[ Новые сообщения · Участники · Правила форума · Поиск · RSS ]
 
Работай из дома! 18+

  • Страница 4 из 4
  • «
  • 1
  • 2
  • 3
  • 4
ГДЗ по Физике. Основное уравнение динамики
ВаляДата: Вторник, 07.04.2015, 15:35 | Сообщение # 46
Лейтенант
Группа: Проверенные
Сообщений: 66
Награды: 0
Репутация: 0
Статус: Offline


 
Работай из дома! 18+
 
 




Выберите задание из учебника:

51-60 61-70 71-80 81-90

91-100 101-110 111-120



Задача № 1.108

 Условие задачи:

Небольшое тело поместили на вершину гладкого шара радиуса R. Затем шару сообщили в горизонтальном направлении постоянное ускорение w0, и тело начало скользить вниз. Найти:

а) скорость тела относительно шара в момент отрыва;

б) угол ϑ0 между вертикалью и радиус-вектором, проведенным из центра шара в точку, где происходит отрыв; вычислить ϑ0 при w0 = g.

 Решение задачи и правильный ответ:

Фото: 2774914.gif (15.9 Kb) · 2641808.jpg (9.5 Kb)


 
 
ВаляДата: Вторник, 07.04.2015, 15:36 | Сообщение # 47
Лейтенант
Группа: Проверенные
Сообщений: 66
Награды: 0
Репутация: 0
Статус: Offline


 
Работай из дома! 18+
 
 


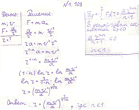
Задача № 1.109

 Условие задачи:

Частица массы m равномерно движется по окружности с заданной, скоростью v под действием силы F = а/rn, где а и n — постоянные, r — расстояние от центра окружности.

При каких значениях n движение по окружности будет устойчивым? Каков радиус такой окружности?

 Решение задачи и правильный ответ:



Фото: 4521942.gif (27.4 Kb)
 
 
ВаляДата: Вторник, 07.04.2015, 15:36 | Сообщение # 48
Лейтенант
Группа: Проверенные
Сообщений: 66
Награды: 0
Репутация: 0
Статус: Offline


 
Работай из дома! 18+
 
 


Задача № 1.111

 Условие задачи:

Винтовку навели на вертикальную черту мишени, находящейся точно в северном направлении, и выстрелили.

Пренебрегая сопротивлением воздуха, найти, на сколько сантиметров и в какую сторону пуля, попав в мишень, отклонится от черты. Выстрел произведен в горизонтальном направлении на широте φ = 60°, скорость пули v = 900 м/с и расстояние до мишени s = 1,0 км.

 Решение задачи и правильный ответ:



Фото: 8498335.jpg (51.6 Kb)
 
 
ВаляДата: Вторник, 07.04.2015, 15:37 | Сообщение # 49
Лейтенант
Группа: Проверенные
Сообщений: 66
Награды: 0
Репутация: 0
Статус: Offline


 
Работай из дома! 18+
 
 


Задача № 1.112

 Условие задачи:

Горизонтальный диск вращают с постоянной угловой скоростью ω = 6,0 рад/с вокруг вертикальной оси, проходящей через его центр.

По одному из диаметров диска движется небольшое тело массы m = 0,50 кг с постоянной относительно диска скоростью v' = 50 см/с.

Найти силу, с которой диск действует на это тело в момент, когда оно находится на расстоянии r = 30 см от оси вращения.

 Решение задачи и правильный ответ:



Фото: 4857743.jpg (41.2 Kb)
 
 
ВаляДата: Вторник, 07.04.2015, 15:37 | Сообщение # 50
Лейтенант
Группа: Проверенные
Сообщений: 66
Награды: 0
Репутация: 0
Статус: Offline


 
Работай из дома! 18+
 
 


Задача № 1.113

 Условие задачи:

Горизонтально расположенный гладкий стержень АВ вращают с постоянной угловой скоростью ω = 2,00 рад/с вокруг вертикальной оси, проходящей через его конец А. По стержню свободно скользит муфточка массы m = 0,50 кг, движущаяся из точки А с начальной скоростью v0 = 1,00 м/с.

Найти действующую на муфточку силу Кориолиса (в системе отсчета, связанной с вращающимся стержнем) в момент, когда муфточка оказалась на расстоянии r = 50 см от оси вращения.

 Решение задачи и правильный ответ:



Фото: 9619640.jpg (61.5 Kb)
 
 
ВаляДата: Вторник, 07.04.2015, 15:38 | Сообщение # 51
Лейтенант
Группа: Проверенные
Сообщений: 66
Награды: 0
Репутация: 0
Статус: Offline


 
Работай из дома! 18+
 
 


Задача № 1.114

 Условие задачи:

Горизонтальный диск радиуса R вращают с постоянной угловой скоростью ω вокруг неподвижной вертикальной оси, проходящей через его край.

По периферии диска равномерно относительно него движется частица массы m. В момент, когда она оказывается на максимальном расстоянии от оси вращения, результирующая сил инерции Fин, действующих на частицу в системе отсчета «диск», обращается в нуль. Найти:

а) ускорение w' частицы относительно диска;

б) зависимость Fин от расстояния до оси вращения.

 Решение задачи и правильный ответ:



Фото: 5572495.jpg (59.7 Kb)
 
 
ВаляДата: Вторник, 07.04.2015, 15:39 | Сообщение # 52
Лейтенант
Группа: Проверенные
Сообщений: 66
Награды: 0
Репутация: 0
Статус: Offline


 
Работай из дома! 18+
 
 


Задача № 1.115

 Условие задачи:

С вершины гладкой сферы радиуса R = 1,00 м начинает соскальзывать небольшое тело массы m = 0,30 кг. Сфера вращается с постоянной угловой скоростью ω = 6,0 рад/с вокруг вертикальной оси, проходящей через ее центр. Найти в системе отсчета, связанной со сферой, центробежную силу инерции и силу Кориолиса в момент отрыва тела от поверхности сферы.

 Решение задачи и правильный ответ:



Фото: 4029723.jpg (89.7 Kb)
 
 
ВаляДата: Вторник, 07.04.2015, 15:40 | Сообщение # 53
Лейтенант
Группа: Проверенные
Сообщений: 66
Награды: 0
Репутация: 0
Статус: Offline


 
Работай из дома! 18+
 
 


Задача № 1.117

 Условие задачи:

На экваторе с высоты h = 500 м на поверхность Земли падает тело (без начальной скорости относительно Земли).

Пренебрегая сопротивлением воздуха, найти, на какое расстояние и в какую сторону отклонится от вертикали тело при падении.

 Решение задачи и правильный ответ:




Содержание решебника по Физике

Фото: 9063874.jpg (66.0 Kb)


 
 
  • Страница 4 из 4
  • «
  • 1
  • 2
  • 3
  • 4
Поиск:

Работай из дома! 18+
 
 
 
 
 
 

 
Последние темы на форуме:
 
  • Новогодние праздники 2021-2022 официальные выходные
  • Показатели давления и сердцебиения у женщины 57 лет
  • Гороскоп на декабрь 2021 Женщина Телец
  • Гороскоп на январь 2022 от Павла Глоба
  • Гороскоп на декабрь 2021 от Павла Глоба
  • Гороскоп на ноябрь 2021 от Павла Глоба
  • Стенограмма судьбы - Содержание серий, актеры и роли сериала
  • Мосгаз. Западня - Содержание серий, актеры и роли 2021
  • Тобол - Содержание серий, актеры и роли сериала. 2021
  • Гороскоп для Тигра на сегодня от Павла Глоба
  • Утраченные воспоминания - Содержание серий, актеры и роли
  • Чёрно-белая любовь - Содержание серий, актеры и роли сериала
  • Забытая женщина - Содержание серий, актеры и роли сериала
  • Тайна спящей дамы - Содержание серий, актеры и роли сериала
  • Сериал Часы с кукушкой - Содержание серий, актеры и роли
  •  
     

     
    Обращаем ваше внимание на то, что данный интернет-сайт www.kinolog.do.am носит исключительно информационный характер и ни при каких условиях не является публичной офертой, определяемой положениями Статьи 437 (2) Гражданского кодекса РФ. Цена и наличие товара может отличаться от действительной. Пожалуйста, уточняйте цены и наличие товара у наших менеджеров.
    Администрация сайта не несет ответственности за действия и содержание размещаемой информации пользователей: комментарии, материалы, сообщения и темы на форуме, публикации, объявления и т.д.
    Правообладателям | Реклама | Учебники | Политика
    Отопление, водоснабжение, газоснабжение, канализация © 2003 - 2021
    Рейтинг@Mail.ru Рейтинг арматурных сайтов. ARMTORG.RU Яндекс.Метрика