[ Новые сообщения · Участники · Правила форума · Поиск · RSS ]
 
Работай из дома! 18+

  • Страница 2 из 4
  • «
  • 1
  • 2
  • 3
  • 4
  • »
ГДЗ по Физике. Основное уравнение динамики
ВаляДата: Вторник, 07.04.2015, 15:01 | Сообщение # 16
Лейтенант
Группа: Проверенные
Сообщений: 66
Награды: 0
Репутация: 0
Статус: Offline


 
Работай из дома! 18+
 
 




Выберите задание из учебника:

51-60 61-70 71-80 81-90

91-100 101-110 111-120



Задача № 1.73

 Условие задачи:

В системе рис. 1.16 массы тел равны m0, m1, m2, трения нет, массы блоков и нитей пренебрежимо малы. Найти ускорение тела m1.

Исследовать возможные случаи.

 Решение задачи и правильный ответ:

Фото: 3576153.gif (10.2 Kb) · 3608319.jpg (9.5 Kb)


 
 
ВаляДата: Вторник, 07.04.2015, 15:02 | Сообщение # 17
Лейтенант
Группа: Проверенные
Сообщений: 66
Награды: 0
Репутация: 0
Статус: Offline


 
Работай из дома! 18+
 
 


Задача № 1.74

 Условие задачи:

В установке (рис. 1.17) известны массы стержня M и шарика m, причем M > m. Шарик имеет отверстие и может скользить по нити с некоторым трением. Масса блока и трение в его оси пренебрежимо малы. В начальный момент шарик находился напротив нижнего конца стержня. После того как систему предоставили самой себе, оба тела стали двигаться с постоянными ускорениями.

Найти силу трения между шариком и нитью, если через t секунд после начала движения шарик оказался напротив верхнего конца стержня. Длина стержня равна l.

 Решение задачи и правильный ответ:



Фото: 6734713.gif (30.3 Kb)
 
 
ВаляДата: Вторник, 07.04.2015, 15:03 | Сообщение # 18
Лейтенант
Группа: Проверенные
Сообщений: 66
Награды: 0
Репутация: 0
Статус: Offline


 
Работай из дома! 18+
 
 


Задача № 1.75

 Условие задачи:

В установке (рис. 1.18) шарик 1 имеет массу в η = 1,8 раза больше массы стержня 2. Длина последнего l = 100 см.

Массы блоков и нитей, а также трение пренебрежимо малы.

Шарик установили на одном уровне с нижним концом стержня и отпустили.

Через сколько времени он поравняется с верхним концом стержня?

 Решение задачи и правильный ответ:



Фото: 2993729.gif (34.3 Kb)
 
 
ВаляДата: Вторник, 07.04.2015, 15:03 | Сообщение # 19
Лейтенант
Группа: Проверенные
Сообщений: 66
Награды: 0
Репутация: 0
Статус: Offline


 
Работай из дома! 18+
 
 


Задача № 1.76

 Условие задачи:

В системе (рис. 1.19) масса тела 1 в η = 4,0 раза больше массы тела 2. Высота h = 20 см. Массы блоков и нитей, а также трение пренебрежимо малы.

В некоторый момент тело 2 отпустили, и система пришла в движение.

На какую максимальную высоту от пола поднимется тело 2?

 Решение задачи и правильный ответ:



Фото: 6942073.gif (13.8 Kb)
 
 
ВаляДата: Вторник, 07.04.2015, 15:04 | Сообщение # 20
Лейтенант
Группа: Проверенные
Сообщений: 66
Награды: 0
Репутация: 0
Статус: Offline


 
Работай из дома! 18+
 
 


Задача № 1.77

 Условие задачи:

Найти ускорения стержня А и клина В в установке (рис. 1.20), если отношение массы клина к массе стержня равно η и трение между всеми соприкасающимися поверхностями пренебрежимо мало.

 Решение задачи и правильный ответ:



Фото: 9859344.gif (36.6 Kb)
 
 
ВаляДата: Вторник, 07.04.2015, 15:04 | Сообщение # 21
Лейтенант
Группа: Проверенные
Сообщений: 66
Награды: 0
Репутация: 0
Статус: Offline


 
Работай из дома! 18+
 
 


Задача № 1.79

 Условие задачи:

С каким минимальным ускорением следует перемещать в горизонтальном направлении брусок А (рис. 1.22), чтобы тела 1 и 2 не двигались относительно него?

Массы тел одинаковы, коэффициент трения между бруском и обоими телами равен k.

Массы блока и нитей пренебрежимо малы, трения в блоке нет.

 Решение задачи и правильный ответ:



Фото: 2331410.gif (24.2 Kb)
 
 
ВаляДата: Вторник, 07.04.2015, 15:05 | Сообщение # 22
Лейтенант
Группа: Проверенные
Сообщений: 66
Награды: 0
Репутация: 0
Статус: Offline


 
Работай из дома! 18+
 
 


Задача № 1.80

 Условие задачи:

Призме 1, на которой находится брусок 2 массы m, сообщили направленное влево горизонтальное ускорение w (рис. 1.23).

При каком максимальном значении этого ускорения брусок будет оставаться еще неподвижным относительно призмы, если коэффициент трения между ними k < ctg α?

 Решение задачи и правильный ответ:



Фото: 0475061.jpg (115.5 Kb)
 
 
ВаляДата: Вторник, 07.04.2015, 15:06 | Сообщение # 23
Лейтенант
Группа: Проверенные
Сообщений: 66
Награды: 0
Репутация: 0
Статус: Offline


 
Работай из дома! 18+
 
 


Задача № 1.81

 Условие задачи:

На горизонтальной поверхности находится призма 1 массы m1 с углом α (см. рис. 1.23) и на ней брусок 2 массы m2.

Пренебрегая трением, найти ускорение призмы.

 Решение задачи и правильный ответ:



Фото: 3547376.gif (9.4 Kb)
 
 
ВаляДата: Вторник, 07.04.2015, 15:06 | Сообщение # 24
Лейтенант
Группа: Проверенные
Сообщений: 66
Награды: 0
Репутация: 0
Статус: Offline


 
Работай из дома! 18+
 
 


Задача № 1.84

 Условие задачи:

Самолет делает «мертвую петлю» радиуса R = 500 м с постоянной скоростью v = 360 км/ч.

Найти вес летчика массы m = 70 кг в нижней, верхней и средней точках петли.

 Решение задачи и правильный ответ:



Фото: 9520360.gif (1.5 Kb)
 
 
ВаляДата: Вторник, 07.04.2015, 15:07 | Сообщение # 25
Лейтенант
Группа: Проверенные
Сообщений: 66
Награды: 0
Репутация: 0
Статус: Offline


 
Работай из дома! 18+
 
 


Задача № 1.85

 Условие задачи:

Небольшой шарик массы m, подвешенный на нити, отвели в сторону так, что нить образовала прямой угол с вертикалью, и затем отпустили. Найти:

а) полное ускорение шарика и натяжение нити в зависимости от ϑ — угла отклонения нити от вертикали;

б) натяжение нити в момент, когда вертикальная составляющая скорости шарика максимальна;

в) угол ϑ между нитью и вертикалью в момент, когда вектор полного ускорения шарика направлен горизонтально.

 Решение задачи и правильный ответ:



Фото: 2986986.gif (100.4 Kb)
 
 
ВаляДата: Вторник, 07.04.2015, 15:08 | Сообщение # 26
Лейтенант
Группа: Проверенные
Сообщений: 66
Награды: 0
Репутация: 0
Статус: Offline


 
Работай из дома! 18+
 
 


Задача № 1.86

 Условие задачи:

Шарик, подвешенный на нити, качается в вертикальной плоскости так, что его ускорения в крайнем и нижнем положениях равны по модулю друг другу.

Найти угол отклонения нити в крайнем положении.

 Решение задачи и правильный ответ:



Фото: 4367823.jpg (29.5 Kb)
 
 
ВаляДата: Вторник, 07.04.2015, 15:08 | Сообщение # 27
Лейтенант
Группа: Проверенные
Сообщений: 66
Награды: 0
Репутация: 0
Статус: Offline


 
Работай из дома! 18+
 
 


Задача № 1.87

 Условие задачи:

Небольшое тело А начинает скользить с вершины гладкой сферы радиуса R.

Найти угол ϑ (рис. 1.25), соответствующий точке отрыва тела от сферы, и скорость тела в момент отрыва.

 Решение задачи и правильный ответ:



Фото: 7673774.gif (30.5 Kb)
 
 
ВаляДата: Вторник, 07.04.2015, 15:09 | Сообщение # 28
Лейтенант
Группа: Проверенные
Сообщений: 66
Награды: 0
Репутация: 0
Статус: Offline


 
Работай из дома! 18+
 
 


Задача № 1.88

 Условие задачи:

Прибор (рис. 1.26) состоит из гладкого Г-образного стержня, расположенного в горизонтальной плоскости, и муфточки А массы m, соединенной невесомой пружинкой с точкой В. Жесткость пружинки χ. Вся система вращается с постоянной угловой скоростью ω вокруг вертикальной оси, проходящей через точку О.

Найти относительное удлинение пружинки.

Как зависит результат от направления вращения?

 Решение задачи и правильный ответ:



Фото: 1463574.jpg (51.5 Kb)
 
 
ВаляДата: Вторник, 07.04.2015, 15:10 | Сообщение # 29
Лейтенант
Группа: Проверенные
Сообщений: 66
Награды: 0
Репутация: 0
Статус: Offline


 
Работай из дома! 18+
 
 


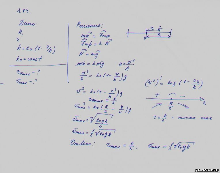
Задача № 1.89

 Условие задачи:

Велосипедист едет по круглой горизонтальной площадке, радиус которой R, а коэффициент трения зависит только от расстояния r до центра О площадки по закону k = k0 (1 — r/R), где k0 — постоянная.

Найти радиус окружности с центром в точке О, по которой велосипедист может ехать с максимальной скоростью. Какова эта скорость?

 Решение задачи и правильный ответ:



Фото: 0111184.jpg (87.8 Kb)
 
 
ВаляДата: Вторник, 07.04.2015, 15:10 | Сообщение # 30
Лейтенант
Группа: Проверенные
Сообщений: 66
Награды: 0
Репутация: 0
Статус: Offline


 
Работай из дома! 18+
 
 


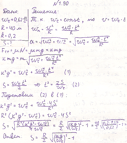
Задача № 1.90

 Условие задачи:

Автомашина движется с постоянным тангенциальным ускорением wτ = 0,62 м/с2 по горизонтальной поверхности, описывая окружность радиуса R = 40 м.

Коэффициент трения скольжения между колесами машины и поверхностью k = 0,20. Какой путь пройдет машина без скольжения, если в начальный момент ее скорость равна нулю?

 Решение задачи и правильный ответ:




Продолжение решебника по Физике

Фото: 6179656.gif (63.3 Kb)


 
 
  • Страница 2 из 4
  • «
  • 1
  • 2
  • 3
  • 4
  • »
Поиск:

Работай из дома! 18+
 
 
 
 
 
 

 
Последние темы на форуме:
 
  • Новогодние праздники 2021-2022 официальные выходные
  • Показатели давления и сердцебиения у женщины 57 лет
  • Гороскоп на декабрь 2021 Женщина Телец
  • Гороскоп на январь 2022 от Павла Глоба
  • Гороскоп на декабрь 2021 от Павла Глоба
  • Гороскоп на ноябрь 2021 от Павла Глоба
  • Стенограмма судьбы - Содержание серий, актеры и роли сериала
  • Мосгаз. Западня - Содержание серий, актеры и роли 2021
  • Тобол - Содержание серий, актеры и роли сериала. 2021
  • Гороскоп для Тигра на сегодня от Павла Глоба
  • Утраченные воспоминания - Содержание серий, актеры и роли
  • Чёрно-белая любовь - Содержание серий, актеры и роли сериала
  • Забытая женщина - Содержание серий, актеры и роли сериала
  • Тайна спящей дамы - Содержание серий, актеры и роли сериала
  • Сериал Часы с кукушкой - Содержание серий, актеры и роли
  •  
     

     
    Обращаем ваше внимание на то, что данный интернет-сайт www.kinolog.do.am носит исключительно информационный характер и ни при каких условиях не является публичной офертой, определяемой положениями Статьи 437 (2) Гражданского кодекса РФ. Цена и наличие товара может отличаться от действительной. Пожалуйста, уточняйте цены и наличие товара у наших менеджеров.
    Администрация сайта не несет ответственности за действия и содержание размещаемой информации пользователей: комментарии, материалы, сообщения и темы на форуме, публикации, объявления и т.д.
    Правообладателям | Реклама | Учебники | Политика
    Отопление, водоснабжение, газоснабжение, канализация © 2003 - 2021
    Рейтинг@Mail.ru Рейтинг арматурных сайтов. ARMTORG.RU Яндекс.Метрика