[ Новые сообщения · Участники · Правила форума · Поиск · RSS ]
 
Работай из дома! 18+

  • Страница 1 из 25
  • 1
  • 2
  • 3
  • 24
  • 25
  • »
ГДЗ по Математике. 5 класс
БрошкаДата: Вторник, 23.12.2014, 09:22 | Сообщение # 1
Генерал-майор
Группа: Проверенные
Сообщений: 378
Награды: 0
Репутация: 0
Статус: Offline


 
Работай из дома! 18+
 
 




ГДЗ по Математике. 5 класс

Авторы Н. Я. Виленкин, В. И. Жохов, А. С. Чесноков, С. И. Шварцбурд.

Решебник для школьников 6 класса. Готовые домашние задания с решениями и ответами из рабочей тетради.


Выберите номер задачи из учебника:

1-10 11-20 21-30 31-40 41-50 51-60 61-70 71-80 81-90 91-100

101-110 111-120 121-130 131-140 141-150 151-160 161-170 171-180 181-190 191-200

201-210 211-220 221-230 231-240 241-250 251-260 261-270 271-280 281-290 291-300

301-310 311-320 321-330 331-340 341-350 351-360 361-370 371-380 381-390 391-400

401-410 411-420 421-430 431-440 441-450 451-460 461-470 471-480 481-490 491-500

501-600 601-700 701-800 801-900 901-1000 1001-1100 1101-1200 1201-1300 1301-1400

1401-1500 1501-1600 1601-1700 1701-1800 1801-1900



Фото: 9351048.jpg (126.8 Kb) · 9410350.jpg (27.9 Kb)
 
 
БрошкаДата: Вторник, 23.12.2014, 09:27 | Сообщение # 2
Генерал-майор
Группа: Проверенные
Сообщений: 378
Награды: 0
Репутация: 0
Статус: Offline


 
Работай из дома! 18+
 
 


Задача № 1

Прочитайте числа 15; 152; 514; 2537; 5007; 52 615. Что означает - цифра 5 в записи каждого из этих чисел? Что означает цифра 0 в записи каждого из чисел 30; 408; 50 618; 400 003?

Ответ на задание



Задача № 2

Напишите число, в котором:

а) 9 сотен 0 десятков 3 единицы;
б) 5 сотен 8 десятков 0 единиц;
в) 3 тысячи 2 сотни 4 десятка 1 единица;
г) 3 единицы 4 десятка 5 сотен 6 тысяч;
д) 9 сотен 5 десятков 0 единиц 3 тысячи;
е) 7 тысяч 8 единиц 0 сотен 0 десятков.

Прочитайте эти числа.

Ответы на задание



Задача № 3

Запишите цифрами числа:

а) восемьсот девять;
б) пять тысяч двести одиннадцать;
в) двадцать два миллиона три тысячи восемь;
г) двадцать восемь миллионов пятнадцать тысяч триста два;
д) пятьсот семь миллионов восемьдесят тысячу
е) один миллиард десять миллионов девять тысяч;
ж) четыреста двадцать три миллиарда триста сорок миллионов шестьсот тысяч девятьсот восемьдесят;
з) пятьдесят два миллиарда восемь тысяч двенадцать;
и) семьсот семьдесят семь миллиардов шестьдесят восемь тысяч;
к) девять миллиардов пятьдесят пять тысяч.

Ответ на задачу



Задача № 4

Число 580043,000707 разбивают на классы так: 580 043 000 707 — и читают: пятьсот восемьдесят миллиардов сорок три миллиона семьсот семь.

Разбейте на классы и прочитайте числа: 2407; 35810; 500215; 6570000; 3048504325; 24000670001; 300100234129.

Ответ на задание



Задача № 5

Прочитайте числа: 509; 6001; 90 050; 7 000 850 127; 56 000 709 000; 21 085 000 000; 340 004 090 300; 86 820 000 800; 1 000 000 031; 63 009 000 050; 1 000 100 999; 383 365 409 707.

Ответ на задачку

Фото: 3686128.jpg (48.4 Kb) · 2855228.jpg (28.3 Kb) · 6355970.jpg (25.4 Kb) · 7527054.jpg (43.8 Kb) · 1243330.jpg (54.1 Kb)
 
 
БрошкаДата: Вторник, 23.12.2014, 09:33 | Сообщение # 3
Генерал-майор
Группа: Проверенные
Сообщений: 378
Награды: 0
Репутация: 0
Статус: Offline


 
Работай из дома! 18+
 
 


Задача № 6

Запишите цифрами числа: 5 тыс.; 702 тыс.; 5081 тыс.; 68 303 тыс.; 12 млн; 306 млн; 487 млрд; 15 млн 205 тыс.; 65 млрд 913 млн.

Ответ на задание



Задача № 7

Запишите цифрами числа, встречающиеся в тексте: «Миллиард — очень большое число. За тридцать лет с первого января тысяча девятьсот семидесятого года по тридцать первое декабря тысяча девятьсот девяносто девятого года прошло десять тысяч девятьсот пятьдесят семь суток, что составляет двести шестьдесят две тысячи девятьсот шестьдесят восемь часов, или девятьсот сорок шесть миллионов шестьсот восемьдесят четыре тысячи восемьсот секунд. Значит, за тридцать лет не проходит и миллиарда секунд»

Ответы на задание



Задача № 8

Запищите пять раз подряд цифру 6. Прочитайте получившееся число.

Ответ на задачу



Задача № 9

Запишите пять раз подряд число 80. Прочитайте получившееся число.

Ответ на задание



Задача № 10

Прочитайте число, которое получится, если число 674 записать подряд: а) два раза; б) три раза; в) четыре раза.

Ответ на задачку

Фото: 6777843.jpg (20.2 Kb) · 4561018.jpg (20.6 Kb) · 0747289.jpg (16.0 Kb) · 7644347.jpg (17.6 Kb) · 3835552.jpg (36.9 Kb)
 
 
БрошкаДата: Вторник, 23.12.2014, 09:39 | Сообщение # 4
Генерал-майор
Группа: Проверенные
Сообщений: 378
Награды: 0
Репутация: 0
Статус: Offline


 
Работай из дома! 18+
 
 


Задача № 11

Запишите все трехзначные числа, для записи которых употребля-ются только цифры 1 и 2.

Ответ на задание



Задача № 12

Запишите все трехзначные числа, для записи которых употребляются только цифры 0 и 7. Найдите сумму этих чисел и разделите ее на 211.

Ответы на задание



Задача № 13

Прочитайте числа 380; 907; 60 239; 102 400; 999 999.

Ответ на задачу



Задача № 14

Сколько десятков в сотне? Сколько сотен в тысяче? Сколько десятков в тысяче? Сколько тысяч в миллионе?

Ответ на задание



Задача № 15

Сколько цифр использовано для записи числа 640 046? Сколько из них различных?

Ответ на задачку

Фото: 6739622.jpg (14.0 Kb) · 2154352.jpg (16.6 Kb) · 8315511.jpg (24.1 Kb) · 0520865.jpg (17.1 Kb) · 0228450.jpg (16.7 Kb)
 
 
БрошкаДата: Вторник, 23.12.2014, 09:47 | Сообщение # 5
Генерал-майор
Группа: Проверенные
Сообщений: 378
Награды: 0
Репутация: 0
Статус: Offline


 
Работай из дома! 18+
 
 


Задача № 16

Назовите число:

а) следующее за числом 99;
б) предшествующее числу 300;
в) следующее за числом 19 999;
г) предшествующее числу 1200;
д) на 1 меньшее числа 700;
е) на 1 большее числа 8999.

Ответ на задание



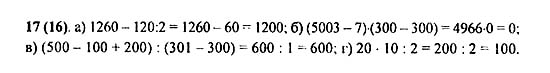
Задача № 17

Назовите порядок действий и устно вычислите:

а) 1260 - 120 : 2;
в) (500 - 100 + 200) : (301 - 300);
б) (5003 - 7) • (300 - 300);
г) 20 • 10 : 2.

Ответы на задание



Задача № 18

Найдите сумму:

а) 60 000 + 7000 + 300 + 50 + 9;
б) 4 000 000 + 70 000 + 8000 + 600 + 5;
в) 900 000 + 3000 + 700 + 20;
г) 8000 + 600 + 1.

Ответ на задачу



Задача № 19

Один комбайнер намолотил 231 т зерна, а второй — на 46 т меньше. Сколько зерна намолотили оба комбайнера?

Ответ на задание



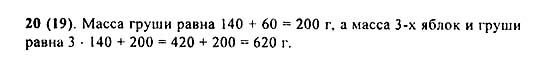
Задача № 20

Масса яблока 140 г, а масса груши на 60 г больше. Какова масса трех таких яблок и груши?

Ответ на задачку

Фото: 3111236.jpg (15.9 Kb) · 2767647.jpg (22.1 Kb) · 8958682.jpg (23.4 Kb) · 6724022.jpg (18.1 Kb) · 2451438.jpg (19.6 Kb)
 
 
БрошкаДата: Вторник, 23.12.2014, 09:51 | Сообщение # 6
Генерал-майор
Группа: Проверенные
Сообщений: 378
Награды: 0
Репутация: 0
Статус: Offline


 
Работай из дома! 18+
 
 


Задача № 21

Расстояние от дома до школы 370 м, а расстояние от дома до стадиона 1240 м. На сколько метров расстояние от дома до школы меньше расстояния от дома до стадиона?

Ответ на задание



Задача № 22

Выполните действия:

а) 654 + 367; г) 987 : 7; ж) 192 : 32 + 8;
б) 947 - 469; д) 3018 : 6; з) 28 • (319 - 273).
в) 258 • 8; е) 52 • 23 - 77;

Ответы на задание



Задача № 23

23. Запишите натуральное число:

а) следующее за числом 999;
б) на 1 меньшее 1000;
в) предшествующее числу 1 000 000;
г) на 1 большее числа 999 999 999;
д) на 1 меньшее числа 56 300.

Ответ на задачу



Задача № 24

Запишите цифрами число:

а) двадцать четыре;
б) двести сорок;
в) шестьсот двадцать семь тысяч триста;
г) три миллиона восемьсот тысяч четыре;
д) четыреста миллионов семьдесят тысяч двести шесть;
е) девяносто пять миллиардов триста восемь миллионов шестьсот тысяч семьсот сорок пять;
ж) десять миллиардов сто миллионов семьдесят пять тысяч три;
з) девять миллиардов пять тысяч шесть.

Ответ на задание



Задача № 25

Запишите цифрами числа: 86 тыс.; 11 млн; 367 млрд.

Ответ на задачку

Фото: 0339792.jpg (18.8 Kb) · 9604412.jpg (25.3 Kb) · 9201785.jpg (16.2 Kb) · 3784956.jpg (20.6 Kb) · 3339323.jpg (14.8 Kb)
 
 
БрошкаДата: Вторник, 23.12.2014, 09:59 | Сообщение # 7
Генерал-майор
Группа: Проверенные
Сообщений: 378
Награды: 0
Репутация: 0
Статус: Offline


 
Работай из дома! 18+
 
 


Задача № 26

Напишите девять раз подряд цифру 4. Запишите словами получившееся число.

Ответ на задание



Задача № 27

Запишите все двузначные числа, в запись которых входят лишь цифры 2 и 3. Найдите сумму этих чисел.

Ответы на задание



Задача № 28

На одной ферме 847 коров, а на другой — на 309 коров больше. Сколько коров на двух фермах?

Ответ на задачу



Задача № 29

Расстояние от школы до кинотеатра 650 м, а от кинотеатра до дома 830 м. На сколько расстояние от школы до кинотеатра меньше расстояния от кинотеатра до дома?

Ответ на задание



Задача № 30

Выполните действия:

а) 245 + 35 • 18;
в) 10 260 : 36 + 164;
б) (87 + 35) • 25;
г) 52 998 : (37 + 29).

Ответ на задачку

Фото: 1090969.jpg (18.8 Kb) · 5105052.jpg (15.2 Kb) · 5176917.jpg (18.0 Kb) · 5035445.jpg (19.3 Kb) · 8539885.jpg (22.6 Kb)
 
 
БрошкаДата: Вторник, 23.12.2014, 10:06 | Сообщение # 8
Генерал-майор
Группа: Проверенные
Сообщений: 378
Награды: 0
Репутация: 0
Статус: Offline


 
Работай из дома! 18+
 
 


Задача № 31

Отметьте в тетради точки К и М. С помощью линейки постройте отрезок КМ. Отметьте на этом отрезке точки Р и Т. Назовите отрезки, на которые эти точки делят отрезок КМ. На какие отрезки точка Т делит отрезок КМ?

Ответ на задание



Задача № 32

Какие из точек, указанных на рисунке б, лежат на отрезке CD, а какие из них на этом отрезке не лежат?

Ответы на задание



Задача № 33

Какие из точек, указанных на рисунке 7, лежат между точками: а) М и N; б) С и N; в) М и D; г) D и N?

Ответ на задачу



Задача № 34

Начертите отрезок ОМ и отметьте на нем точки С и К. Запишите все получившиеся отрезки с концами в точках О, С, K и М.

Ответ на задание



Задача № 35

С помощью циркуля найдите равные отрезки на рисунке 8. Постройте в тетради отрезок, равный отрезку EF.

Ответ на задачку

Фото: 5952900.jpg (22.2 Kb) · 3500744.jpg (16.4 Kb) · 3128700.jpg (16.2 Kb) · 0124525.jpg (22.6 Kb) · 6388667.jpg (15.9 Kb)
 
 
БрошкаДата: Вторник, 23.12.2014, 10:18 | Сообщение # 9
Генерал-майор
Группа: Проверенные
Сообщений: 378
Награды: 0
Репутация: 0
Статус: Offline


 
Работай из дома! 18+
 
 


Задача № 36

На отрезке AD отмечены точки С и В так, что С лежит между точками А и В. Найдите длину отрезка AD, если длина отрезка АС равна 15 см, длина отрезка СВ на 8 см больше длины отрезка АС> а длина отрезка BD в 2 раза больше длины отрезка АВ.

Ответ на задание



Задача № 37

Выразите в сантиметрах:

а) 9 дм 6 см; б) 5 дм 1 см; в) 11 дм 3 см.

Ответы на задание



Задача № 38

Выразите в дециметрах и сантиметрах:

а) 18 см; б) 303 см; в) 53 см.

Ответ на задачу



Задача № 39

39. Выразите в миллиметрах:

а) 3 см 2 мм; б) 1 дм 5 см 3 мм; в) 4 см.

Ответ на задание



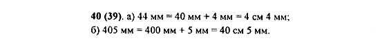
Задача № 40

Выразите в сантиметрах и миллиметрах:

а) 44 мм; б) 405 мм.

Ответ на задачку

Фото: 1338607.jpg (20.3 Kb) · 8757958.jpg (19.8 Kb) · 3035563.jpg (19.5 Kb) · 6010922.jpg (19.2 Kb) · 3804140.jpg (17.7 Kb)
 
 
БрошкаДата: Вторник, 23.12.2014, 10:22 | Сообщение # 10
Генерал-майор
Группа: Проверенные
Сообщений: 378
Награды: 0
Репутация: 0
Статус: Offline


 
Работай из дома! 18+
 
 


Задача № 41

Выразите в метрах:

а) 3 км 300 м; б) 2 км 2 м; в) 5 км 20 м.

Ответ на задание



Задача № 42

Выразите в километрах и метрах:

а) 4567 м; б) 5070 м; в) 15 500 м.

Ответы на задание



Задача № 43

Найдите, сколько:

а) сантиметров в 1 м;
б) миллиметров в 1 м;
в) миллиметров в 1 дм;
г) миллиметров в 1 км.

Ответ на задачу



Задача № 44

Начертите отрезки АВ и ВС, где АВ = 5 см 7 мм, ВС = 4 см 3 мм.

Ответ на задание



Задача № 45

Измерьте:

а) длину и ширину тетради;
б) расстояние между концами расставленных большого и указательного пальцев
в) длину и ширину стола.

Ответ на задачку

$IMAGE5$
Фото: 2032788.jpg (20.1 Kb) · 0954637.jpg (20.5 Kb) · 7067157.jpg (19.5 Kb) · 3295678.jpg (19.1 Kb)
 
 
БрошкаДата: Вторник, 23.12.2014, 10:41 | Сообщение # 11
Генерал-майор
Группа: Проверенные
Сообщений: 378
Награды: 0
Репутация: 0
Статус: Offline


 
Работай из дома! 18+
 
 


Задача № 46

Отметьте в тетради точки М, А и К. Измерьте расстояния между точками М и А, А и К, К и М. Запишите результаты измерений.

Ответ на задание



Задача № 47

Назовите вершины и стороны шестиугольника на рисунке 9.

Ответы на задание



Задача № 48

Постройте в тетради пятиугольник ABCDE. Измерьте его стороны и запишите результаты измерений.

Ответ на задачу

$IMAGE3$

Задача № 49

Какой отрезок надо провести на рисунке 10, чтобы получился четырехугольник? Назовите вершины и стороны полученного четырехугольника.

Ответ на задание



Задача № 50

На рисунке 11 часть линии, соединяющей точки С и D, закрыта. Является ли эта линия отрезком? Проверьте с помощью линейки.

Ответ на задачку

Фото: 6929517.jpg (16.9 Kb) · 3636814.jpg (21.6 Kb) · 7282911.jpg (24.3 Kb) · 2240195.jpg (14.3 Kb)
 
 
БрошкаДата: Вторник, 23.12.2014, 10:45 | Сообщение # 12
Генерал-майор
Группа: Проверенные
Сообщений: 378
Награды: 0
Репутация: 0
Статус: Offline


 
Работай из дома! 18+
 
 


Задача № 51

Прочитайте числа: 6008; 5 231 154; 9 055 007; 60 080 015.

Ответ на задание



Задача № 52

Запишите цифрами числа:

десять миллионов пять тысяч двадцать три;
три миллиарда восемьдесят две тысячи триста пять;
десять миллиардов два миллиона шестьдесят четыре тысячи;
пятнадцать миллиардов два миллиона двести восемьдесят тысяч семь;
пятьсот четыре миллиарда восемьдесят девять;
один миллиард один миллион восемьсот;
один миллион одна тысяча двадцать.

Ответы на задание



Задача № 53

Вычислите устно:

a) 8+7
16+9
28+6
19+5
37+0

б)11-3
16+7
12+5
15+9
21+0

в)9*8
8*7
9*9
6*8
7*0

г)45:9
64:8
49:7
30:6
48:8

Ответ на задачу



Задача № 54

Заполните таблицу:
Слагаемое 15 17 29 19
Слагаемое 10 10 18 27
Сумма 40 25 70

Ответ на задание



Задача № 55

Вычислите устно, используя прием округления: а) 97 + 49; б) 398 + 435; в) 237 + 48.

Ответ на задачку

Фото: 6664152.jpg (23.3 Kb) · 5303233.jpg (19.9 Kb) · 3423467.jpg (26.7 Kb) · 0331467.jpg (27.2 Kb) · 5710693.jpg (18.4 Kb)
 
 
БрошкаДата: Вторник, 23.12.2014, 10:50 | Сообщение # 13
Генерал-майор
Группа: Проверенные
Сообщений: 378
Награды: 0
Репутация: 0
Статус: Offline


 
Работай из дома! 18+
 
 


Задача № 56

Какое число надо вписать в последнюю клетку цепочки?

Ответ на задание



Задача № 57

Подумайте, какие математические знания вам могут потребоваться, если вы собрались пойти: а) в бассейн; б) в магазин.

Ответы на задание

$IMAGE2$

Задача № 58

Какие двузначные числа можно записать с помощью цифр:

а) 6 и 0; б) 1, 5 и 0; в) 3 и 5?

Ответ на задачу



Задача № 59

Сколько трехзначных чисел можно составить из цифр 3, 5, 7, если в записи числа цифры не будут повторяться? Какое из этих чисел наибольшее и какое наименьшее?

Ответ на задание



Задача № 60

Длина Волги 3530 км. Днепр на 1330 км короче Волги, а Урал длиннее Днепра на 228 км. Какова длина реки Урал? На сколько километров Волга длиннее Урала?

Ответ на задачку

Фото: 4982208.jpg (36.1 Kb) · 0089464.jpg (16.1 Kb) · 4810329.jpg (23.9 Kb) · 6359873.jpg (20.1 Kb)
 
 
БрошкаДата: Вторник, 23.12.2014, 10:54 | Сообщение # 14
Генерал-майор
Группа: Проверенные
Сообщений: 378
Награды: 0
Репутация: 0
Статус: Offline


 
Работай из дома! 18+
 
 


Задача № 61

Лыжник за 5 ч прошел 75 км. Сколько времени ему потребуется, чтобы с той же скоростью пройти 60 км?

Ответ на задание



Задача № 62

Автобус шел 2 ч со скоростью 45 км/ч и 3 ч со скоростью 60 км/ч. Какой путь прошел автобус за эти 5 ч?

Ответы на задание



Задача № 63

Решите задачу:

1) Мотоциклист едет со скоростью 95 км/ч, а скорость велосипедиста на 76 км/ч меньше. Во сколько раз скорость мотоциклиста больше скорости велосипедиста?

2) Скорость теплохода 45 км/ч, а скорость электровоза на 90 км/ч больше. Во сколько раз скорость теплохода меньше скорости электровоза?

Ответ на задачу



Задача № 64

Выполните действия:

1) (2786 + 886) : 8; 3) (2012 - 968) : 12; 5)38 -43 - 134;

2) (3967 + 965) : 9; 4) (2213 - 897) : 14; 6) 47 • 26 - 122.

Ответ на задание



Задача № 65

Отметьте в тетради пять точек: А, М, К, Т и О. Соедините точку О отрезками с каждой из остальных точек и запишите все получившиеся отрезки. Измерьте отрезки ОА, ОМ, ОК и ОТ.

Ответ на задачку

Фото: 8223666.jpg (17.7 Kb) · 4614124.jpg (16.5 Kb) · 5152567.jpg (27.8 Kb) · 4529695.jpg (27.7 Kb) · 3191506.jpg (15.5 Kb)
 
 
БрошкаДата: Вторник, 23.12.2014, 11:01 | Сообщение # 15
Генерал-майор
Группа: Проверенные
Сообщений: 378
Награды: 0
Репутация: 0
Статус: Offline


 
Работай из дома! 18+
 
 


Задача № 66

Начертите отрезок ВС и отметьте на нем точки М и N так, чтобы точка М лежала между точками В и N. Запишите все получившиеся отрезки с концами В, М, N и С. Сравните отрезки:

а) ВМ и ВС;

б) NC и МС.

Ответ на задание



Задача № 67

Сколько дециметров в одном километре? Сколько сантиметров в одном километре?

Ответы на задание



Задача № 68

Выразите:

а) в метрах: 15 км; 2 км 500 м; 6 км 90 м;

б) в километрах и метрах: 1 840 м; 7 035 м; ,

в) в сантиметрах: 3 Дм 8 см; i м 68 см; 7 м 5 см; 70 мм; 980 мм;

г) в сантиметрах и миллиметрах: 65 мм; 92 мм; 548 мм.

Ответ на задачу



Задача № 69

Начертите шестиугольник, обозначьте его вершины, измерьте его стороны и запишите результаты измерений.

Ответ на задание

$IMAGE4$

Задача № 70

Для приготовления каши бабушка из килограммового пакета крупы трижды брала по 220 г крупы. Сколько крупы осталось в пакете?

Ответ на задачку




Продолжение решебника по Математике

Фото: 1371088.jpg (20.6 Kb) · 1755892.jpg (14.9 Kb) · 3166337.jpg (30.0 Kb) · 6907054.jpg (16.1 Kb)
 
 
  • Страница 1 из 25
  • 1
  • 2
  • 3
  • 24
  • 25
  • »
Поиск:

Работай из дома! 18+
 
 
 
 
 
 

 
Последние темы на форуме:
 
  • Новогодние праздники 2021-2022 официальные выходные
  • Показатели давления и сердцебиения у женщины 57 лет
  • Гороскоп на декабрь 2021 Женщина Телец
  • Гороскоп на январь 2022 от Павла Глоба
  • Гороскоп на декабрь 2021 от Павла Глоба
  • Гороскоп на ноябрь 2021 от Павла Глоба
  • Стенограмма судьбы - Содержание серий, актеры и роли сериала
  • Мосгаз. Западня - Содержание серий, актеры и роли 2021
  • Тобол - Содержание серий, актеры и роли сериала. 2021
  • Гороскоп для Тигра на сегодня от Павла Глоба
  • Утраченные воспоминания - Содержание серий, актеры и роли
  • Чёрно-белая любовь - Содержание серий, актеры и роли сериала
  • Забытая женщина - Содержание серий, актеры и роли сериала
  • Тайна спящей дамы - Содержание серий, актеры и роли сериала
  • Сериал Часы с кукушкой - Содержание серий, актеры и роли
  •  
     

     
    Обращаем ваше внимание на то, что данный интернет-сайт www.kinolog.do.am носит исключительно информационный характер и ни при каких условиях не является публичной офертой, определяемой положениями Статьи 437 (2) Гражданского кодекса РФ. Цена и наличие товара может отличаться от действительной. Пожалуйста, уточняйте цены и наличие товара у наших менеджеров.
    Администрация сайта не несет ответственности за действия и содержание размещаемой информации пользователей: комментарии, материалы, сообщения и темы на форуме, публикации, объявления и т.д.
    Правообладателям | Реклама | Учебники | Политика
    Отопление, водоснабжение, газоснабжение, канализация © 2003 - 2021
    Рейтинг@Mail.ru Рейтинг арматурных сайтов. ARMTORG.RU Яндекс.Метрика