[ Новые сообщения · Участники · Правила форума · Поиск · RSS ]
 
Работай из дома! 18+

ГДЗ по Математике. 5 класс
БрошкаДата: Вторник, 23.12.2014, 13:58 | Сообщение # 31
Генерал-майор
Группа: Проверенные
Сообщений: 378
Награды: 0
Репутация: 0
Статус: Offline


 
Работай из дома! 18+
 
 




Задача № 146

Какая из точек С и D лежит правее на координатном луче:

а) С(3) или D(2); г) С(143) или D(234);
б) С(31) или D(27); д) С(283) или D(265);
в) С(75) или D(57); е) С(1990) или D(1989)?

Ответ на задание



Задача № 147

Выясните, какое из двух чисел меньше, и запишите ответ с помощью знака >:

а) 1 или 99; г) 7867 или 7876;
б) 302 или 299; д) 5 678 000 или 5 675 991;
в) 5891 или 654; е) 45 000 823 000 или 45 000 328 001. Прочитайте получившееся неравенство.

Ответы на задание



Задача № 148

Выясните, какое из чисел больше, и запишите ответ с помощью знака >:

а) 0 или 18; г) 11 871 или 11 859;
б) 74 или 23; д) 2 613 008 или 2 613 001;
в) 147 или 174; е) 6 756 540 623 или 6 756 540 633. Прочитайте получившееся неравенство.

Ответ на задачу



Задача № 149

В числах стерли несколько цифр и вместо них поставили звездочки. Выясните, какое из чисел больше, и запишите ответ с помощью одного из знаков > или <:

а) 71*** или 75***; б) *3*** или *8*.

Ответ на задание



Задача № 150

Прочитайте записи:

а) 17 < 18 < 20; б) 346 < 358 < 400.

Ответ на задачку

Фото: 4324870.jpg (24.8 Kb) · 3464615.jpg (22.1 Kb) · 9945202.jpg (21.7 Kb) · 0857104.jpg (15.3 Kb) · 2157321.jpg (23.9 Kb)
 
 
БрошкаДата: Вторник, 23.12.2014, 14:04 | Сообщение # 32
Генерал-майор
Группа: Проверенные
Сообщений: 378
Награды: 0
Репутация: 0
Статус: Offline


 
Работай из дома! 18+
 
 


Задача № 151

Назовите все натуральные числа, которые лежат между:

а) 11 и 19; б) 2089 и 2091.

Ответ на задание



Задача № 152

Запишите с помощью двойного неравенства:

а) число 10 больше, чем 5, и меньше, чем 15;
б) число 11 меньше, чем 18, и больше, чем 8;
в) число 21 меньше, чем 28, а число 28 меньше, чем 45.

Ответы на задание



Задача № 153

Отметьте на координатном луче все натуральные числа, которые: а) меньше 9; б) больше 10, но меньше 14.

Ответ на задачу



Задача № 154

Я задумал число, оканчивающееся цифрой 5. Оно больше, чем 210, и меньше, чем 220. Какое это число?

Ответ на задание



Задача № 155

В следующей таблице указан рост учащихся. Назовите их фамилии: а) в порядке возрастания их роста; б) в порядке убывания их роста.
N2
Фамилия
Рост, см

Фамилия
Рост, см
1
Антонов
124
4
Гришин
123
2
Борисов
135
5
Демина
136
3
Воронина
127
6
Ермилова
141

Ответ на задачку

Фото: 7856637.jpg (19.4 Kb) · 8008070.jpg (16.9 Kb) · 7438877.jpg (20.3 Kb) · 3582523.jpg (18.5 Kb) · 8934488.jpg (22.6 Kb)
 
 
БрошкаДата: Вторник, 23.12.2014, 14:20 | Сообщение # 33
Генерал-майор
Группа: Проверенные
Сообщений: 378
Награды: 0
Репутация: 0
Статус: Offline


 
Работай из дома! 18+
 
 


Задача № 156

Верно ли, что:

а) 341 + 569 = 910; г) 98 • 57 = 23 790 : 78;
б) 25 • 42 = 10 500; д) 23 • 27 < 630;
в) 192 : 32 = 38 - 32; е) 1288 : 56 > 40?

Ответ на задание



Задача № 157

Сравните с помощью циркуля отрезки на рисунке 29. Назовите эти отрезки в порядке возрастания их длины.

Ответы на задание



Задача № 158

Точка С лежит между точками А и В, а точка D — между точками С и В. Какой отрезок длиннее: АВ или CD, AD или AC, CD или СВ?

Ответ на задачу



Задача № 159

Вычислите устно:

а) 208 : 208; 890 : 1; 0 : 60; 1:1+00; 10-0:1;
б) 15 • 6 ;14 -5;25 -4; 25-5; 85 • 0
в) 40 000 : 4;15 000 : 1000; 1000 : 10; 1000 : 100; 1000 : 1000;
г) 26 - 7; 72 - 8; 43 - 17; 100 - 7; 200 - 6.

Ответ на задание



Задача № 160

Заполните таблицу:
Делимое
48
50
88
60
Делитель
8
7
5
9
Частное
9
5
12
8
10

Ответ на задачку

Фото: 0849945.jpg (23.3 Kb) · 7295711.jpg (15.2 Kb) · 2765573.jpg (15.8 Kb) · 3704739.jpg (32.6 Kb) · 1668480.jpg (27.7 Kb)
 
 
БрошкаДата: Вторник, 23.12.2014, 14:26 | Сообщение # 34
Генерал-майор
Группа: Проверенные
Сообщений: 378
Награды: 0
Репутация: 0
Статус: Offline


 
Работай из дома! 18+
 
 


Задача № 161

Начертите координатный луч и отметьте на нем точки -4(3); 0(0); 6(7); £(1); С(10). На этом же луче отметьте точки, которые удалены от точки В:

а) на 2 единичных отрезка;
б) на 8 единичных отрезков.

Найдите координаты этих точек.

Ответ на задание



Задача № 162

Напишите самое большое и самое маленькое числа среди: а) трехзначных чисел; б) пятизначных чисел.

Ответы на задание



Задача № 163

У Андрюши в коллекции 123 почтовые марки, а у Алеши в 3 раза меньше. На сколько марок у Андрюши больше, чем у Алеши?

Ответ на задачу



Задача № 164

По плану бригада из 13 рабочих должна была изготовить 1248 деталей за 10 ч. Благодаря уменьшению потерь рабочего времени бригада выполнила задание на 2 ч раньше. Сколько деталей изготавливал в час каждый рабочий?

Ответ на задание



Задача № 165

Сколькими способами можно прочитать слово «знак» на рисунке? Сравните решение этой задачи с решением задачи 11.

Ответ на задачку

Фото: 9099412.jpg (29.5 Kb) · 5331368.jpg (15.7 Kb) · 8898600.jpg (18.9 Kb) · 5985496.jpg (25.0 Kb) · 0688042.jpg (27.1 Kb)
 
 
БрошкаДата: Вторник, 23.12.2014, 14:34 | Сообщение # 35
Генерал-майор
Группа: Проверенные
Сообщений: 378
Награды: 0
Репутация: 0
Статус: Offline


 
Работай из дома! 18+
 
 


Задача № 166

Решите задачу:

1) От туристского лагеря до города 84 км. Турист ехал на велосипеде из лагеря в город со скоростью 12 км/ч, а возвращался по той же дороге со скоростью 14 км/ч. На какой путь турист затратил больше времени и на сколько часов?
2) Игорь живет на расстоянии 48 км от районного центра. Путь от дома до районного центра он проехал на велосипеде со скоростью 16 км/ч, а обратный путь по той же дороге он проехал со скоростью 12 км/ч. На какой путь Игорь затратил меньше времени и на сколько часов?

Ответ на задание



Задача № 167

Выполните действия: 1) 4428 : 123 - 33; 3) (8032 - 595) : 37; 2) 4000 - 3249 : 57; 4) 10 486 : (2455 - 2357).

Ответы на задание



Задача № 168

Какая точка лежит левее на координатном луче: а) А(58) или В(60); в) Е(3420) или F(3402); б) С(351) или £(349); г) К(9898) или L(9988)?

Ответ на задачу



Задача № 169

Какая точка лежит правее на координатном луче: а) А(37) или 0(0); в) М(8558) или N(8585); б) С(101) или D(110); г) K(6000) или Р(5999)?

Ответ на задание



Задача № 170

Назовите число, оканчивающееся цифрой 3, которое больше, чем 114, и меньше, чем 133.

Ответ на задачку

Фото: 8292167.jpg (37.3 Kb) · 0065989.jpg (24.1 Kb) · 7225214.jpg (21.2 Kb) · 4610339.jpg (21.5 Kb) · 6005551.jpg (19.2 Kb)
 
 
БрошкаДата: Вторник, 23.12.2014, 14:38 | Сообщение # 36
Генерал-майор
Группа: Проверенные
Сообщений: 378
Награды: 0
Репутация: 0
Статус: Offline


 
Работай из дома! 18+
 
 


Задача № 171

Отметьте на координатном луче все натуральные числа, которые: а) меньше 7; б) больше 3 и меньше 9; в) больше 9 и меньше 11.

Ответ на задание



Задача № 172

Сравните числа и поставьте вместо звездочки знак < или знак >: а) 50 107 * 48 004; г) 30 000 * 29 876; б) 63 001 * 63 002; д) 2 085 003 * 2 086 003; в) 41 527 * 41 638; е) 30 000 002 * 30 000 001.

Ответы на задание



Задача № 173

Назовите четырехзначное число, которое оканчивается цифрой 1 и которое больше, чем 9981.

Ответ на задачу



Задача № 174

Какую координату имеет каждая из точек А, Б, С и D, отмеченная на рисунке 30?

Ответ на задание



Задача № 175

Верно ли, что: а) 896 - 269 = 227; в) 32 • 55 = 7040; б) 67 • 45 = 2875; г) 1001 : 13 = 100 - 23?

Ответ на задачку

Фото: 8449698.jpg (22.3 Kb) · 1743138.jpg (23.9 Kb) · 8449068.jpg (19.2 Kb) · 4218844.jpg (15.8 Kb) · 3857759.jpg (21.3 Kb)
 
 
БрошкаДата: Вторник, 23.12.2014, 14:43 | Сообщение # 37
Генерал-майор
Группа: Проверенные
Сообщений: 378
Награды: 0
Репутация: 0
Статус: Offline


 
Работай из дома! 18+
 
 


Задача № 176

Почтовый голубь должен доставить донесение на расстояние 130 км. Скорость голубя 50 км/ч. Успеет ли голубь доставить это донесение: а) за 2 ч; б) за 3 ч?

Ответ на задание



Задача № 177

От Харькова до Севастополя по железной дороге 781 км, а от Харькова до Москвы на 20 км больше. Найдите длину пути по железной дороге от Севастополя до Москвы через Харьков.

Ответы на задание



Задача № 178

Андрей ехал на автомашине из станицы в город со скоростью 55 км/ч. На всю дорогу он потратил 2 ч. Из города в станицу он ехал по той же дороге, но на мопеде со скоростью 22 км/ч. За сколько времени Андрей доедет до станицы?

Ответ на задачу



Задача № 179

Всадник проехал 80 км за 5 ч. Сколько времени потратит на этот путь мотоциклист, если его скорость на 24 км/ч больше, чем скорость всадника?

Ответ на задание



Задача № 180

Выполните действия: а) (829 - 239) • 75; в) 3969 : (305 - 158); б) 2000 - (859 + 1085) : 243; г) 8991 : 111 : 3.

Ответ на задачку

Фото: 2681350.jpg (29.3 Kb) · 4763258.jpg (24.8 Kb) · 1661620.jpg (21.6 Kb) · 3807946.jpg (24.3 Kb) · 9031855.jpg (22.6 Kb)
 
 
БрошкаДата: Вторник, 23.12.2014, 14:47 | Сообщение # 38
Генерал-майор
Группа: Проверенные
Сообщений: 378
Награды: 0
Репутация: 0
Статус: Offline


 
Работай из дома! 18+
 
 


Задача № 181

Решите кроссворд, помещенный на форзаце в конце учебника.

Ответ на задание



Задача № 182

Найдите суммы: 999 + 1; 78 099 + 1; 999 999 + 1.

Ответы на задание



Задача № 183

Найдите сумму 76 + 24. Сколько единиц надо прибавить к числу 76, чтобы получить 100?

Ответ на задачу



Задача № 184

Купили 3 кг картофеля, 3 кг свеклы, 4 кг моркови, 5 кг яблок, 6 кг капусты, 2 кг груш и 4 кг слив. Сколько было куплено килограммов овощей и сколько килограммов фруктов?

Ответ на задание



Задача № 185

Две девочки собирали в лесу малину. Первая девочка собрала 1 кг 250 г малины, а вторая — на 300 г больше. Сколько граммов малины собрали две девочки вместе?

Ответ на задачку

Фото: 7026518.jpg (22.4 Kb) · 4433036.jpg (18.6 Kb) · 4299348.jpg (20.3 Kb) · 6470391.jpg (19.5 Kb) · 0720891.jpg (22.7 Kb)
 
 
БрошкаДата: Вторник, 23.12.2014, 14:50 | Сообщение # 39
Генерал-майор
Группа: Проверенные
Сообщений: 378
Награды: 0
Репутация: 0
Статус: Offline


 
Работай из дома! 18+
 
 


Задача № 186

В одной пачке 23 книги и в ней на 8 книг меньше, чем во второй, а в третьей пачке на 6 книг больше, чем во второй. Сколько всего книг в трех пачках?

Ответ на задание



Задача № 187

В первый день собрали 127 т картофеля, что на 32 т меньше, чем во второй день. В третий день собрано на 40 т больше, чем в первый день. Сколько всего тонн картофеля было собрано за эти три дня?

Ответы на задание



Задача № 188

Начертите координатный луч и отметьте на нем точку С(6), отложите от этой точки вправо 5 единичных отрезков и отметьте точку D. Чему равна координата точки D?

Ответ на задачу



Задача № 189

Начертите координатный луч и отметьте на нем точки М(7) и Г(15). Сколько единичных отрезков надо отложить от точки М и в какую сторону, чтобы попасть в точку Т?

Ответ на задание



Задача № 190

Изобразите на координатном луче сложение: 4 + 3; 4 + 6; 4 + 8; 8 + 4.

Ответ на задачку

Фото: 0874183.jpg (20.6 Kb) · 2204654.jpg (22.3 Kb) · 5235523.jpg (17.1 Kb) · 5054551.jpg (24.6 Kb) · 8636412.jpg (28.3 Kb)
 
 
БрошкаДата: Вторник, 23.12.2014, 14:55 | Сообщение # 40
Генерал-майор
Группа: Проверенные
Сообщений: 378
Награды: 0
Репутация: 0
Статус: Offline


 
Работай из дома! 18+
 
 


Задача № 191

Выполните действия: а) (457 + 705) + 295; б) 554 + (46 + 1425)

Ответ на задание



Задача № 192

Вычислите сумму, выбирая удобный порядок выполнения действий: а) 385 + 548 + 615; б) 221 + 427 + 373.

Ответы на задание



Задача № 193

Вычислите: а) 458 + 333 + 42 + 67; б) 635 + 308 + 1365 + 392; в) 411 + 419 + 145 + 725 + 87; г) 11 + 12 + 13 + 14 + 15 + 16 + 17 + 18 + 19

Ответ на задачу



Задача № 194

Вычислите: а) 458 + 333 + 42 + 67; б) 635 + 308 + 1365 + 392; в) 411 + 419 + 145 + 725 + 87; г) 11 + 12 + 13 + 14 + 15 + 16 + 17 + 18 + 19

Ответ на задание



Задача № 195

Какое число разложили по разрядам: а) 7 000 000 + 600 000 + 40 000 + 5000 + 300 + 20 + 7; б) 4 000 000 000 + 5 000 000 + 4?

Ответ на задачку

Фото: 8759575.jpg (22.1 Kb) · 7901476.jpg (19.5 Kb) · 0791240.jpg (36.6 Kb) · 7198781.jpg (33.3 Kb) · 0314506.jpg (21.9 Kb)
 
 
БрошкаДата: Вторник, 23.12.2014, 15:07 | Сообщение # 41
Генерал-майор
Группа: Проверенные
Сообщений: 378
Награды: 0
Репутация: 0
Статус: Offline


 
Работай из дома! 18+
 
 


Задача № 196

Выполните сложение: а) 3 419 845 099 + 11 087 609 311; б) 94 029 547 608 + 8 997 684 513; в) 63 000 768 676 + 51 673 008; г) 3 245 983 754 + 188 976 233 467.

Ответ на задание



Задача № 197

Замените звездочки цифрами так, чтобы получились правильно выполненные примеры на сложение:

Ответы на задание



Задача № 198

В таблице указана стоимость (в млн рублей) продукции мебельной фабрики за январь, февраль и март. Заполните пустые клетки таблицы:

Ответ на задачу



Задача № 199

Заполните пустые клетки таблицы:

Ответ на задание



Задача № 200

Какая из сумм 18 + 24 или 18 + 35 больше? Какая из сумм 18 4- 24 или 21 + 35 больше? Что происходит с суммой при увеличении слагаемых? А при их уменьшении?

Ответ на задачку

Фото: 3896207.jpg (28.9 Kb) · 4512217.jpg (21.4 Kb) · 5566791.jpg (36.1 Kb) · 4000938.jpg (30.0 Kb) · 3008135.jpg (18.2 Kb)


 
 
БрошкаДата: Вторник, 23.12.2014, 15:39 | Сообщение # 42
Генерал-майор
Группа: Проверенные
Сообщений: 378
Награды: 0
Репутация: 0
Статус: Offline


 
Работай из дома! 18+
 
 


Задача № 201

Какая из сумм больше: 509 + 971 или 453 4- 872? Ответьте, не выполняя вычислений.

Ответ на задание



Задача № 202

Не вычисляя, расположите суммы в порядке возрастания: а) 78 + 65; г) 37 + 42; б) 78 + 42; д) 144 + 83. в) 144 + 65;

Ответы на задание



Задача № 203

Докажите, что: а) 5000 + 7000 < 5374 + 7980 < 6000 + 8000; б) 17 000 < 6809 + 11 861 < 19 000.

Ответ на задачу



Задача № 204

Ученик, складывая числа 9875 и 6371, получил ответ 97 246. Каким путем он может сразу обнаружить свою ошибку?

Ответ на задание



Задача № 205

Точка В делит отрезок АК на две части. Отрезок АВ равен 27 мм, а отрезок ВК на 30 мм длиннее отрезка АВ. Найдите длину отрезка АК.

Ответ на задачку

Фото: 7101032.jpg (22.7 Kb) · 0226441.jpg (17.5 Kb) · 2505504.jpg (22.2 Kb) · 8503073.jpg (23.1 Kb) · 9447898.jpg (17.0 Kb)
 
 
БрошкаДата: Вторник, 23.12.2014, 15:43 | Сообщение # 43
Генерал-майор
Группа: Проверенные
Сообщений: 378
Награды: 0
Репутация: 0
Статус: Offline


 
Работай из дома! 18+
 
 


Задача № 206

Точки М и К делят отрезок АВ на три части: АМУ МК и КВ. Найдите длину отрезка АВУ если AM = 3 см 5 мм, отрезок МК на 13 мм длиннее отрезка AM, а отрезок АК на 8 мм короче отрезка КВ.

Ответ на задание



Задача № 207

Длина прямоугольного садового участка 86 м, а ширина 9 м. Найдите длину забора этого участка.

Ответы на задание



Задача № 208

Одна из сторон прямоугольника 24 см, а другая в 3 раза больше. Найдите периметр прямоугольника.

Ответ на задачу



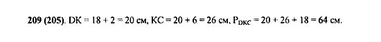
Задача № 209

В треугольнике DKC сторона DK меньше стороны КС на 6 см и больше стороны DC на 2 см. Найдите периметр треугольника DKC, если DC = 18 см.

Ответ на задание



Задача № 210

Начертите квадрат со стороной 3 см. Вычислите его периметр.

Ответ на задачку

Фото: 7349791.jpg (20.9 Kb) · 7869035.jpg (18.8 Kb) · 6259877.jpg (21.9 Kb) · 2597023.jpg (19.0 Kb) · 2395209.jpg (21.3 Kb)
 
 
БрошкаДата: Вторник, 23.12.2014, 16:03 | Сообщение # 44
Генерал-майор
Группа: Проверенные
Сообщений: 378
Награды: 0
Репутация: 0
Статус: Offline


 
Работай из дома! 18+
 
 


Задача № 211

В четырехугольнике ABCD сторона AD на 4 см 6 мм больше стороны АВ> а АВ = ВС = CD = 13 см. Найдите периметр четырехугольника ABCD.

Ответ на задание



Задача № 212

Вычислите устно:

Ответы на задание



Задача № 213

Выполните деление: а) 1 т : 200 кг; в) 8 ц : 16 кг; б) 1 км : 100 м; г) 36 км : 600 м.

Ответ на задачу



Задача № 214

Какое число стоит в конце цепочки?

Ответ на задание



Задача № 215

Из чисел, оканчивающихся цифрой 5, выпишите такие, которые больше 160, но меньше 200.

Ответ на задачку

Фото: 2068590.jpg (19.3 Kb) · 1622702.jpg (35.9 Kb) · 2562756.jpg (24.3 Kb) · 5254440.jpg (38.6 Kb) · 0489895.jpg (15.9 Kb)
 
 
БрошкаДата: Вторник, 23.12.2014, 16:07 | Сообщение # 45
Генерал-майор
Группа: Проверенные
Сообщений: 378
Награды: 0
Репутация: 0
Статус: Offline


 
Работай из дома! 18+
 
 


Задача № 216

Город был основан 8 веков назад. Строительство крепости в городе продолжалось пятую часть времени его существования. Сколько лет строилась крепость?

Ответ на задание



Задача № 217

Существует ли натуральное число, которое равно сумме всех предшествующих ему натуральных чисел?

Ответы на задание



Задача № 218

Как изменится двузначное число, если к нему приписать: а) два нуля; б) такое же число?

Ответ на задачу



Задача № 219

Составьте условие задачи, которая решается с помощью выражения: а) 120 + 35; б) 80 + 25 + 60; в) 140 - 50; г) 90 - 20 - 45.

Ответ на задание

$IMAGE4$

Задача № 220

Сравните числа, поставив вместо звездочки знак < или >: 375 * 383; 123 * 103; 3789 * 3798.

Ответ на задачку




Продолжение решебника по Математике

Фото: 1685283.jpg (17.5 Kb) · 0964601.jpg (18.9 Kb) · 4564736.jpg (25.8 Kb) · 1880035.jpg (17.1 Kb)
 
 
Поиск:

Работай из дома! 18+
 
 
 
 
 
 

 
Последние темы на форуме:
 
  • Новогодние праздники 2021-2022 официальные выходные
  • Показатели давления и сердцебиения у женщины 57 лет
  • Гороскоп на декабрь 2021 Женщина Телец
  • Гороскоп на январь 2022 от Павла Глоба
  • Гороскоп на декабрь 2021 от Павла Глоба
  • Гороскоп на ноябрь 2021 от Павла Глоба
  • Стенограмма судьбы - Содержание серий, актеры и роли сериала
  • Мосгаз. Западня - Содержание серий, актеры и роли 2021
  • Тобол - Содержание серий, актеры и роли сериала. 2021
  • Гороскоп для Тигра на сегодня от Павла Глоба
  • Утраченные воспоминания - Содержание серий, актеры и роли
  • Чёрно-белая любовь - Содержание серий, актеры и роли сериала
  • Забытая женщина - Содержание серий, актеры и роли сериала
  • Тайна спящей дамы - Содержание серий, актеры и роли сериала
  • Сериал Часы с кукушкой - Содержание серий, актеры и роли
  •  
     

     
    Обращаем ваше внимание на то, что данный интернет-сайт www.kinolog.do.am носит исключительно информационный характер и ни при каких условиях не является публичной офертой, определяемой положениями Статьи 437 (2) Гражданского кодекса РФ. Цена и наличие товара может отличаться от действительной. Пожалуйста, уточняйте цены и наличие товара у наших менеджеров.
    Администрация сайта не несет ответственности за действия и содержание размещаемой информации пользователей: комментарии, материалы, сообщения и темы на форуме, публикации, объявления и т.д.
    Правообладателям | Реклама | Учебники | Политика
    Отопление, водоснабжение, газоснабжение, канализация © 2003 - 2021
    Рейтинг@Mail.ru Рейтинг арматурных сайтов. ARMTORG.RU Яндекс.Метрика