[ Новые сообщения · Участники · Правила форума · Поиск · RSS ]
 
Работай из дома! 18+

  • Страница 25 из 25
  • «
  • 1
  • 2
  • 23
  • 24
  • 25
ГДЗ по Математике. 5 класс
БрошкаДата: Вторник, 30.12.2014, 12:17 | Сообщение # 361
Генерал-майор
Группа: Проверенные
Сообщений: 378
Награды: 0
Репутация: 0
Статус: Offline


 
Работай из дома! 18+
 
 




Задача № 1801

Периметр прямоугольника 0,36 м. Его длина в 2 раза больше ширины. Чему равна площадь прямоугольника?

Ответ на задание



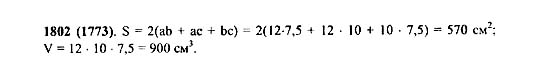
Задача № 1802

Найдите площадь поверхности и объем прямоугольного параллелепипеда, длина которого равна 12 см, ширина — 7,5 см, а высота — 10 см.

Ответы на задание



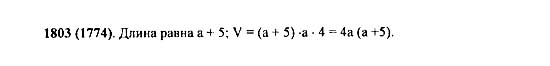
Задача № 1803

Ширина прямоугольного параллелепипеда равна а см, длина на 5 см больше ширины, а высота равна 4 см. Составьте выражение для нахождения объема параллелепипеда.

Ответ на задачу



Задача № 1804

Из деревянного бруска, длина которого 8 см, ширина 0,6 дм и высота 4 см, вырезали куб с ребром 0,04 м. Чему равен объем оставшейся части бруска?

Ответ на задание



Задача № 1805

Какой объем занимает вода, налитая в мензурку (рис. 195)? Числа на шкале мензурки означают кубические сантиметры (миллилитры).

Ответ на задачку

Фото: 6844235.jpg (24.4 Kb) · 9508180.jpg (20.3 Kb) · 3636793.jpg (17.7 Kb) · 2108934.jpg (23.8 Kb) · 5503196.jpg (15.2 Kb)
 
 
БрошкаДата: Вторник, 30.12.2014, 12:54 | Сообщение # 362
Генерал-майор
Группа: Проверенные
Сообщений: 378
Награды: 0
Репутация: 0
Статус: Offline


 
Работай из дома! 18+
 
 


Задача № 1806

Какие из квадратов на рисунке 196 равны?

Ответ на задание



Задача № 1807

Среди фигур, обозначенных буквами, найдите равные фигуры (рис. 197).

Ответы на задание



Задача № 1808

На рисунке 198 изображен куб. Назовите ребра верхней и нижней граней, переднюю грань, вершины правой грани, равные ребра.

Ответ на задачу



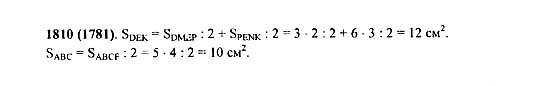
Задача № 1809

Пятиугольное поле ABCDM, план которого изображен на рисунке 199, разбито на четыре части отрезками АС и ВМ. Назовите эти части и найдите площадь поля, если площади треугольных частей равны 50 тыс. м2, 60 тыс. м2, 170 тыс. м2, а четырехугольной — 380 тыс. м2.

Ответ на задание



Задача № 1810

Дополните каждый треугольник, изображенный на рисунке 200, до прямоугольника и найдите площади треугольников

Ответ на задачку

Фото: 6561424.jpg (21.3 Kb) · 3233691.jpg (16.3 Kb) · 4258805.jpg (24.8 Kb) · 8781223.jpg (22.7 Kb) · 0364208.jpg (20.1 Kb)
 
 
БрошкаДата: Вторник, 30.12.2014, 12:57 | Сообщение # 363
Генерал-майор
Группа: Проверенные
Сообщений: 378
Награды: 0
Репутация: 0
Статус: Offline


 
Работай из дома! 18+
 
 


Задача № 1811

Каким свойством обладают точки окружности? Какой отрезок называют радиусом окружности? Диаметром окружности? Начертите окружность и проведите три радиуса этой окружности и ее диаметр.

Ответ на задание



Задача № 1812

Начертите окружность и проведите два ее радиуса, образующие прямой угол.

Ответы на задание

$IMAGE2$

Задача № 1813

Начертите окружность с центром О и радиусом 4,7 см. Постройте два отрезка АВ и АС длиной 3 см так, чтобы точки А, В и С лежали на окружности.

Ответ на задачу

$IMAGE3$

Задача № 1814

Запишите все трехзначные числа, для записи которых используются только цифры 3 и 0.

Ответ на задание



Задача № 1815

Выполните действия:

Ответ на задачку

Фото: 5245712.jpg (28.0 Kb) · 2858264.jpg (15.9 Kb) · 8316855.jpg (36.4 Kb)
 
 
БрошкаДата: Вторник, 30.12.2014, 13:01 | Сообщение # 364
Генерал-майор
Группа: Проверенные
Сообщений: 378
Награды: 0
Репутация: 0
Статус: Offline


 
Работай из дома! 18+
 
 


Задача № 1816

Составьте выражение и найдите его значение:

а) сумму 369 и 471 разделите на разность 872 и 842;
б) произведение чисел 38 и 48 разделите на сумму 39 и 57.

Ответ на задание



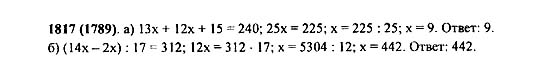
Задача № 1817

Решите уравнение:

а) 13х + 12* + 15 = 240;
б) (14* - 2х) : 17 = 312.

Ответы на задание



Задача № 1818

Верно ли неравенство 398 + 24 • 87 < 3100?

Ответ на задачу



Задача № 1819

Подсчитайте, сколько печатных знаков:

а) на странице, если в ней 40 строк, а в строке 58 знаков (основной шрифт);
б) в строке, если на странице 48 строк, а всего на странице 3360 знаков (петит).

Ответ на задание



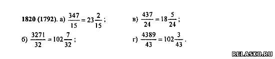
Задача № 1820

Выделите целую часть числа:

Ответ на задачку

Фото: 8658840.jpg (19.8 Kb) · 2382587.jpg (23.3 Kb) · 3013572.jpg (17.7 Kb) · 6514419.jpg (17.4 Kb) · 5592183.jpg (22.3 Kb)
 
 
БрошкаДата: Вторник, 30.12.2014, 13:04 | Сообщение # 365
Генерал-майор
Группа: Проверенные
Сообщений: 378
Награды: 0
Репутация: 0
Статус: Offline


 
Работай из дома! 18+
 
 


Задача № 1821

Вычислите:

Ответ на задание



Задача № 1822

Из 15 гусей белыми были 7, а остальные — серыми. Какую часть всех гусей составляли серые гуси?

Ответы на задание



Задача № 1823

Из 18 верблюдов в караване 5 были одногорбыми, а остальные — двугорбыми. Какую часть всех верблюдов каравана составляли двугорбые верблюды?

Ответ на задачу

$IMAGE3$

Задача № 1824

Площадь кухни 8 м2, что составляет 1/5 площади всей квартиры. Какова площадь квартиры?

Ответ на задание



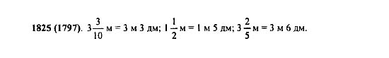
Задача № 1825

Выразите в метрах и дециметрах:

Ответ на задачку

Фото: 7917610.jpg (28.9 Kb) · 9431788.jpg (18.6 Kb) · 1411450.jpg (15.8 Kb) · 8535764.jpg (18.8 Kb)
 
 
БрошкаДата: Вторник, 30.12.2014, 13:07 | Сообщение # 366
Генерал-майор
Группа: Проверенные
Сообщений: 378
Награды: 0
Репутация: 0
Статус: Offline


 
Работай из дома! 18+
 
 


Задача № 1826

Выразите в минутах:

Ответ на задание



Задача № 1827

В одни из суток года продолжительность ночи на 40 мин меньше продолжительности дня. Сколько времени длился день в эти сутки?

Ответы на задание



Задача № 1828

Начертите координатный луч, приняв за единичный отрезок длину 10 клеток тетради. Отметьте на этом луче точки: А(0), В(0,3), C(0,6),

Ответ на задачу

$IMAGE3$

Задача № 1829

Решите:

Ответ на задание



Задача № 1830

Из деревни вышел пешеход, а через 2 ч вслед за ним выехал велосипедист. Скорость велосипедиста 10 км/ч, а скорость пешехода 5 км/ч. Через сколько времени после своего выезда велосипедист догонит пешехода?

Ответ на задачку

Фото: 8066773.jpg (19.6 Kb) · 6897283.jpg (25.7 Kb) · 1610751.jpg (23.3 Kb) · 7137991.jpg (22.3 Kb)
 
 
БрошкаДата: Вторник, 30.12.2014, 13:10 | Сообщение # 367
Генерал-майор
Группа: Проверенные
Сообщений: 378
Награды: 0
Репутация: 0
Статус: Offline


 
Работай из дома! 18+
 
 


Задача № 1831

Расстояние между двумя поездами, идущими навстречу друг другу, равно 8500 км. Через сколько часов поезда встретятся, если они будут идти без остановок: один со скоростью 80 км/ч, другой — 90 км/ч?

Ответ на задание



Задача № 1832

С одной станции одновременно в противоположных направлениях вышли два поезда. Скорость одного из них 54 км/ч, а скорость другого на 18 км/ч больше. Через сколько часов расстояние между ними будет равно 504 км?

Ответы на задание



Задача № 1833

Теплоход шел 2,5 ч по течению реки и 3,2 ч против течения. Какой общий путь прошел теплоход, если его собственная скорость 22 км/ч, а скорость течения 3 км/ч?

Ответ на задачу



Задача № 1834

Вычислите:

Ответ на задание



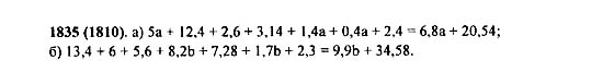
Задача № 1835

Вычислите:

Ответ на задачку

Фото: 6286489.jpg (20.9 Kb) · 9201511.jpg (24.1 Kb) · 0691331.jpg (22.6 Kb) · 5979078.jpg (46.3 Kb) · 2240242.jpg (22.0 Kb)
 
 
БрошкаДата: Вторник, 30.12.2014, 13:14 | Сообщение # 368
Генерал-майор
Группа: Проверенные
Сообщений: 378
Награды: 0
Репутация: 0
Статус: Offline


 
Работай из дома! 18+
 
 


Задача № 1836

Произведите вычисление:

Ответ на задание



Задача № 1837

В пяти маленьких и двух больших коробках 54 цветных карандаша, а в трех маленьких и двух больших коробках 42 карандаша. Сколько карандашей в одной маленькой и сколько в одной большой коробке?

Ответы на задание



Задача № 1838

Длина прямоугольника в 5 раз больше его ширины. Найдите стороны прямоугольника, если его периметр 1212 см.

Ответ на задачу



Задача № 1839

В одной бочке было в 3 раза больше бензина, чем в другой. Когда в первую налили еще 46 л, а во вторую 18 л, то в двух бочках стало 184 л бензина. Сколько литров бензина было в каждой бочке первоначально?

Ответ на задание



Задача № 1840

Площадь земли, засеянной пшеницей, в 6 раз больше площади, засеянной ячменем, а площадь, засеянная рожью, в 3 раза меньше площади, засеянной пшеницей. Сколько гектаров земли засеяно каждой культурой, если рожью засеяно на 120 га больше, чем ячменем?

Ответ на задачку

Фото: 5231916.jpg (27.0 Kb) · 1014045.jpg (23.5 Kb) · 3724083.jpg (22.8 Kb) · 4674597.jpg (24.8 Kb) · 5085456.jpg (25.7 Kb)
 
 
БрошкаДата: Вторник, 30.12.2014, 13:17 | Сообщение # 369
Генерал-майор
Группа: Проверенные
Сообщений: 378
Награды: 0
Репутация: 0
Статус: Offline


 
Работай из дома! 18+
 
 


Задача № 1841

В зрительном зале кинотеатра 16 рядов, и в каждом ряду 24 места. Сколько денег выручит кинотеатр за 3 сеанса, если цена билета m р. и на эти сеансы все билеты будут проданы?

Ответ на задание



Задача № 1842

Измерьте углы АОВ, ВОС, DMN, NME (рис. 201). Какие из этих углов равны?

Ответы на задание

$IMAGE2$

Задача № 1843

Постройте угол АОВ в 140э и проведите луч ОМ так, чтобы он разделил угол АОВ на два угла, один из которых на 40° больше другого.

Ответ на задачу



Задача № 1844

Найдите объем прямоугольного параллелепипеда, если его длина 2,3 см, ширина 1,4 см, а высота 0,5 см.

Ответ на задание



Задача № 1845

Длина прямоугольного параллелепипеда равна а см, ширина — на 2 см меньше длины, а высота равна 5 см. Составьте выражение для нахождения объема этого параллелепипеда.

Ответ на задачку

Фото: 8826978.jpg (16.5 Kb) · 9839522.jpg (21.5 Kb) · 1138367.jpg (17.1 Kb) · 4389536.jpg (16.8 Kb)
 
 
БрошкаДата: Вторник, 30.12.2014, 13:19 | Сообщение # 370
Генерал-майор
Группа: Проверенные
Сообщений: 378
Награды: 0
Репутация: 0
Статус: Offline


 
Работай из дома! 18+
 
 


Задача № 1846

Вычислите в арах площадь участка, изображенного на рисунке 202

Ответ на задание



Задача № 1847

Начертите окружность и постройте два радиуса этой окружности так, чтобы угол между ними был равен 130°.

Ответы на задание

$IMAGE2$

Задача № 1848

Начертите отрезок МР, длина которого 4 см, и найдите две точки, удаленные от концов отрезка на 3 см.

Ответ на задачу



Задача № 1849

Расшифруйте надпись на крышке шкатулки, указывающую путь к тайнам математики

Ответ на задание






Продолжение решебника по Математике для 5-го класса

Фото: 3959385.jpg (19.1 Kb) · 6455774.jpg (34.2 Kb) · 0375202.jpg (26.2 Kb)


 
 
  • Страница 25 из 25
  • «
  • 1
  • 2
  • 23
  • 24
  • 25
Поиск:

Работай из дома! 18+
 
 
 
 
 
 

 
Последние темы на форуме:
 
  • Новогодние праздники 2021-2022 официальные выходные
  • Показатели давления и сердцебиения у женщины 57 лет
  • Гороскоп на декабрь 2021 Женщина Телец
  • Гороскоп на январь 2022 от Павла Глоба
  • Гороскоп на декабрь 2021 от Павла Глоба
  • Гороскоп на ноябрь 2021 от Павла Глоба
  • Стенограмма судьбы - Содержание серий, актеры и роли сериала
  • Мосгаз. Западня - Содержание серий, актеры и роли 2021
  • Тобол - Содержание серий, актеры и роли сериала. 2021
  • Гороскоп для Тигра на сегодня от Павла Глоба
  • Утраченные воспоминания - Содержание серий, актеры и роли
  • Чёрно-белая любовь - Содержание серий, актеры и роли сериала
  • Забытая женщина - Содержание серий, актеры и роли сериала
  • Тайна спящей дамы - Содержание серий, актеры и роли сериала
  • Сериал Часы с кукушкой - Содержание серий, актеры и роли
  •  
     

     
    Обращаем ваше внимание на то, что данный интернет-сайт www.kinolog.do.am носит исключительно информационный характер и ни при каких условиях не является публичной офертой, определяемой положениями Статьи 437 (2) Гражданского кодекса РФ. Цена и наличие товара может отличаться от действительной. Пожалуйста, уточняйте цены и наличие товара у наших менеджеров.
    Администрация сайта не несет ответственности за действия и содержание размещаемой информации пользователей: комментарии, материалы, сообщения и темы на форуме, публикации, объявления и т.д.
    Правообладателям | Реклама | Учебники | Политика
    Отопление, водоснабжение, газоснабжение, канализация © 2003 - 2021
    Рейтинг@Mail.ru Рейтинг арматурных сайтов. ARMTORG.RU Яндекс.Метрика