[ Новые сообщения · Участники · Правила форума · Поиск · RSS ]
 
Работай из дома! 18+

  • Страница 3 из 4
  • «
  • 1
  • 2
  • 3
  • 4
  • »
ГДЗ по Физике. Основное уравнение динамики
ВаляДата: Вторник, 07.04.2015, 15:11 | Сообщение # 31
Лейтенант
Группа: Проверенные
Сообщений: 66
Награды: 0
Репутация: 0
Статус: Offline


 
Работай из дома! 18+
 
 




Выберите задание из учебника:

51-60 61-70 71-80 81-90

91-100 101-110 111-120




Задача № 1.91

 Условие задачи:

Автомашина движется равномерно по горизонтальному пути, имеющему форму синусоиды y = a sin (x/α), где a и α — некоторые постоянные.

Коэффициент трения между колесами и дорогой равен k.

При какой скорости движение автомашины будет происходить без скольжения?

 Решение задачи и правильный ответ:

Фото: 9648047.jpg (30.6 Kb) · 2947974.jpg (9.5 Kb)


 
 
ВаляДата: Вторник, 07.04.2015, 15:12 | Сообщение # 32
Лейтенант
Группа: Проверенные
Сообщений: 66
Награды: 0
Репутация: 0
Статус: Offline


 
Работай из дома! 18+
 
 


Задача № 1.92

 Условие задачи:

Цепочка массы m, образующая окружность радиуса R, надета на гладкий круговой конус с углом полураствора ϑ.

Найти натяжение цепочки, если она вращается с постоянной угловой скоростью ω вокруг вертикальной оси, совпадающей с осью симметрии конуса.

 Решение задачи и правильный ответ:



Фото: 4466214.gif (12.4 Kb)
 
 
ВаляДата: Вторник, 07.04.2015, 15:12 | Сообщение # 33
Лейтенант
Группа: Проверенные
Сообщений: 66
Награды: 0
Репутация: 0
Статус: Offline


 
Работай из дома! 18+
 
 


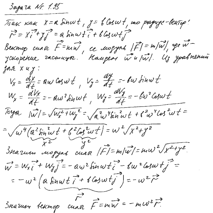
Задача № 1.95

 Условие задачи:

Найти модуль и направление вектора силы, действующей на частицу массы m при ее движении в плоскости ху по закону х = a sin ωt, у = b cos ωt, где a, b, ω — постоянные.

 Решение задачи и правильный ответ:



Фото: 3879084.gif (21.3 Kb)
 
 
ВаляДата: Вторник, 07.04.2015, 15:13 | Сообщение # 34
Лейтенант
Группа: Проверенные
Сообщений: 66
Награды: 0
Репутация: 0
Статус: Offline


 
Работай из дома! 18+
 
 


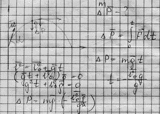
Задача № 1.96

 Условие задачи:

Тело массы m бросили под углом к горизонту с начальной скоростью v0. Пренебрегая сопротивлением воздуха, найти:

а) приращение импульса Δр тела за первые t секунд движения;

б) модуль приращения импульса Δр тела за все время движения.

 Решение задачи и правильный ответ:



Фото: 3989371.gif (16.2 Kb)
 
 
ВаляДата: Вторник, 07.04.2015, 15:13 | Сообщение # 35
Лейтенант
Группа: Проверенные
Сообщений: 66
Награды: 0
Репутация: 0
Статус: Offline


 
Работай из дома! 18+
 
 


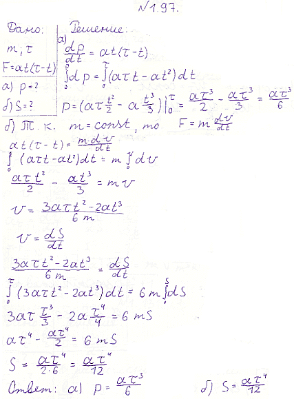
Задача № 1.97

 Условие задачи:

На покоившуюся частицу массы m в момент t = 0 начала действовать сила, меняющаяся со временем по закону F = at (τ — t), где а — постоянный вектор, τ — время, в течение которого действует данная сила. Найти:

а) импульс частицы после окончания действия силы;

б) путь, пройденный частицей за время действия силы.

 Решение задачи и правильный ответ:



Фото: 7579046.gif (36.6 Kb)
 
 
ВаляДата: Вторник, 07.04.2015, 15:14 | Сообщение # 36
Лейтенант
Группа: Проверенные
Сообщений: 66
Награды: 0
Репутация: 0
Статус: Offline


 
Работай из дома! 18+
 
 


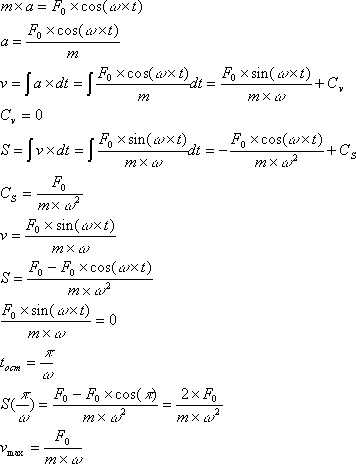
Задача № 1.98

 Условие задачи:

Частица массы m в момент t = 0 начинает двигаться под действием силы F = F0 sin ωt, где F0 и ω — постоянные.

Найти путь, пройденный частицей, в зависимости от времени t. Изобразить примерный график этой зависимости.

 Решение задачи и правильный ответ:



Фото: 4340371.gif (34.0 Kb)
 
 
ВаляДата: Вторник, 07.04.2015, 15:14 | Сообщение # 37
Лейтенант
Группа: Проверенные
Сообщений: 66
Награды: 0
Репутация: 0
Статус: Offline


 
Работай из дома! 18+
 
 


Задача № 1.99

 Условие задачи:

Частица массы m в момент t = 0 начинает двигаться под действием силы F = F0 cos ωt, где F0 и ω — постоянные.

Сколько времени частица будет двигаться до первой остановки? Какой путь она пройдет за это время? Какова максимальная скорость частицы на этом пути?

 Решение задачи и правильный ответ:



Фото: 5061692.gif (3.5 Kb)
 
 
ВаляДата: Вторник, 07.04.2015, 15:15 | Сообщение # 38
Лейтенант
Группа: Проверенные
Сообщений: 66
Награды: 0
Репутация: 0
Статус: Offline


 
Работай из дома! 18+
 
 


Задача № 1.100

 Условие задачи:

Катер массы m движется по озеру со скоростью v0. В момент t = 0 выключили его двигатель. Считая силу сопротивления воды движению катера пропорциональной его скорости F = —rv, найти:

а) время движения катера с выключенным двигателем;

б) скорость катера в зависимости от пути, пройденного с выключенным двигателем, а также полный путь до остановки;

в) среднюю скорость катера за время, в течение которого его начальная скорость уменьшится в η раз.

 Решение задачи и правильный ответ:



Фото: 6194466.gif (42.7 Kb)
 
 
ВаляДата: Вторник, 07.04.2015, 15:30 | Сообщение # 39
Лейтенант
Группа: Проверенные
Сообщений: 66
Награды: 0
Репутация: 0
Статус: Offline


 
Работай из дома! 18+
 
 


Задача № 1.101

 Условие задачи:

Пуля, пробив доску толщиной h, изменила свою скорость от v0 до v.

Найти время движения пули в доске, считая силу сопротивления пропорциональной квадрату скорости.

 Решение задачи и правильный ответ:



Фото: 3681378.gif (8.9 Kb)
 
 
ВаляДата: Вторник, 07.04.2015, 15:31 | Сообщение # 40
Лейтенант
Группа: Проверенные
Сообщений: 66
Награды: 0
Репутация: 0
Статус: Offline


 
Работай из дома! 18+
 
 


Задача № 1.102

 Условие задачи:

Небольшой брусок начинает скользить по наклонной плоскости, составляющей угол α с горизонтом.

Коэффициент трения зависит от пройденного пути х по закону k = ах, где а — постоянная.

Найти путь, пройденный бруском до остановки, и максимальную скорость его на этом пути.

 Решение задачи и правильный ответ:



Фото: 3468124.jpg (41.9 Kb)
 
 
ВаляДата: Вторник, 07.04.2015, 15:32 | Сообщение # 41
Лейтенант
Группа: Проверенные
Сообщений: 66
Награды: 0
Репутация: 0
Статус: Offline


 
Работай из дома! 18+
 
 


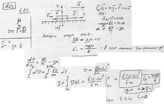
Задача № 1.103

 Условие задачи:

На горизонтальной плоскости с коэффициентом трения k лежит тело массы m.

В момент t = 0 к нему приложили горизонтальную силу, меняющуюся со временем по закону F = at, где а — постоянный вектор.

Найти путь, пройденный телом за первые t секунд после начала действия этой силы.

 Решение задачи и правильный ответ:



Фото: 1319205.gif (27.3 Kb)
 
 
ВаляДата: Вторник, 07.04.2015, 15:32 | Сообщение # 42
Лейтенант
Группа: Проверенные
Сообщений: 66
Награды: 0
Репутация: 0
Статус: Offline


 
Работай из дома! 18+
 
 


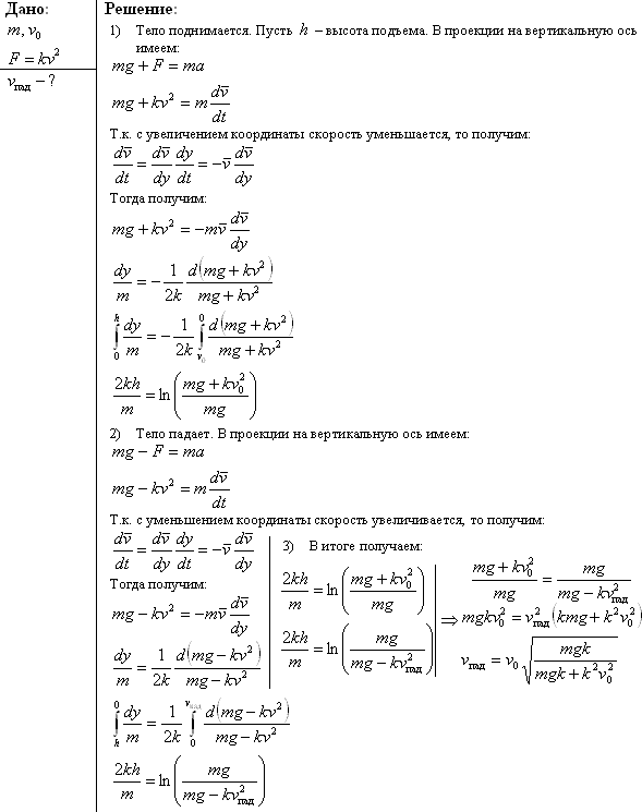
Задача № 1.104

 Условие задачи:

Тело массы m бросили вертикально вверх со скоростью v0.

Найти скорость v', с которой тело упадет обратно, если сила сопротивления воздуха равна kv2, где k — постоянная, v — скорость тела.

 Решение задачи и правильный ответ:



Фото: 7902206.gif (10.7 Kb)
 
 
ВаляДата: Вторник, 07.04.2015, 15:33 | Сообщение # 43
Лейтенант
Группа: Проверенные
Сообщений: 66
Награды: 0
Репутация: 0
Статус: Offline


 
Работай из дома! 18+
 
 


Задача № 1.105

 Условие задачи:

Частица массы m движется в некоторой плоскости P под действием постоянной по модулю силы F, вектор которой поворачивается в этой плоскости с постоянной угловой скоростью ω. Считая, что в момент t = 0 частица покоилась, найти:

а) ее скорость в зависимости от времени;

б) путь, проходимый частицей между двумя последовательными остановками, и среднюю скорость за это время.

 Решение задачи и правильный ответ:



Фото: 3677129.gif (10.4 Kb)
 
 
ВаляДата: Вторник, 07.04.2015, 15:34 | Сообщение # 44
Лейтенант
Группа: Проверенные
Сообщений: 66
Награды: 0
Репутация: 0
Статус: Offline


 
Работай из дома! 18+
 
 


Задача № 1.106

 Условие задачи:

Небольшую шайбу А положили на наклонную плоскость, составляющую угол α с горизонтом, и сообщили начальную скорость v0 (рис. 1.27).

Найти зависимость скорости шайбы от угла φ, если коэффициент трения k = tg α и в начальный момент φ0 = π/2.

 Решение задачи и правильный ответ:



Фото: 7178743.gif (49.3 Kb)
 
 
ВаляДата: Вторник, 07.04.2015, 15:35 | Сообщение # 45
Лейтенант
Группа: Проверенные
Сообщений: 66
Награды: 0
Репутация: 0
Статус: Offline


 
Работай из дома! 18+
 
 


Задача № 1.107

 Условие задачи:

Цепочку длины l поместили на гладкую сферическую поверхность радиуса R так, что один ее конец закреплен на вершине сферы.

С каким ускорением w начнет двигаться каждый элемент цепочки, если ее верхний конец освободить? Предполагается, что длина цепочки l < 1/2 πR.

 Решение задачи и правильный ответ:




Продолжение решебника по Физике

Фото: 9613638.gif (10.7 Kb)


 
 
  • Страница 3 из 4
  • «
  • 1
  • 2
  • 3
  • 4
  • »
Поиск:

Работай из дома! 18+
 
 
 
 
 
 

 
Последние темы на форуме:
 
  • Новогодние праздники 2021-2022 официальные выходные
  • Показатели давления и сердцебиения у женщины 57 лет
  • Гороскоп на декабрь 2021 Женщина Телец
  • Гороскоп на январь 2022 от Павла Глоба
  • Гороскоп на декабрь 2021 от Павла Глоба
  • Гороскоп на ноябрь 2021 от Павла Глоба
  • Стенограмма судьбы - Содержание серий, актеры и роли сериала
  • Мосгаз. Западня - Содержание серий, актеры и роли 2021
  • Тобол - Содержание серий, актеры и роли сериала. 2021
  • Гороскоп для Тигра на сегодня от Павла Глоба
  • Утраченные воспоминания - Содержание серий, актеры и роли
  • Чёрно-белая любовь - Содержание серий, актеры и роли сериала
  • Забытая женщина - Содержание серий, актеры и роли сериала
  • Тайна спящей дамы - Содержание серий, актеры и роли сериала
  • Сериал Часы с кукушкой - Содержание серий, актеры и роли
  •  
     

     
    Обращаем ваше внимание на то, что данный интернет-сайт www.kinolog.do.am носит исключительно информационный характер и ни при каких условиях не является публичной офертой, определяемой положениями Статьи 437 (2) Гражданского кодекса РФ. Цена и наличие товара может отличаться от действительной. Пожалуйста, уточняйте цены и наличие товара у наших менеджеров.
    Администрация сайта не несет ответственности за действия и содержание размещаемой информации пользователей: комментарии, материалы, сообщения и темы на форуме, публикации, объявления и т.д.
    Правообладателям | Реклама | Учебники | Политика
    Отопление, водоснабжение, газоснабжение, канализация © 2003 - 2021
    Рейтинг@Mail.ru Рейтинг арматурных сайтов. ARMTORG.RU Яндекс.Метрика