[ Новые сообщения · Участники · Правила форума · Поиск · RSS ]
 
Работай из дома! 18+

ГДЗ по Математике. 5 класс
БрошкаДата: Вторник, 30.12.2014, 10:18 | Сообщение # 331
Генерал-майор
Группа: Проверенные
Сообщений: 378
Награды: 0
Репутация: 0
Статус: Offline


 
Работай из дома! 18+
 
 




Задача № 1651

Измерьте углы, изображенные на рисунке 179, и запишите результаты измерений.

Ответ на задание



Задача № 1652

Луч ОС лежит внутри угла АОВ, причем AOC = 37°, BOC = 19°. Чему равен угол АОВ?

Ответы на задание



Задача № 1653

Какую часть развернутого угла составляют углы в 30°; 45°; 60°? Какую долю прямого угла составляют углы в 30°; 15°; 60°; 75°?

Ответ на задачу



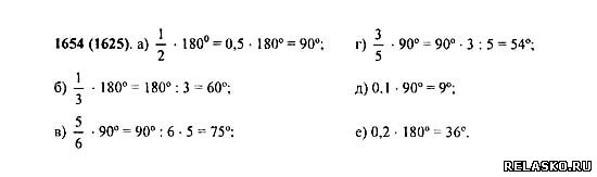
Задача № 1654

Сколько градусов содержит угол, если он составляет:

Ответ на задание



Задача № 1655

Сколько градусов содержит угол, если он составляет: а) 20% от 360°; в) 45% развернутого угла; б) 25% от 60°; г) 80% прямого угла?

Ответ на задачку

Фото: 5508051.jpg (18.7 Kb) · 5007073.jpg (17.7 Kb) · 5846079.jpg (33.6 Kb) · 1809252.jpg (26.1 Kb) · 1921703.jpg (19.7 Kb)
 
 
БрошкаДата: Вторник, 30.12.2014, 10:20 | Сообщение # 332
Генерал-майор
Группа: Проверенные
Сообщений: 378
Награды: 0
Репутация: 0
Статус: Offline


 
Работай из дома! 18+
 
 


Задача № 1656

Какой угол образуют часовая и минутная стрелки часов: а) в 3 ч; в) в 10 ч; д) в 2 ч 30 мин; б) в 5 ч; г) в 11 ч; е) в 5 ч 30 мин?

Ответ на задание



Задача № 1657

Постройте с помощью транспортира угол в 70° и проведите луч, который делит этот угол пополам. Такой луч называется биссектрисой угла.

Ответы на задание



Задача № 1658

С помощью транспортира проведите луч, который делит пополам прямой угол.

Ответ на задачу



Задача № 1659

Постройте угол АОВ в 120° и разделите его на 3 равных угла.

Ответ на задание



Задача № 1660

Какие из углов острые и какие тупые, если A = 67°; B = 175°; C = 92°; D = 3°?

Ответ на задачку

Фото: 1340880.jpg (29.2 Kb) · 5617533.jpg (24.6 Kb) · 3684148.jpg (24.6 Kb) · 2543784.jpg (25.4 Kb) · 0674476.jpg (21.7 Kb)
 
 
БрошкаДата: Вторник, 30.12.2014, 10:23 | Сообщение # 333
Генерал-майор
Группа: Проверенные
Сообщений: 378
Награды: 0
Репутация: 0
Статус: Offline


 
Работай из дома! 18+
 
 


Задача № 1661

С помощью чертежного треугольника найдите на рисунке 180 острые, прямые и тупые углы. С помощью транспортира найдите их градусную меру.

Ответ на задание



Задача № 1662

Начертите круг радиусом 3 см. Обозначьте его центр буквой О. Проведите через точку О прямую АВ. С помощью транспортира разделите развернутые углы АОВ с обеих сторон прямой на 3 равных угла. На сколько равных частей разделился круг?

Ответы на задание



Задача № 1663

Угол АОВ развернутый, а ОС — луч. Найдите градусные меры углов АОС и СОВ, если: а) градусная мера угла АОС втрое больше, чем градусная мера угла СОВ; б) градусная мера угла АОС на 60° больше градусной меры угла СОВ; в) градусная мера угла АОС в 4 раза меньше, чем градусная мера угла СОВ

Ответ на задачу



Задача № 1664

Внутри прямого угла АОВ проведен луч ОС. Найдите градусные меры углов АОС и СОВ, если: а) угол АОС в 5 раз больше угла СОВ; б) разность градусных мер углов СОВ и АОС равна 46°; в) угол АОС в 4 раза меньше угла СОВ.

Ответ на задание



Задача № 1665

Чему равна градусная мера каждого угла прямоугольника? Чему равна сумма этих градусных мер? Чему равна сумма градусных мер углов каждого из треугольников ABC и CDA (рис. 181)?

Ответ на задачку

Фото: 7354365.jpg (26.8 Kb) · 0816388.jpg (30.5 Kb) · 8263682.jpg (59.3 Kb) · 8977596.jpg (60.3 Kb) · 4520849.jpg (30.8 Kb)
 
 
БрошкаДата: Вторник, 30.12.2014, 10:26 | Сообщение # 334
Генерал-майор
Группа: Проверенные
Сообщений: 378
Награды: 0
Репутация: 0
Статус: Offline


 
Работай из дома! 18+
 
 


Задача № 1666

Измерьте каждый угол треугольника ACD, изображенного на рисунке 182. Найдите сумму градусных мер этих углов

Ответ на задание



Задача № 1667

Начертите какой-нибудь треугольник и измерьте каждый его угол. Проверьте, что сумма градусных мер углов треугольника равна 180°. Запомните это свойство углов треугольника.

Ответы на задание

$IMAGE2$

Задача № 1668

В треугольнике один из углов равен 75е, а другой — 80°. Чему равен третий угол этого треугольника?

Ответ на задачу



Задача № 1669

В треугольнике ABC градусная мера угла ABC равна 40°, а градусная мера угла CAB в 3 раза больше. Найдите градусную меру угла АСВ.

Ответ на задание



Задача № 1670

Вычислите устно:

Ответ на задачку

Фото: 2122006.jpg (23.1 Kb) · 8871551.jpg (19.1 Kb) · 5496261.jpg (19.0 Kb) · 5465917.jpg (24.9 Kb)
 
 
БрошкаДата: Вторник, 30.12.2014, 10:28 | Сообщение # 335
Генерал-майор
Группа: Проверенные
Сообщений: 378
Награды: 0
Репутация: 0
Статус: Offline


 
Работай из дома! 18+
 
 


Задача № 1671

Назовите каждый из углов, изображенных на рисунке 183, а и б. Найдите среди этих углов прямые и развернутые углы.

Ответ на задание



Задача № 1672

Найдите 5%, 15%, 25%, 45% числа 360. Попробуйте предложить разные способы решения этой задачи.

Ответы на задание



Задача № 1673

5% некоторого числа равны 11. Найдите 15%, 20%, 35%, 50%, 100% этого числа.

Ответ на задачу



Задача № 1674

В зале кинотеатра 600 зрителей. а) Сколько человек составляют 1%, 5%, 10%, 40% всех зрителей? б) Сколько процентов зрителей составляют 12 человек, 90 человек, 300 человек?

Ответ на задание



Задача № 1675

а) Число 60 увеличили на 15. На сколько процентов увеличилось число? б) Число 75 уменьшили на 15. На сколько процентов уменьшилось число? в) Некоторое число увеличили в 2 раза. На сколько процентов увеличилось число? г) Некоторое число уменьшили в 2 раза. На сколько процентов уменьшилось число?

Ответ на задачку

Фото: 4197995.jpg (32.3 Kb) · 9323145.jpg (26.0 Kb) · 9196245.jpg (22.9 Kb) · 1369285.jpg (29.1 Kb) · 5586284.jpg (45.4 Kb)
 
 
БрошкаДата: Вторник, 30.12.2014, 10:31 | Сообщение # 336
Генерал-майор
Группа: Проверенные
Сообщений: 378
Награды: 0
Репутация: 0
Статус: Offline


 
Работай из дома! 18+
 
 


Задача № 1676

Найдите пропущенные числа:

Ответ на задание



Задача № 1677

Стреляя в тире, Дима в 76% случаев попал в мишень. Сколько промахов допустил Дима, если всего он произвел 50 выстрелов?

Ответы на задание



Задача № 1678

За три дня в магазине продано 1280 кг яблок. В первый день продали 25% всех яблок, а во второй день — 45% всех яблок. Сколько килограммов яблок продали в третий день? Решите задачу двумя способами. Какой из этих способов проще?

Ответ на задачу



Задача № 1679

Объясните смысл предложения: а) «Из молока получается 25% сливок»; б) «В свекле содержится 20% сахара».

Ответ на задание



Задача № 1680

При перегонке нефти получается 30% керосина. Сколько керосина можно получить из 12 т; из 28 т; из 36,5 т нефти?

Ответ на задачку

Фото: 1767884.jpg (50.0 Kb) · 0626392.jpg (22.1 Kb) · 6229107.jpg (37.6 Kb) · 7191664.jpg (23.8 Kb) · 0252871.jpg (24.4 Kb)
 
 
БрошкаДата: Вторник, 30.12.2014, 10:35 | Сообщение # 337
Генерал-майор
Группа: Проверенные
Сообщений: 378
Награды: 0
Репутация: 0
Статус: Offline


 
Работай из дома! 18+
 
 


Задача № 1681

Решите задачу: 1) Площадь поля 560 га. В первый день засеяли 3/7 поля, а остальное — во второй день. Сколько гектаров засеяли во второй день? 2) Площадь поля 450 га. Овсом засеяли 2/5 поля, а пшеницей — остальную часть. Сколько гектаров засеяли пшеницей?

Ответ на задание



Задача № 1682

Начертите два угла — в 60° и в 100° — с общей вершиной так, чтобы они имели общую сторону и лежали по разные стороны от нее. Найдите градусную меру угла, образованного двумя другими сторонами этих углов.

Ответы на задание



Задача № 1683

Начертите произвольный четырехугольник ABCD, измерьте транспортиром его углы и сложите результаты измерений.

Ответ на задачу



Задача № 1684

Начертите произвольный четырехугольник ABCD и проведите отрезки АС и BD. Измерьте транспортиром углы АОВ, ВОС, COD и DOA, где О — точка пересечения отрезков АС и BD. Какие из этих углов имеют одинаковую градусную меру? Сумма градусных мер каких углов равна 180°?

Ответ на задание



Задача № 1685

Найдите градусные меры углов треугольника MNK, если угол М меньше угла N на 40° и больше угла К на 10°.

Ответ на задачку

Фото: 5660174.jpg (25.2 Kb) · 5936723.jpg (23.1 Kb) · 5841427.jpg (27.7 Kb) · 0648512.jpg (33.4 Kb) · 7121438.jpg (35.0 Kb)
 
 
БрошкаДата: Вторник, 30.12.2014, 10:45 | Сообщение # 338
Генерал-майор
Группа: Проверенные
Сообщений: 378
Награды: 0
Репутация: 0
Статус: Offline


 
Работай из дома! 18+
 
 


Задача № 1686

Найдите градусные меры углов треугольника CDE, если угол С вдвое больше угла D и втрое меньше угла Е.

Ответ на задание



Задача № 1687

В механическом цехе установлено 400 станков. В первую смену работало 380 станков, а во вторую — 350 станков. Какой процент станков работал в первую смену и какой во вторую?

Ответы на задание



Задача № 1688

Никелевая руда содержит 1,3% никеля. Сколько тонн никеля получится из 24 860 т руды? Сколько тонн этой руды надо переработать, чтобы добыть 2405 т никеля?

Ответ на задачу



Задача № 1689

Магнитный железняк содержит 70% чистого железа. Сколько тонн чистого железа содержится в 4,6 т магнитного железняка?

Ответ на задание



Задача № 1690

Из чайного листа после сушки получается 4,2% чая. Сколько получится чая из 225 кт чайного листа?

Ответ на задачку

Фото: 6190893.jpg (30.6 Kb) · 7557639.jpg (23.7 Kb) · 3895162.jpg (23.7 Kb) · 7540983.jpg (19.9 Kb) · 5514834.jpg (19.0 Kb)
 
 
БрошкаДата: Вторник, 30.12.2014, 10:48 | Сообщение # 339
Генерал-майор
Группа: Проверенные
Сообщений: 378
Награды: 0
Репутация: 0
Статус: Offline


 
Работай из дома! 18+
 
 


Задача № 1691

Привезли 500 т руды с содержанием меди 6,5% и 700 т руды с содержанием меди 4,5%. Из какой руды получится больше меди?

Ответ на задание



Задача № 1692

С помощью микрокалькулятора найдите значение выражения: а) 284,3 • 159,6 +51 189,1 : 32,1 - 651,2 • 34,8; б) 376,64 : 4,4 : 3,2 + 0,479 • 0,37 • 44,5.

Ответы на задание



Задача № 1693

Известно, что 3/8 массы льняного семени составляет масло. Постройте круговую диаграмму содержания масла в льняном семени.

Ответ на задачу



Задача № 1694

Вода занимает 0,7 всей поверхности земного шара. Постройте круговую диаграмму распределения воды и суши на земной поверхности.

Ответ на задание



Задача № 1695

Врачи рекомендуют дневную норму питания распределить на 4 приема: утренний завтрак — 25%, второй завтрак — 15%, обед — 45% и ужин — 15%. Постройте круговую диаграмму распределения дневной нормы питания.

Ответ на задачку

Фото: 2167676.jpg (28.5 Kb) · 7732844.jpg (25.9 Kb) · 2548699.jpg (38.6 Kb) · 0617191.jpg (42.0 Kb) · 0604263.jpg (45.1 Kb)
 
 
БрошкаДата: Вторник, 30.12.2014, 10:52 | Сообщение # 340
Генерал-майор
Группа: Проверенные
Сообщений: 378
Награды: 0
Репутация: 0
Статус: Offline


 
Работай из дома! 18+
 
 


Задача № 1696

Постройте круговую диаграмму площадей материков Земли, предварительно заполнив таблицу (используйте микрокалькулятор):

Ответ на задание



Задача № 1697

Вычислите:

Ответы на задание



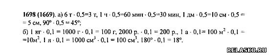
Задача № 1698

Найдите:

а) 50% от 6 т; 1 ч; 1 дм; 90°;
б) 10% от 1 кг; 2000 р.; 1 а; 1л; 180°.

Ответ на задачу



Задача № 1699

Сколько процентов составляют:

а) 8 кг от 1 ц; в) 35 см от 1 м;
б) 15 с от 1 мин; г) 100 л от 1 м3?

Ответ на задание



Задача № 1700

Найдите число, если:

а) 1% этого числа равен 1; 6; 0,7; 1,8;
б) 10% этого числа равны 0,3; 1; 15; 2,4;
в) 25% этого числа равны 2; 10; 25; 0,5; 1,2.

Ответ на задачку

Фото: 2989420.jpg (81.5 Kb) · 2320263.jpg (24.3 Kb) · 4257508.jpg (28.5 Kb) · 8062836.jpg (25.0 Kb) · 2209078.jpg (45.0 Kb)
 
 
БрошкаДата: Вторник, 30.12.2014, 10:54 | Сообщение # 341
Генерал-майор
Группа: Проверенные
Сообщений: 378
Награды: 0
Репутация: 0
Статус: Offline


 
Работай из дома! 18+
 
 


Задача № 1701

Вычислите градусную меру угла АОВ, используя рисунок 186.

Ответ на задание



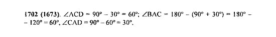
Задача № 1702

ABCD — прямоугольник, ACB = 30° (рис. 187). Найдите градусную меру углов: АСО, ВАС, CAD.

Ответы на задание



Задача № 1703

Начертите угол ABC, равный 120°. На стороне ВА отложите отрезок БМ, равный 3 см, а на стороне ВС — отрезок БЛ/, равный 4 см. Соедините отрезком точки М и N. Измерьте стороны и углы получившегося треугольника и найдите периметр и сумму градусных мер углов этого треугольника.

Ответ на задачу



Задача № 1704

В треугольнике ABC A = 50°, a B = 30°. Вычислите градусную меру угла С.

Ответ на задание



Задача № 1705

Молоко дает 25% сливок, сливки дают 20% масла. Сколько масла получится из молока, надоенного за 15 дней от 360 коров, если каждая корова в среднем дает 15 кг молока в день?

Ответ на задачку

Фото: 7076036.jpg (27.5 Kb) · 5459218.jpg (20.3 Kb) · 1912290.jpg (29.2 Kb) · 2080060.jpg (17.2 Kb) · 0425071.jpg (21.9 Kb)
 
 
БрошкаДата: Вторник, 30.12.2014, 10:58 | Сообщение # 342
Генерал-майор
Группа: Проверенные
Сообщений: 378
Награды: 0
Репутация: 0
Статус: Offline


 
Работай из дома! 18+
 
 


Задача № 1706

В классе 36 учеников. По математике за четверть отметку «5» имеют 8 человек, отметку «4» — 12 человек, а остальные — отметку «3». Постройте круговую диаграмму.

Ответ на задание



Задача № 1707

Постройте круговую диаграмму распределения суши на Земле по следующим данным:

Ответы на задание



Задача № 1708

Экипаж экскаватора работал 480 мин. Из них основная работа заняла 330 мин, вспомогательная работа — 90 мин, простой по техническим причинам — 30 мин и подготовительные работы — 30 мин. Постройте круговую диаграмму распределения рабочего времени этого экипажа.

Ответ на задачу



Задача № 1709

Велосипедист стал догонять пешехода, когда между ними было 2,1 км, и догнал его через 0,25 ч. Найдите скорость велосипедиста и скорость пешехода, если скорость пешехода была в 3,4 раза меньше скорости велосипедиста.

Ответ на задание



Задача № 1710

Сколько градусов содержит угол между часовой и минутной стрелками часов: а) в 9 ч; б) в б ч; в) в 2 ч; г) в 8 ч?

Ответ на задачку

Фото: 3305836.jpg (41.5 Kb) · 6709345.jpg (46.9 Kb) · 6505203.jpg (52.9 Kb) · 9617308.jpg (34.8 Kb) · 5164515.jpg (25.2 Kb)
 
 
БрошкаДата: Вторник, 30.12.2014, 11:00 | Сообщение # 343
Генерал-майор
Группа: Проверенные
Сообщений: 378
Награды: 0
Репутация: 0
Статус: Offline


 
Работай из дома! 18+
 
 


Задача № 1711

Приведите примеры: а) натуральных чисел; б) обыкновенных дробей; в) чисел, не являющихся натуральными; г) десятичных дробей.

Ответ на задание



Задача № 1712

Среди следующих чисел укажите натуральные: 18; 1/2; 1; 0,6; 0; 105; 12,4.

Ответы на задание



Задача № 1713

Пятизначное число оканчивается цифрой 6. В этом числе переставили две последние цифры, но оно не изменилось. Какая цифра стояла в числе перед цифрой 6?

Ответ на задачу



Задача № 1714

На сколько изменится семизначное число, оканчивающееся на - 40, если эти две цифры поменять местами?

Ответ на задание



Задача № 1715

Верно ли, что если цифры, из которых составлено шестизначное число, записать в обратном порядке, то получится опять шестизначное число?

Ответ на задачку

Фото: 1034612.jpg (27.3 Kb) · 7234848.jpg (16.7 Kb) · 2691359.jpg (21.3 Kb) · 5397537.jpg (21.6 Kb) · 1105740.jpg (21.9 Kb)
 
 
БрошкаДата: Вторник, 30.12.2014, 11:12 | Сообщение # 344
Генерал-майор
Группа: Проверенные
Сообщений: 378
Награды: 0
Репутация: 0
Статус: Offline


 
Работай из дома! 18+
 
 


Задача № 1716

В каком порядке выполняются действия в выражении без скобок, если в нем встречаются только сложение и деление?

Ответ на задание



Задача № 1717

Вычислите:

Ответы на задание



Задача № 1718

Вычислите:

Ответ на задачу



Задача № 17019

Сформулируйте и запишите с помощью букв: а) свойства сложения чисел; б) свойства вычитания чисел; в) свойства умножения чисел. Приведите примеры, когда использование свойств арифметических действий упрощает вычисления.

Ответ на задание



Задача № 1720

При каком условии: а) сумма двух чисел равна одному из них; б) разность равна уменьшаемому, нулю; в) произведение равно одному из множителей, нулю; г) частное равно делимому, нулю, единице? Как найти делимое, если известны делитель, неполное частное и остаток?

Ответ на задачку

Фото: 8179227.jpg (21.8 Kb) · 0905204.jpg (37.9 Kb) · 7260072.jpg (72.5 Kb) · 5573048.jpg (25.2 Kb) · 8620785.jpg (34.3 Kb)
 
 
БрошкаДата: Вторник, 30.12.2014, 11:15 | Сообщение # 345
Генерал-майор
Группа: Проверенные
Сообщений: 378
Награды: 0
Репутация: 0
Статус: Offline


 
Работай из дома! 18+
 
 


Задача № 1721

Выполните деление с остатком: а) 27 450 на 89; б) 30 394 на 307

Ответ на задание



Задача № 1722

При делении числа с на 12 получили в частном 7 и в остатке 5 Чему будут равны частное и остаток при делении числа с на 7?

Ответы на задание



Задача № 1723

Найдите значение выражения:

а) 85 4- 203л: + 102х + 91, если х = 76; 201;
б) 79у - (23у - 1эу), если у = 15;

Ответ на задачу



Задача № 1724

Какая дробь называется правильной; неправильной? Как представить в виде неправильной дроби число 2 1/7 ; 4? Как выделить целую часть числа 19/6

Ответ на задание



Задача № 1725

Запишите в виде неправильной дроби число:

Ответ на задачку





Продолжение решебника по Математике для 5-го класса

Фото: 5435985.jpg (18.0 Kb) · 1204759.jpg (19.8 Kb) · 1336610.jpg (28.2 Kb) · 3385856.jpg (32.0 Kb) · 4791404.jpg (32.0 Kb)
 
 
Поиск:

Работай из дома! 18+
 
 
 
 
 
 

 
Последние темы на форуме:
 
  • Новогодние праздники 2021-2022 официальные выходные
  • Показатели давления и сердцебиения у женщины 57 лет
  • Гороскоп на декабрь 2021 Женщина Телец
  • Гороскоп на январь 2022 от Павла Глоба
  • Гороскоп на декабрь 2021 от Павла Глоба
  • Гороскоп на ноябрь 2021 от Павла Глоба
  • Стенограмма судьбы - Содержание серий, актеры и роли сериала
  • Мосгаз. Западня - Содержание серий, актеры и роли 2021
  • Тобол - Содержание серий, актеры и роли сериала. 2021
  • Гороскоп для Тигра на сегодня от Павла Глоба
  • Утраченные воспоминания - Содержание серий, актеры и роли
  • Чёрно-белая любовь - Содержание серий, актеры и роли сериала
  • Забытая женщина - Содержание серий, актеры и роли сериала
  • Тайна спящей дамы - Содержание серий, актеры и роли сериала
  • Сериал Часы с кукушкой - Содержание серий, актеры и роли
  •  
     

     
    Обращаем ваше внимание на то, что данный интернет-сайт www.kinolog.do.am носит исключительно информационный характер и ни при каких условиях не является публичной офертой, определяемой положениями Статьи 437 (2) Гражданского кодекса РФ. Цена и наличие товара может отличаться от действительной. Пожалуйста, уточняйте цены и наличие товара у наших менеджеров.
    Администрация сайта не несет ответственности за действия и содержание размещаемой информации пользователей: комментарии, материалы, сообщения и темы на форуме, публикации, объявления и т.д.
    Правообладателям | Реклама | Учебники | Политика
    Отопление, водоснабжение, газоснабжение, канализация © 2003 - 2021
    Рейтинг@Mail.ru Рейтинг арматурных сайтов. ARMTORG.RU Яндекс.Метрика