[ Новые сообщения · Участники · Правила форума · Поиск · RSS ]
 
Работай из дома! 18+

  • Страница 1 из 4
  • 1
  • 2
  • 3
  • 4
  • »
ГДЗ по Физике. Основное уравнение динамики
ВаляДата: Вторник, 07.04.2015, 14:21 | Сообщение # 1
Лейтенант
Группа: Проверенные
Сообщений: 66
Награды: 0
Репутация: 0
Статус: Offline


 
Работай из дома! 18+
 
 


ГДЗ по Физике. Основное уравнение динамики

Задачи по Физике с решениями и ответами.

Готовые домашние задания по учебнику Физика. Автор: И. Е. Иродов

Тема задачника: Основное уравнение динамики




Выберите задание из учебника:

51-60 61-70 71-80 81-90

91-100 101-110 111-120

Фото: 4038085.jpg (21.2 Kb)


 
 
ВаляДата: Вторник, 07.04.2015, 14:22 | Сообщение # 2
Лейтенант
Группа: Проверенные
Сообщений: 66
Награды: 0
Репутация: 0
Статус: Offline


 
Работай из дома! 18+
 
 


Задача № 1.59

 Условие задачи:

Аэростат массы m начал опускаться с постоянным ускорением w.

Определить массу балласта, который следует сбросить за борт, чтобы аэростат получил такое же ускорение, но направленное вверх.

Сопротивлением воздуха пренебречь.
  
 Решение задачи и правильный ответ:



Фото: 7876354.jpg (17.0 Kb)
 
 
ВаляДата: Вторник, 07.04.2015, 14:23 | Сообщение # 3
Лейтенант
Группа: Проверенные
Сообщений: 66
Награды: 0
Репутация: 0
Статус: Offline


 
Работай из дома! 18+
 
 


Задача № 1.60

 Условие задачи:

В установке (рис. 1.9) массы тел равны m0, m1 и m2, массы блока и нитей пренебрежимо малы и трения в блоке нет.

Найти ускорение w, с которым опускается тело m0, и натяжение нити, связывающей тела m1 и m2, если коэффициент трения между этими телами и горизонтальной поверхностью равен k. Исследовать возможные случаи.
  
 Решение задачи и правильный ответ:



Фото: 3852601.jpg (73.4 Kb)
 
 
ВаляДата: Вторник, 07.04.2015, 14:24 | Сообщение # 4
Лейтенант
Группа: Проверенные
Сообщений: 66
Награды: 0
Репутация: 0
Статус: Offline


 
Работай из дома! 18+
 
 


Задача № 1.61

 Условие задачи:

На наклонную плоскость, составляющую угол α с горизонтом, поместили два соприкасающихся бруска 1 и 2 (рис. 1.10). Массы брусков равны m1 и m2, коэффициенты трения между наклонной плоскостью и этими брусками — соответственно k1 и k2, причем k1 > k2. Найти:

а) силу взаимодействия между брусками в процессе движения;

б) минимальное значение угла α, при котором начнется скольжение.

 Решение задачи и правильный ответ:



Фото: 1967189.jpg (84.6 Kb)
 
 
ВаляДата: Вторник, 07.04.2015, 14:25 | Сообщение # 5
Лейтенант
Группа: Проверенные
Сообщений: 66
Награды: 0
Репутация: 0
Статус: Offline


 
Работай из дома! 18+
 
 


Задача № 1.62

 Условие задачи:

Небольшое тело пустили снизу вверх по наклонной плоскости, составляющей угол α = 15° с горизонтом.

Найти коэффициент трения, если время подъема тела оказалось в η = 2,0 раза меньше времени спуска.

 Решение задачи и правильный ответ:



Фото: 5570642.gif (93.3 Kb)
 
 
ВаляДата: Вторник, 07.04.2015, 14:26 | Сообщение # 6
Лейтенант
Группа: Проверенные
Сообщений: 66
Награды: 0
Репутация: 0
Статус: Offline


 
Работай из дома! 18+
 
 


Задача № 1.63

 Условие задачи:

В установке (рис. 1.11) известны угол α наклонной плоскости с горизонтом и коэффициент трения k между телом m1 и наклонной плоскостью. Массы блока и нити пренебрежимо малы, трения в блоке нет. Считая, что в начальный момент оба тела неподвижны, найти отношение масс m2/m1, при котором тело m2:

а) начнет опускаться;

б) начнет подниматься;

в) будет оставаться в покое.

 Решение задачи и правильный ответ:



Фото: 9525636.gif (18.3 Kb)
 
 
ВаляДата: Вторник, 07.04.2015, 14:26 | Сообщение # 7
Лейтенант
Группа: Проверенные
Сообщений: 66
Награды: 0
Репутация: 0
Статус: Offline


 
Работай из дома! 18+
 
 


Задача № 1.64

 Условие задачи:

Наклонная плоскость (см. рис. 1.11) составляет угол α = 30° с горизонтом. Отношение масс тел m2/m1 = η = 2/3.

Коэффициент трения между телом m1 и наклонной плоскостью k = 0,10. Массы блока и нитей пренебрежимо малы.

Найти модуль и направление ускорения тела m2, если система пришла в движение из состояния покоя.

 Решение задачи и правильный ответ:



Фото: 6440896.gif (27.8 Kb)
 
 
ВаляДата: Вторник, 07.04.2015, 14:27 | Сообщение # 8
Лейтенант
Группа: Проверенные
Сообщений: 66
Награды: 0
Репутация: 0
Статус: Offline


 
Работай из дома! 18+
 
 


Задача № 1.65

 Условие задачи:

На гладкой горизонтальной плоскости лежит доска массы m1 и на ней брусок массы m2. К бруску приложили горизонтальную силу, увеличивающуюся со временем t по закону F = at, где а - постоянная. Найти зависимости от t ускорений доски w1 и бруска w2, если коэффициент трения между доской и бруском равен k.

Изобразить примерные графики этих зависимостей.

 Решение задачи и правильный ответ:



Фото: 8906687.gif (49.2 Kb)
 
 
ВаляДата: Вторник, 07.04.2015, 14:28 | Сообщение # 9
Лейтенант
Группа: Проверенные
Сообщений: 66
Награды: 0
Репутация: 0
Статус: Offline


 
Работай из дома! 18+
 
 


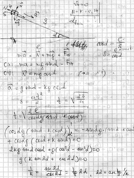
Задача № 1.66

 Условие задачи:

Небольшое тело А начинает скользить с вершины клина, основание которого l = 2,10 м (рис. 1.12). Коэффициенты трения между телом и поверхностью клина k = 0,140.

При каком значении угла α время соскальзывания будет наименьшим? Чему оно равно?

 Решение задачи и правильный ответ:



Фото: 6087521.gif (65.3 Kb)
 
 
ВаляДата: Вторник, 07.04.2015, 14:57 | Сообщение # 10
Лейтенант
Группа: Проверенные
Сообщений: 66
Награды: 0
Репутация: 0
Статус: Offline


 
Работай из дома! 18+
 
 


Задача № 1.67

 Условие задачи:

Брусок массы m втаскивают за нить с постоянной скоростью вверх по наклонной плоскости, составляющей угол α с горизонтом (рис. 1.13).

Коэффициент трения равен k.

Найти угол β, который должна составлять нить с наклонной плоскостью, чтобы натяжение нити было наименьшим. Чему оно равно?

 Решение задачи и правильный ответ:



Фото: 4878866.gif (44.0 Kb)
 
 
ВаляДата: Вторник, 07.04.2015, 14:58 | Сообщение # 11
Лейтенант
Группа: Проверенные
Сообщений: 66
Награды: 0
Репутация: 0
Статус: Offline


 
Работай из дома! 18+
 
 


Задача № 1.68

 Условие задачи:

На небольшое тело массы m, лежащее на гладкой горизонтальной плоскости, в момент t = 0 начала действовать сила, зависящая от времени по закону F = at, где а - постоянная. Направление этой силы все время составляет угол α с горизонтом (рис. 1.14). Найти:

а) скорость тела в момент отрыва от плоскости;

б) путь, пройденный телом к этому моменту.

 Решение задачи и правильный ответ:



Фото: 4425590.jpg (35.5 Kb)
 
 
ВаляДата: Вторник, 07.04.2015, 14:58 | Сообщение # 12
Лейтенант
Группа: Проверенные
Сообщений: 66
Награды: 0
Репутация: 0
Статус: Offline


 
Работай из дома! 18+
 
 


Задача № 1.69

 Условие задачи:

К бруску массы m, лежащему на гладкой горизонтальной плоскости, приложили постоянную по модулю силу F = mg/3. В процессе его прямолинейного движения угол α между направлением этой силы и горизонтом меняют по закону α = as, где а - постоянная, s - пройденный бруском путь (из начального положения).

Найти скорость бруска как функцию угла α.

 Решение задачи и правильный ответ:



Фото: 7141660.jpg (59.1 Kb)
 
 
ВаляДата: Вторник, 07.04.2015, 14:59 | Сообщение # 13
Лейтенант
Группа: Проверенные
Сообщений: 66
Награды: 0
Репутация: 0
Статус: Offline


 
Работай из дома! 18+
 
 


Задача № 1.70

 Условие задачи:

На горизонтальной плоскости с коэффициентом трения k находятся два тела: брусок и электромотор с батарейкой на подставке. На ось электромотора намотана нить, свободный конец которой соединен с бруском. Расстояние между обоими телами равно l. После включения мотора брусок, масса которого в два раза больше массы другого тела, начал двигаться с постоянным ускорением w.

Через сколько времени оба тела столкнутся?

 Решение задачи и правильный ответ:



Фото: 9280939.jpg (28.4 Kb)
 
 
ВаляДата: Вторник, 07.04.2015, 14:59 | Сообщение # 14
Лейтенант
Группа: Проверенные
Сообщений: 66
Награды: 0
Репутация: 0
Статус: Offline


 
Работай из дома! 18+
 
 


Задача № 1.71

 Условие задачи:

Через блок, прикрепленный к потолку кабины лифта, перекинута нить, к концам которой привязаны грузы с массами m1 и m2. Кабина начинает подниматься с ускорением w0. Пренебрегая массами блока и нити, а также трением, найти:

а) ускорения груза m1 относительно шахты лифта и относительно кабины;

б) силу, с которой блок действует на потолок кабины.

 Решение задачи и правильный ответ:



Фото: 6106756.gif (33.8 Kb)
 
 
ВаляДата: Вторник, 07.04.2015, 15:01 | Сообщение # 15
Лейтенант
Группа: Проверенные
Сообщений: 66
Награды: 0
Репутация: 0
Статус: Offline


 
Работай из дома! 18+
 
 


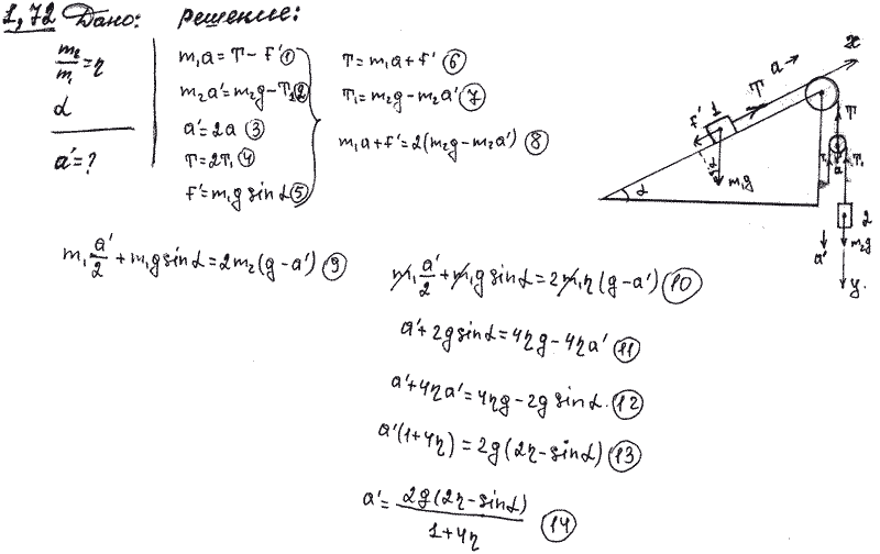
Задача № 1.72

 Условие задачи:

Найти ускорение w тела 2 в системе (рис. 1.15), если его масса в η раз больше массы бруска 1 и угол между наклонной плоскостью и горизонтом равен α.

Массы блоков и нитей, а также трение пренебрежимо малы.

Исследовать возможные случаи.

 Решение задачи и правильный ответ:




Продолжение решебника по Физике

Фото: 6603792.gif (13.8 Kb)


 
 
  • Страница 1 из 4
  • 1
  • 2
  • 3
  • 4
  • »
Поиск:

Работай из дома! 18+
 
 
 
 
 
 

 
Последние темы на форуме:
 
  • Новогодние праздники 2021-2022 официальные выходные
  • Показатели давления и сердцебиения у женщины 57 лет
  • Гороскоп на декабрь 2021 Женщина Телец
  • Гороскоп на январь 2022 от Павла Глоба
  • Гороскоп на декабрь 2021 от Павла Глоба
  • Гороскоп на ноябрь 2021 от Павла Глоба
  • Стенограмма судьбы - Содержание серий, актеры и роли сериала
  • Мосгаз. Западня - Содержание серий, актеры и роли 2021
  • Тобол - Содержание серий, актеры и роли сериала. 2021
  • Гороскоп для Тигра на сегодня от Павла Глоба
  • Утраченные воспоминания - Содержание серий, актеры и роли
  • Чёрно-белая любовь - Содержание серий, актеры и роли сериала
  • Забытая женщина - Содержание серий, актеры и роли сериала
  • Тайна спящей дамы - Содержание серий, актеры и роли сериала
  • Сериал Часы с кукушкой - Содержание серий, актеры и роли
  •  
     

     
    Обращаем ваше внимание на то, что данный интернет-сайт www.kinolog.do.am носит исключительно информационный характер и ни при каких условиях не является публичной офертой, определяемой положениями Статьи 437 (2) Гражданского кодекса РФ. Цена и наличие товара может отличаться от действительной. Пожалуйста, уточняйте цены и наличие товара у наших менеджеров.
    Администрация сайта не несет ответственности за действия и содержание размещаемой информации пользователей: комментарии, материалы, сообщения и темы на форуме, публикации, объявления и т.д.
    Правообладателям | Реклама | Учебники | Политика
    Отопление, водоснабжение, газоснабжение, канализация © 2003 - 2021
    Рейтинг@Mail.ru Рейтинг арматурных сайтов. ARMTORG.RU Яндекс.Метрика