[ Новые сообщения · Участники · Правила форума · Поиск · RSS ]
 
Работай из дома! 18+

ГДЗ по Математике. 5 класс
БрошкаДата: Вторник, 30.12.2014, 11:18 | Сообщение # 346
Генерал-майор
Группа: Проверенные
Сообщений: 378
Награды: 0
Репутация: 0
Статус: Offline


 
Работай из дома! 18+
 
 




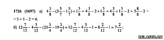
Задача № 1726

Выполните действия:

Ответ на задание



Задача № 1727

В коробку положили 15 конфет «Маска», 20 конфет «Ромашка» и 40 ирисок. Какую часть всех конфет составляют конфеты каждого сорта?

Ответы на задание



Задача № 1728

Сколькими способами 4 пассажира могут разместиться в четырехместном купе поезда?

Ответ на задачу



Задача № 1729

Мастерская за месяц должна сшить 38 костюмов. В первую неделю было сшито 7 костюмов, во вторую — 11 костюмов. Какую часть всех костюмов осталось сшить?

Ответ на задание



Задача № 1730

За месяц завод должен отгрузить 42 вагона продукции. В первую неделю отгрузили 12 вагонов, во вторую неделю — 8 вагонов. Какую часть всех вагонов осталось отгрузить заводу?

Ответ на задачку

Фото: 7070022.jpg (26.8 Kb) · 5414435.jpg (23.9 Kb) · 1487599.jpg (15.6 Kb) · 9042575.jpg (25.5 Kb) · 3339855.jpg (23.4 Kb)


 
 
БрошкаДата: Вторник, 30.12.2014, 11:23 | Сообщение # 347
Генерал-майор
Группа: Проверенные
Сообщений: 378
Награды: 0
Репутация: 0
Статус: Offline


 
Работай из дома! 18+
 
 


Задача № 1731

Длина одной стороны четырехугольника составляет 3/11 его периметра, длина другой — 4/11 периметра, а сумма длин этих сторон равна 28 см. Найдите периметр четырехугольника.

Ответ на задание



Задача № 1732

Число лет сына составляет 2/11 числа лет отца, а число лет дочери 511 числа лет отца. Сколько лет отцу, если сыну и дочери вместе 28 лет?

Ответы на задание



Задача № 1733

В палатку привезли 1260 кг картофеля. В первый день было продано 2/3 всего картофеля, во второй день — 5/7 остатка. Сколько килограммов картофеля осталось после двух дней продажи?

Ответ на задачу



Задача № 1734

Приняв за единичный отрезок длину 10 клеток тетради, отметьте на луче точки, координаты которых равны:

Ответ на задание



Задача № 1735

Назовите какое-нибудь значение координаты точки С, лежащей на координатном луче между точками А и Б, если:

Ответ на задачку

Фото: 8567350.jpg (22.0 Kb) · 6929053.jpg (23.1 Kb) · 6415639.jpg (27.0 Kb) · 7853771.jpg (25.5 Kb) · 5689396.jpg (18.4 Kb)
 
 
БрошкаДата: Вторник, 30.12.2014, 11:27 | Сообщение # 348
Генерал-майор
Группа: Проверенные
Сообщений: 378
Награды: 0
Репутация: 0
Статус: Offline


 
Работай из дома! 18+
 
 


Задача № 1736

Как на координатном луче расположены точки А(х) и В(у), если: а) х > у; б) х = у; в) х < у?

Ответ на задание



Задача № 1737

Как сравнить:

а) четырехзначное и пятизначное натуральные числа;
б) два шестизначных числа, первое из которых начинается цифрой 7, а второе — цифрой 5;
в) натуральное число и 0;
г) обыкновенные дроби с одинаковыми знаменателями;
д) десятичные дроби с разными целыми частями;
е) десятичные дроби с одинаковыми целыми частями?

Ответы на задание



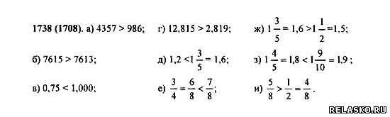
Задача № 1738

Сравните числа:

Ответ на задачу



Задача № 1739

Приведите примеры округления:

а) натурального числа до тысячи;
б) десятичной дроби до единиц;
в) десятичной дроби до сотых.

Ответ на задание



Задача № 1740

Как найти среднее арифметическое нескольких чисел? Как найти среднюю скорость?

Ответ на задачку

Фото: 1819864.jpg (18.9 Kb) · 8778525.jpg (46.6 Kb) · 2924265.jpg (29.1 Kb) · 4693600.jpg (24.2 Kb) · 6614185.jpg (25.7 Kb)
 
 
БрошкаДата: Вторник, 30.12.2014, 11:31 | Сообщение # 349
Генерал-майор
Группа: Проверенные
Сообщений: 378
Награды: 0
Репутация: 0
Статус: Offline


 
Работай из дома! 18+
 
 


Задача № 1741

Вычислите устно:

Ответ на задание



Задача № 1742

На рисунке 188 изображена шкала расстояний от города А до города В. Каждое деление шкалы соответствует расстоянию 20 км. Точками М, N, P, отмечены расстояния, которые прошла автомашина через каждый час, двигаясь из города А в город В. Определите: а) чему равно расстояние от города А до города В; б) какое расстояние прошла автомашина за первые два часа; за вторые два часа; в) на каком расстоянии от города В была автомашина через 2 ч после выхода из города А; г) какое расстояние прошла автомашина за 3 ч; д) с какой средней скоростью шла автомашина в первые 2 ч; во вторые 2 ч.

Ответы на задание



Задача № 1743

Какую дробь называют десятичной? Приведите примеры таких дробей и назовите по порядку первые четыре разряда, стоящие в десятичной дроби справа от запятой. Изменится ли десятичная дробь, если к ней справа приписать один или несколько нулей? Как представить обыкновенную дробь в виде десятичной? Приведите пример.

Ответ на задачу



Задача № 1744

По какому правилу выполняется: а) сложение (вычитание) обыкновенных дробей с одинаковыми знаменателями; б) сложение (вычитание) десятичных дробей; в) умножение десятичных дробей; г) умножение десятичной дроби на 10, 100, 1000 и т. д.; д) деление десятичной дроби на натуральное число; е) деление числа на десятичную дробь; ж) умножение десятичной дроби на 0,1; 0,01; 0,001 и т. д.; з) деление десятичной дроби на 10, 100, 1000 и т. д.; и) деление десятичной дроби на 0,1; 0,01; 0,001 и т. д.?

Ответ на задание



Задача № 1745

Найдите значение выражения:

Ответ на задачку

Фото: 3630733.jpg (35.3 Kb) · 7828818.jpg (31.3 Kb) · 1158432.jpg (36.3 Kb) · 8047432.jpg (65.1 Kb) · 8351806.jpg (58.9 Kb)
 
 
БрошкаДата: Вторник, 30.12.2014, 11:39 | Сообщение # 350
Генерал-майор
Группа: Проверенные
Сообщений: 378
Награды: 0
Репутация: 0
Статус: Offline


 
Работай из дома! 18+
 
 


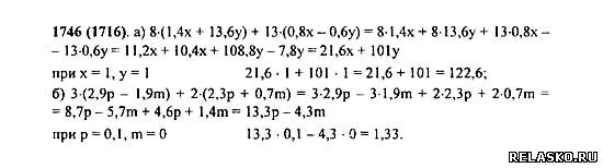
Задача № 1746

Вычислите в арах площадь участка изображенного на участке:

Ответ на задание



Задача № 1747

Надо было перевезти 51 т зерна. Зерно перевозили в машине с двумя прицепами. Сколько сделали поездок, если в кузов машины входило 4,8 т зерна, а в каждый из прицепов — 2,7 т?

Ответы на задание



Задача № 1748

За первые 14 рабочих дней завод изготовил 560 стиральных машин, а затем стал изготавливать в день на 5 машин больше. Сколько машин выпустил завод за 20 рабочих дней?

Ответ на задачу



Задача № 1749

Отцу 40 лет, сыну 5 лет. Во сколько раз отец будет старше сына через 2 года? На сколько лет отец старше сына сейчас и на сколько лет будет старше через 2 года?

Ответ на задание



Задача № 1750

В классе 7 человек хорошо умеют плавать. Сколькими способами из них можно составить команду из трех человек для участия в школьных соревнованиях?

Ответ на задачку

Фото: 4319956.jpg (35.3 Kb) · 7318899.jpg (23.4 Kb) · 7907943.jpg (28.1 Kb) · 6915412.jpg (25.9 Kb) · 0339014.jpg (16.0 Kb)
 
 
БрошкаДата: Вторник, 30.12.2014, 11:44 | Сообщение # 351
Генерал-майор
Группа: Проверенные
Сообщений: 378
Награды: 0
Репутация: 0
Статус: Offline


 
Работай из дома! 18+
 
 


Задача № 1751

По какому правилу находится: а) неизвестное слагаемое; г) неизвестный множитель; б) неизвестное уменьшаемое; д) неизвестное делимое; в) неизвестное вычитаемое; е) неизвестный делитель?

Ответ на задание



Задача № 1752

Решите уравнение:

Ответы на задание



Задача № 1753

В одном пакете 3 яблока и 10 слив, а в другом — 3 яблока и 15 слив. Какова масса одного яблока и какова масса одной сливы, если масса первого пакета 0,5 кг, а масса второго 0,6 кг?

Ответ на задачу



Задача № 1754

Масса деревянного бруска объемом 4 дм3 равна 2,8 кг. На сколько килограммов масса стального бруска такого же объема больше, если известно, что масса стального бруска объемом 3 дм3 равна 23,4 кг?

Ответ на задание



Задача № 1755

В трамвае ехало в 3 раза больше женщин, чем мужчин. Когда на остановке вышли двое мужчин и семь женщин, а вошли четверо мужчин и одна женщина, пассажиров стало 36. Сколько женщин было в трамвае до этой остановки?

Ответ на задачку

Фото: 8707662.jpg (31.1 Kb) · 2975243.jpg (42.0 Kb) · 2878797.jpg (32.2 Kb) · 0554323.jpg (25.2 Kb) · 6230429.jpg (24.2 Kb)
 
 
БрошкаДата: Вторник, 30.12.2014, 11:47 | Сообщение # 352
Генерал-майор
Группа: Проверенные
Сообщений: 378
Награды: 0
Репутация: 0
Статус: Offline


 
Работай из дома! 18+
 
 


Задача № 1756

Масса слонихи вместе со слоненком равна 7,2 т. Какую массу имеет слоненок, если он легче слонихи в 5 раз?

Ответ на задание



Задача № 1757

Саша спросил Сеню: «Сколько тебе лет?» Сеня ответил: «Если число моих лет увеличить в 3 раза, а потом уменьшить на 17, то получится 16 лет». Сколько лет Сене?

Ответы на задание



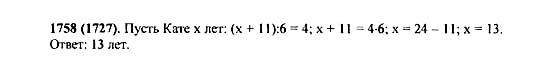
Задача № 1758

Если число лет Кати увеличить на 11 и полученный результат уменьшить в 6 раз, то будет 4. Сколько лет Кате?

Ответ на задачу



Задача № 1759

В одни из суток года день на 40 мин длиннее ночи. Сколько времени длилась ночь в эти сутки?

Ответ на задание



Задача № 1760

На чтение девочка потратила в 3 раза меньше времени, чем на прогулку. Сколько времени заняла прогулка, если она продолжалась на 40 мин больше, чем чтение?

Ответ на задачку

$IMAGE5$
Фото: 5519985.jpg (21.5 Kb) · 5412312.jpg (18.6 Kb) · 2911308.jpg (19.7 Kb) · 1673662.jpg (24.9 Kb)
 
 
БрошкаДата: Вторник, 30.12.2014, 11:49 | Сообщение # 353
Генерал-майор
Группа: Проверенные
Сообщений: 378
Награды: 0
Репутация: 0
Статус: Offline


 
Работай из дома! 18+
 
 


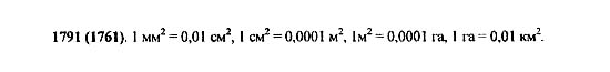
Задача № 1761

Что называется процентом? Как найти один процент числа? Как найти несколько процентов числа?

Ответ на задание



Задача № 1762

На складе было 3,2 т риса. 80% всего риса отправили в магазин и палатку, причем в магазин отправили на 1,28 т больше, чем в палатку. Сколько риса отправили в палатку?

Ответы на задание



Задача № 1763

На дровяном складе продали в первый день 17% всех дров, во второй день — 18%, а в третий — лишь 5% всех дров. После этого на складе осталось 6000 м3 дров. Сколько кубических метров дров было на складе и сколько продали в первый день?

Ответ на задачу



Задача № 1764

Какие отрезки, лучи и прямые на рисунке 189 пересекаются? Какие из этих фигур пересекают окружность?

Ответ на задание



Задача № 1765

Выполните рисунки: а) начертите отрезок и отметьте точку, лежащую на отрезке, и точку, не лежащую на нем; б) начертите прямую и отметьте на ней точку М; ответьте, как называются части, на которые точка М делит прямую; в) начертите отрезок и луч так, чтобы они не пересекались; чтобы отрезок лежал на луче; чтобы отрезок и луч имели одну общую точку; г) начертите угол и прямую так, чтобы прямая пересекала только одну сторону угла

Ответ на задачку

Фото: 7585687.jpg (22.3 Kb) · 0891443.jpg (27.1 Kb) · 5738610.jpg (27.7 Kb) · 9117797.jpg (26.6 Kb) · 3892052.jpg (29.3 Kb)
 
 
БрошкаДата: Вторник, 30.12.2014, 11:53 | Сообщение # 354
Генерал-майор
Группа: Проверенные
Сообщений: 378
Награды: 0
Репутация: 0
Статус: Offline


 
Работай из дома! 18+
 
 


Задача № 1766

Можно ли сравнить: а) два отрезка, зная их длины; б) два угла, зная их градусные меры?

Ответ на задание



Задача № 1767

На луче РК взята точка М так, что РМ = 5 см. Сколько отрезков длиной 3 см можно отложить на луче от точки М? Сколько отрезков длиной 7 см можно отложить на луче от точки М?

Ответы на задание



Задача № 1768

На прямой отмечены точки А, В, С и D (рис. 190) так, что АВ= CD. Поставьте вместо звездочки знак <, > или = так, чтобы для длин отрезков получилось верное равенство или неравенство: а) ВА * DC; в) АС * BD; б) АС * СВ; г) AD * БС.

Ответ на задачу



Задача № 1769

На отрезке MN отмечены две точки С и D так, что точка С лежит между точками N и D. Найдите длину отрезка MN, если DC = 2 см, DN = 6 см, МС = 5 см.

Ответ на задание



Задача № 1770

Стороны многоугольника ABCDE равны: АВ = 6,4 см, ВС = 5 см, CD = 6,3 см, DE = 5,8 см и АЕ = 3 см. Найдите периметр этого многоугольника. Как называется такой многоугольник? Что такое периметр многоугольника?

Ответ на задачку

Фото: 3422362.jpg (23.7 Kb) · 1824267.jpg (21.0 Kb) · 4627438.jpg (18.2 Kb) · 3219876.jpg (20.5 Kb) · 0719022.jpg (22.9 Kb)
 
 
БрошкаДата: Вторник, 30.12.2014, 11:56 | Сообщение # 355
Генерал-майор
Группа: Проверенные
Сообщений: 378
Награды: 0
Репутация: 0
Статус: Offline


 
Работай из дома! 18+
 
 


Задача № 1771

С помощью какого инструмента можно найти: а) длину отрезка; б) градусную меру угла? В каких единицах измеряются эти величины?

Ответ на задание



Задача № 1772

Начертите острый угол ВСЕ и тупой угол DAK и определите их градусные меры. Начертите прямой угол Р и развернутый угол М. Какова градусная мера прямого угла? развернутого угла? Какую часть развернутого угла составляет угол в 1°?

Ответы на задание



Задача № 1773

Начертите угол MOК в 160°. Проведите луч О В так, чтобы он разделил угол МОК пополам. Как называется такой луч?

Ответ на задачу



Задача № 1774

Начертите четырехугольник ABCD, у которого A = 40°, B =- 140°, C = 50°. Измерьте величину угла D.

Ответ на задание



Задача № 1775

Угол АОВ на рисунке 191 разделен на 5 равных углов. Назовите углы, которые составляют 3/5 угла АОВ. Найдите величину угла СОР, если угол АОВ равен 100°.

Ответ на задачку

Фото: 2980919.jpg (24.6 Kb) · 3136276.jpg (25.6 Kb) · 5040137.jpg (17.6 Kb) · 1463662.jpg (15.2 Kb) · 3456937.jpg (19.1 Kb)
 
 
БрошкаДата: Вторник, 30.12.2014, 12:02 | Сообщение # 356
Генерал-майор
Группа: Проверенные
Сообщений: 378
Награды: 0
Репутация: 0
Статус: Offline


 
Работай из дома! 18+
 
 


Задача № 1776

На рисунке 192 угол АОС равен углу DOB. Докажите, что угол АОВ равен углу COD.

Ответ на задание



Задача № 1777

Прямые АВ и CD (рис. 193) пересекаются в точке О. Докажите, что углы АОС и BOD равны.

Ответы на задание



Задача № 1778

Не пользуясь транспортиром, определите угол между стрелками часов на рисунке 194.

Ответ на задачу



Задача № 1779

Вычислите:

Ответ на задание



Задача № 1780

Паша пустился догонять Борю, когда тот отбежал от него на 360 м, и догнал через 9 мин. С какой скоростью бежал Паша, если скорость Бори была 0,2,км/мин?

Ответ на задачку

Фото: 5909545.jpg (23.5 Kb) · 4791555.jpg (25.8 Kb) · 8998035.jpg (23.2 Kb) · 0748502.jpg (35.5 Kb) · 4472200.jpg (24.2 Kb)
 
 
БрошкаДата: Вторник, 30.12.2014, 12:05 | Сообщение # 357
Генерал-майор
Группа: Проверенные
Сообщений: 378
Награды: 0
Репутация: 0
Статус: Offline


 
Работай из дома! 18+
 
 


Задача № 1781

Сережа стал догонять Колю, когда тот находился от него на расстоянии 840 м, и догнал через 6 мин. Найдите скорость Коли, если его скорость была в 2 раза меньше скорости Сережи.

Ответ на задание



Задача № 1782

Из двух пунктов одновременно навстречу друг другу вышли грузовая и легковая машины. Скорость грузовой автомашины в 2 раза меньше скорости легковой. Найдите скорость каждой автомашины, если известно, что расстояние между пунктами 480 км и машины встретились через 4 ч.

Ответы на задание



Задача № 1783

Два поезда вышли навстречу друг другу одновременно из двух городов, расстояние между которыми 495 км. Через 3 ч они встретились. Какова скорость каждого поезда, если известно, что скорость одного из них на 5 км/ч больше скорости другого?

Ответ на задачу



Задача № 1784

Из города А в город В выехал велосипедист. Через 3 ч после его выезда навстречу ему из города В выехал мотоциклист со скоростью 42 км/ч. Через 2 ч после выезда мотоциклиста они встретились. Найдите скорость велосипедиста, если расстояние между городами А и В равно 144 км.

Ответ на задание



Задача № 1785

Из одного и того же пункта одновременно в противоположных направлениях вышли два пешехода. Через 3 ч расстояние между ними стало 21 км. Найдите скорость второго пешехода, если скорость первого 4 км/ч.

Ответ на задачку

Фото: 2564429.jpg (23.4 Kb) · 3891589.jpg (25.5 Kb) · 4604216.jpg (24.6 Kb) · 1183796.jpg (21.6 Kb) · 1962195.jpg (23.1 Kb)
 
 
БрошкаДата: Вторник, 30.12.2014, 12:07 | Сообщение # 358
Генерал-майор
Группа: Проверенные
Сообщений: 378
Награды: 0
Репутация: 0
Статус: Offline


 
Работай из дома! 18+
 
 


Задача № 1786

Из одной и той же точки шоссе в противоположных направлениях выехали два велосипедиста, один со скоростью 12 км/ч, а другой со скоростью 14 км/ч. Первый велосипедист выехал на час раньше второго. Через сколько времени после выезда первого велосипедиста расстояние между велосипедистами будет равно 64 км?

Ответ на задание



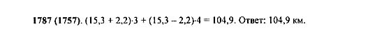
Задача № 1787

Скорость течения 2,2 км/ч. Собственная скорость катера 15,3 км/ч. Какой путь прошел катер, если по течению он шел 3 ч, а против течения 4 ч?

Ответы на задание



Задача № 1788

Теплоход прошел по течению 145 км за 5 ч. Сколько времени ему потребовалось на обратный путь, если скорость течения 4,5 км/ч?

Ответ на задачу



Задача № 1789

Назовите известные вам единицы измерения длины, площади, объема.

Ответ на задание

$IMAGE4$

Задача № 1790

Сколько аров в гектаре? квадратных метров в аре? квадратных сантиметров в квадратном дециметре? квадратных сантиметров в квадратном метре?

Ответ на задачку

Фото: 8239991.jpg (21.4 Kb) · 6969824.jpg (18.4 Kb) · 2233840.jpg (25.9 Kb) · 5608554.jpg (18.5 Kb)
 
 
БрошкаДата: Вторник, 30.12.2014, 12:10 | Сообщение # 359
Генерал-майор
Группа: Проверенные
Сообщений: 378
Награды: 0
Репутация: 0
Статус: Offline


 
Работай из дома! 18+
 
 


Задача № 1791

Какую часть квадратного сантиметра составляет квадратный миллиметр? Какую часть квадратного метра составляет квадратный сантиметр? Какую часть гектара составляет квадратный метр? Какую часть квадратного километра составляет гектар?

Ответ на задание



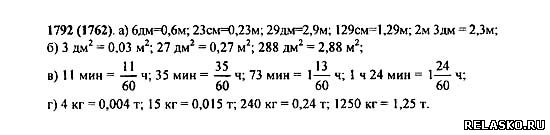
Задача № 1792

Выразите:

а) в метрах: 6 дм, 23 см, 29 дм, 129 см, 2 м 3 дм;
б) в квадратных метрах: 3 дм2, 27 дм2, 288 дм2;
в) в часах: 11 мин, 35 мин, 73 мин, 1 ч 24 мин;
г) в тоннах: 4 кг, 15 кг, 240 кг, 1250 кг.

Ответы на задание



Задача № 1793

Самый длинный день в Москве длится 1057 мин. Выразите в часах продолжительность этого дня. Какова продолжительность самой короткой ночи?

Ответ на задачу



Задача № 1794

Как найти: а) площадь прямоугольника; б) площадь квадрата; в) объем прямоугольного параллелепипеда; г) объем куба? Запишите эти правила в виде формул.

Ответ на задание



Задача № 1795

Сколько кубических сантиметров в кубическом дециметре? Сколько кубических дециметров в кубическом метре? Чему равен литр? Какую долю кубического дециметра составляет кубический сантиметр? Какую долю кубического метра составляет кубический сантиметр?

Ответ на задачку

Фото: 9321927.jpg (19.0 Kb) · 3730333.jpg (33.1 Kb) · 6942077.jpg (21.6 Kb) · 0122432.jpg (25.6 Kb) · 8157568.jpg (20.4 Kb)
 
 
БрошкаДата: Вторник, 30.12.2014, 12:13 | Сообщение # 360
Генерал-майор
Группа: Проверенные
Сообщений: 378
Награды: 0
Репутация: 0
Статус: Offline


 
Работай из дома! 18+
 
 


Задача № 1796

Из скольких прямоугольников состоит поверхность прямоугольного параллелепипеда? Сколько граней, ребер, вершин имеет прямоугольный параллелепипед? Какой прямоугольный параллелепипед называют кубом? Из каких фигур состоит поверхность куба? Каковы ребра куба?

Ответ на задание



Задача № 1797

Как формулируется:

а) свойство площадей равных фигур;
б) свойство площадей фигуры и ее частей;
в) свойство объемов равных фигур;
г) свойство объемов фигуры и ее частей?

Ответы на задание



Задача № 1798

Найдите площадь прямоугольника, стороны которого равны 24,6 см и 18,5 см. Выразите площадь в квадратных дециметрах

Ответ на задачу



Задача № 1799

а) Найдите объем прямоугольного параллелепипеда с измерениями 28,2 см, 30 см и 25,5 см и выразите его в кубических дециметрах. б) Найдите объем куба с ребром 8 дм и выразите его в кубических метрах.

Ответ на задание



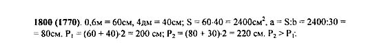
Задача № 1800

Два прямоугольника имеют одну и ту же площадь. Длина первого прямоугольника равна 0,6 м, а ширина — 4 дм. Чему равна длина второго прямоугольника, если его ширина 30 см? Найдите и сравните периметры этих прямоугольников.

Ответ на задачку





Продолжение решебника по Математике для 5-го класса

Фото: 4211186.jpg (27.5 Kb) · 7698768.jpg (29.1 Kb) · 4695781.jpg (18.9 Kb) · 7335271.jpg (23.0 Kb) · 2663199.jpg (22.8 Kb)
 
 
Поиск:

Работай из дома! 18+
 
 
 
 
 
 

 
Последние темы на форуме:
 
  • Новогодние праздники 2021-2022 официальные выходные
  • Показатели давления и сердцебиения у женщины 57 лет
  • Гороскоп на декабрь 2021 Женщина Телец
  • Гороскоп на январь 2022 от Павла Глоба
  • Гороскоп на декабрь 2021 от Павла Глоба
  • Гороскоп на ноябрь 2021 от Павла Глоба
  • Стенограмма судьбы - Содержание серий, актеры и роли сериала
  • Мосгаз. Западня - Содержание серий, актеры и роли 2021
  • Тобол - Содержание серий, актеры и роли сериала. 2021
  • Гороскоп для Тигра на сегодня от Павла Глоба
  • Утраченные воспоминания - Содержание серий, актеры и роли
  • Чёрно-белая любовь - Содержание серий, актеры и роли сериала
  • Забытая женщина - Содержание серий, актеры и роли сериала
  • Тайна спящей дамы - Содержание серий, актеры и роли сериала
  • Сериал Часы с кукушкой - Содержание серий, актеры и роли
  •  
     

     
    Обращаем ваше внимание на то, что данный интернет-сайт www.kinolog.do.am носит исключительно информационный характер и ни при каких условиях не является публичной офертой, определяемой положениями Статьи 437 (2) Гражданского кодекса РФ. Цена и наличие товара может отличаться от действительной. Пожалуйста, уточняйте цены и наличие товара у наших менеджеров.
    Администрация сайта не несет ответственности за действия и содержание размещаемой информации пользователей: комментарии, материалы, сообщения и темы на форуме, публикации, объявления и т.д.
    Правообладателям | Реклама | Учебники | Политика
    Отопление, водоснабжение, газоснабжение, канализация © 2003 - 2021
    Рейтинг@Mail.ru Рейтинг арматурных сайтов. ARMTORG.RU Яндекс.Метрика