вторую. Сколько тонн картофеля погрузили на все три машины вместе?

Ответ на задание

Фото: 0136449.jpg (27.1 Kb) · 5966719.jpg (32.9 Kb) · 6084099.jpg (20.0 Kb) · 7141884.jpg (38.8 Kb) · 3323390.jpg (36.7 Kb)
 
 
KADETДата: Вторник, 23.12.2014, 08:55 | Сообщение # 7
Генерал-майор
Группа: Проверенные
Сообщений: 337
Награды: 0
Репутация: 0
Статус: Offline


 
Работай из дома! 18+
 
 


Задача № 26

Найдите все делители числа 30 и запишите их в порядке возрастания.

Ответ на задание



Задача № 27

Выберите из чисел 14, 21, 31, 42, 51, 63, 68, 75 те, которые:
a) кратны 7; б) кратны 17; в) не кратны 8; г) не кратны 2.

Ответ на задание



Задача № 28

Выполните деление с остатком:
385 : 13; 548 : 12; 3710 : 30.

Ответ на задание



Задача № 29

Площадь первого поля 27,3 га. Площадь второго поля на 4,8 га меньше площади первого, а площадь третьего поля в 1,6 раза больше площади второго. Чему равна площадь всех трех полей вместе?

Ответ на задание



Задача № 30

Выполните действия:

а) 18,36 + 0,64 : 0,8;
б) 80•11 - 42 558 : 519;
в) 3,44 : 0,4 + 24,56;
г) 684 • 245 - 675 • 246.

Ответ на задание

Фото: 7053563.jpg (18.5 Kb) · 3026532.jpg (15.8 Kb) · 3648980.jpg (15.2 Kb) · 0473461.jpg (20.7 Kb) · 3952706.jpg (24.0 Kb)
 
 
KADETДата: Вторник, 23.12.2014, 09:04 | Сообщение # 8
Генерал-майор
Группа: Проверенные
Сообщений: 337
Награды: 0
Репутация: 0
Статус: Offline


 
Работай из дома! 18+
 
 


Задача № 31

Запишите натуральные числа от 1 до 30 в порядке возрастания и подчеркните красным карандашом каждое второе число, а синим — каждое пятое. Какие числа окажутся подчеркнуты красным карандашом, какие — синим? Какие числа подчеркнуты обоими цветами? Назовите числа, не делящиеся ни на 2, ни на 5.

Ответ на задание



Задача № 32

Назовите три числа, которые:

а) делятся на 2; в) делятся на 2 и на 5;
б) делятся на 5; г) не делятся ни на 2 и ни на 5.

Ответ на задание



Задача № 33

Назовите:

а) два четных числа, кратных 5;
б) два нечетных числа, кратных 5;
в) два четных числа, которые не делятся на 5 г) два нечетных числа, которые не делятся на 5.

Ответ на задание



Задача № 34

Какие из чисел 200, 320, 3000, 50 000, 861, 76 540 делятся на 100? Какие из них делятся на 1000?

Сформулируйте признаки делимости на 100, на 1000.

Ответ на задание



Задача № 35

Напишите все трехзначные числа, в запись которых входят лишь цифры 0, 2, 5 и которые:

а) делятся на 2; б) делятся на 5.

Ответ на задание

Фото: 7491568.jpg (36.2 Kb) · 5294799.jpg (19.9 Kb) · 7659720.jpg (17.1 Kb) · 0984754.jpg (25.3 Kb) · 8508984.jpg (22.0 Kb)
 
 
KADETДата: Вторник, 23.12.2014, 09:07 | Сообщение # 9
Генерал-майор
Группа: Проверенные
Сообщений: 337
Награды: 0
Репутация: 0
Статус: Offline


 
Работай из дома! 18+
 
 


Задача № 36

Коля принес несколько коробок с яйцами, по 10 яиц в каждой коробке. Может ли быть, что он принес 35 яиц? 43 яйца? 50 яиц?

Ответ на задание



Задача № 37

Купили 5 одинаковых коробок цветных карандашей. Может ли в них оказаться: всего 92 карандаша? 90 карандашей? 75 карандашей?

Ответ на задание



Задача № 38

Подставьте в таблицу подходящие значения a и b и сделайте вывод четности или нечетности результата действия..

Ответ на задание



Задача № 39

Можно ли, используя только цифры 3 и 4, записать:

a)число, которое делится на 10;
в) число, кратное 5;
б)четное число;
г) нечетное число?

Ответ на задание



Задача № 40

Какие числа, кратные 5, удовлетворяют неравенству:

64 < х < 78;

в) 24 < у < 49;
б)405 < х < 450;
г) 1 < у < 30?

Ответ на задание

Фото: 0975706.jpg (14.8 Kb) · 6004128.jpg (16.7 Kb) · 8738557.jpg (46.9 Kb) · 8694425.jpg (30.7 Kb) · 4796414.jpg (19.8 Kb)
 
 
KADETДата: Вторник, 23.12.2014, 09:10 | Сообщение # 10
Генерал-майор
Группа: Проверенные
Сообщений: 337
Награды: 0
Репутация: 0
Статус: Offline


 
Работай из дома! 18+
 
 


Задача № 41

Вычислите устно

Ответ на задание



Задача № 42

Какие различные натуральные числа надо вписать в кружки (рис. 4), чтобы произведение каждых двух чисел, помещенных в кружках, соединенных отрезком, равнялось 70? Подумайте, как можно назвать набор чисел, оказавшихся в кружках.

Ответ на задание



Задача № 43

Если к числу прибавить 4, то полученное число целится без остатка на 6. Чему равен остаток от деления первого числа на 6?

Ответ на задание



Задача № 44

На микрокалькуляторе по программе 12 + = получен результат 24. Попробуйте объяснить, почему получилось такое число. Подумайте, какие числа будут появляться на индикаторе после каждого нажатия клавиши = при выполнении программы: 8 + = = = = =

Ответ на задание



Задача № 45

Подтвердите примерами следующее свойство суммы: а) если каждое слагаемое кратно числу а, то и сумма кратна числу а; б) если только одно слагаемое суммы не кратно числу а, то сумма не кратна числу а.

Ответ на задание

Фото: 6423214.jpg (20.8 Kb) · 6723516.jpg (29.4 Kb) · 7862829.jpg (15.6 Kb) · 6079036.jpg (14.5 Kb) · 9604008.jpg (22.2 Kb)


 
 
KADETДата: Вторник, 23.12.2014, 09:15 | Сообщение # 11
Генерал-майор
Группа: Проверенные
Сообщений: 337
Награды: 0
Репутация: 0
Статус: Offline


 
Работай из дома! 18+
 
 


Задача № 46

Назовите наименьший и наибольший делители числа 24. Назовите наименьшее кратное числу 24. Есть ли у этого числа наибольшее кратное? Назовите какое-нибудь число, кратное и 5, и 12.

Ответ на задание



Задача № 47

Запишите все двузначные числа, являющиеся:

а) делителями 100;
б) кратными 25;
в) делителями 100 и кратными 25.

Ответ на задание



Задача № 48

Число b является делителем числа а. Докажите, что частное от деления а на b также является делителем числа а. Проверьте это утверждение, если а = 18, a b = 3.

Ответ на задачу



Задача № 49

Докажите, что:

а) если а кратно b, а b кратно с, то а кратно с;
б) если а и b делятся на 6, то и а + b делится на 6.

Ответ на задание



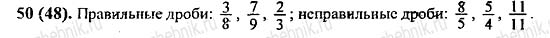
Задача № 50

Какие из дробей являются правильными и какие — неправильными?

Ответы на задачку

Фото: 1358506.jpg (25.8 Kb) · 2388049.jpg (22.6 Kb) · 5683885.jpg (23.7 Kb) · 5127449.jpg (24.1 Kb) · 3624173.jpg (16.3 Kb)
 
 
KADETДата: Вторник, 23.12.2014, 09:18 | Сообщение # 12
Генерал-майор
Группа: Проверенные
Сообщений: 337
Награды: 0
Репутация: 0
Статус: Offline


 
Работай из дома! 18+
 
 


Задача № 51

При каких натуральных значениях а дробь будет правильной. И при каких натуральных значениях b дробь будет неправильной?

Ответ на задание



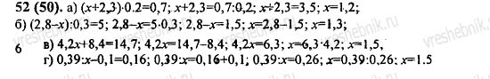
Задача № 52

Решите уравнение:

а) (х + 2,3) • 0,2 = 0,7; в) 4,2х + 8,4 = 14,7;
б) (2,8 - х) : 0,3 = 5; г) 0,39 : х - 0,1 = 0,16.

Ответы на задание



Задача № 53

На уроке физкультуры Андрей, Марат, Костя, Саша, Петя и Сережа готовятся к прыжкам в высоту.

а) Сколькими способами можно установить для них очередность прыжков?
б) Сколькими способами можно установить очередность прыжков, если начинают обязательно Костя или Саша?

Ответ на задачу



Задача № 54

Решите задачу:

1) Я задумал число. Если его увеличить в 11 раз и результат уменьшить на 2,75, то получится 85,25. Какое число я задумал?
2) Я задумал число. Если его увеличить на 9,2 и результат увеличить 11 раз, то получится 110. Какое число я задумал?

Ответ на задание



Задача № 55

Найдите среди чисел 154, 161, 174, 178, 191, 315, 320, 346, 425, 75 числа:

a)кратные 2; б) кратные 5; в) кратные 10; г) нечетные.

Ответ на задачку

Фото: 5590870.jpg (20.5 Kb) · 6205734.jpg (28.6 Kb) · 3119023.jpg (20.2 Kb) · 3905008.jpg (24.8 Kb) · 1675349.jpg (18.2 Kb)
 
 
KADETДата: Вторник, 23.12.2014, 09:20 | Сообщение # 13
Генерал-майор
Группа: Проверенные
Сообщений: 337
Награды: 0
Репутация: 0
Статус: Offline


 
Работай из дома! 18+
 
 


Задача № 56

Напишите: все четные числа, большие 10 и меньшие 21; все нечетные числа, большие 12, но меньшие 23.

Ответ на задание



Задача № 57

Напишите три четырехзначных числа, кратных 5.

Ответы на задание



Задача № 58

Выберите из дробей сначала все правильные дроби, а затем неправильные.

Ответ на задачу



Задача № 59

Решите уравнение:

а)(4,9 - х) : 1,2 = 3; б) 3,8 • (х - 0,2) = 2,28.

Ответ на задание



Задача № 60

Найдите значение выражения:

а) (93 • 7 + 141) : 72;
б) (357 - 348 : 6) * 4;
в) 7091 + 9663 - (243 916 + 75 446) : 527 : 3;
г) 8607 + 7605 + (376 012 - 83 314) : 414 : 7.

Ответ на задачку

Фото: 6241549.jpg (17.0 Kb) · 6293997.jpg (21.9 Kb) · 8393449.jpg (19.5 Kb) · 5798885.jpg (23.1 Kb) · 7905443.jpg (42.7 Kb)
 
 
KADETДата: Вторник, 23.12.2014, 09:30 | Сообщение # 14
Генерал-майор
Группа: Проверенные
Сообщений: 337
Награды: 0
Репутация: 0
Статус: Offline


 
Работай из дома! 18+
 
 


Задача № 61

Какие из чисел 75 432, 2 772 825, 5 402 070 делятся на 3? Какие из них делятся на 9?

Ответ на задание



Задача № 62

Запишите какие-нибудь три четырехзначных числа, которые делятся на 9.

Ответы на задание



Задача № 63

Какие цифры следует поставить вместо звездочек в записи 2*5, 46*, *14, чтобы получившиеся числа делились на 3?

Ответ на задачу



Задача № 64

Напишите три числа, записанные только с помощью:

а) цифры 1, которые делятся на 3;
б) цифры 6, которые делятся на 9.

Ответ на задание



Задача № 65

Любое ли число, которое оканчивается цифрой 3, делится на 3?

Ответ на задачку

Фото: 8389763.jpg (25.7 Kb) · 4119390.jpg (19.2 Kb) · 1763584.jpg (19.3 Kb) · 7551759.jpg (22.6 Kb) · 2474263.jpg (15.4 Kb)


 
 
KADETДата: Вторник, 23.12.2014, 09:33 | Сообщение # 15
Генерал-майор
Группа: Проверенные
Сообщений: 337
Награды: 0
Репутация: 0
Статус: Offline


 
Работай из дома! 18+
 
 


Задача № 66

Мама принесла детям три одинаковых подарка. Может ли быть, что во всех подарках было 25 конфет? 75 конфет? 63 конфеты?

Ответ на задание



Задача № 67

В каждом стойле коровника 9 коров. Может ли быть, что всего в коровнике 542 коровы? 288 коров?

Ответы на задание



Задача № 68

Собрали 2 ц яблок и часть из них разложили по 9 одинаковых ящиков. Могло ли после этого остаться: 60 кг? 56 кг яблок?

Ответ на задачу



Задача № 69

Вычислите устно:

Ответ на задание



Задача № 70

Найдите пропущенные числа

Ответ на задачку



Продолжение решебника по математике...

Фото: 7487115.jpg (16.8 Kb) · 6598559.jpg (14.6 Kb) · 7468696.jpg (19.0 Kb) · 4781371.jpg (19.9 Kb) · 6178461.jpg (23.4 Kb)


 
 
  • Страница 1 из 22
  • 1
  • 2
  • 3
  • 21
  • 22
  • »
Поиск:

Работай из дома! 18+
 
 
 
 
 
 

 
Последние темы на форуме:
 
  • Новогодние праздники 2021-2022 официальные выходные
  • Показатели давления и сердцебиения у женщины 57 лет
  • Гороскоп на декабрь 2021 Женщина Телец
  • Гороскоп на январь 2022 от Павла Глоба
  • Гороскоп на декабрь 2021 от Павла Глоба
  • Гороскоп на ноябрь 2021 от Павла Глоба
  • Стенограмма судьбы - Содержание серий, актеры и роли сериала
  • Мосгаз. Западня - Содержание серий, актеры и роли 2021
  • Тобол - Содержание серий, актеры и роли сериала. 2021
  • Гороскоп для Тигра на сегодня от Павла Глоба
  • Утраченные воспоминания - Содержание серий, актеры и роли
  • Чёрно-белая любовь - Содержание серий, актеры и роли сериала
  • Забытая женщина - Содержание серий, актеры и роли сериала
  • Тайна спящей дамы - Содержание серий, актеры и роли сериала
  • Сериал Часы с кукушкой - Содержание серий, актеры и роли
  •  
     

     
    Обращаем ваше внимание на то, что данный интернет-сайт www.kinolog.do.am носит исключительно информационный характер и ни при каких условиях не является публичной офертой, определяемой положениями Статьи 437 (2) Гражданского кодекса РФ. Цена и наличие товара может отличаться от действительной. Пожалуйста, уточняйте цены и наличие товара у наших менеджеров.
    Администрация сайта не несет ответственности за действия и содержание размещаемой информации пользователей: комментарии, материалы, сообщения и темы на форуме, публикации, объявления и т.д.
    Правообладателям | Реклама | Учебники | Политика
    Отопление, водоснабжение, газоснабжение, канализация © 2003 - 2021
    Рейтинг@Mail.ru Рейтинг арматурных сайтов. ARMTORG.RU Яндекс.Метрика