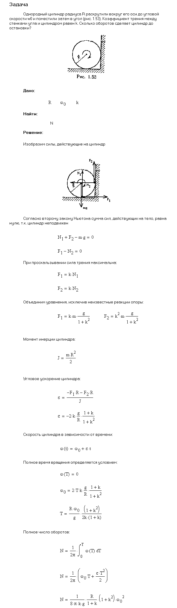
Тонкий однородный стержень АВ массы m = 1,0 кг движется поступательно с ускорением w = 2,0 м/с2 под действием двух антипараллельных сил F1 и F2 (рис. 1.52).
Расстояние между точками приложения этих сил a = 20 см. Кроме того, известно, что F2 = 5,0 Н.
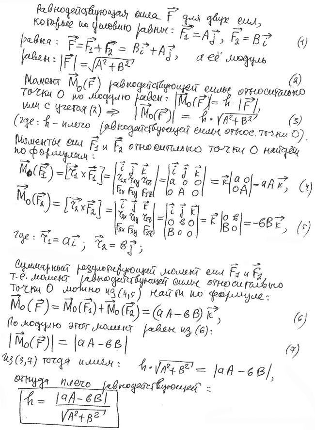
К точке с радиус-вектором r1 = ai приложена сила F1 = Аj, а к точке с r2 = bj — сила F2 = Bi.
Здесь оба радиус-вектора определены относительно начала координат O, i и j — орты осей x и y, а, b, А и В — постоянные. Найти плечо l равнодействующей силы относительно точки O.
а) тонкого однородного стержня относительно оси, перпендикулярной к стержню и проходящей через его конец, если масса стержня m и его длина l;
б) тонкой однородной прямоугольной пластинки относительно оси, проходящей перпендикулярно к плоскости пластинки через одну из ее вершин, если стороны пластинки a и b, а ее масса m.
Показать, что для тонкой пластинки произвольной формы имеется следующая связь между моментами инерции: I1 + I2 = I3, где 1, 2, 3 — три взаимно перпендикулярные оси, проходящие через одну точку, причем оси 1 и 2 лежат в плоскости пластинки.
Используя эту связь, найти момент инерции тонкого круглого однородного диска радиуса R и массы m относительно оси, совпадающей с одним из его диаметров.
Исходя из формулы для момента инерции однородного шара, найти момент инерции тонкого сферического слоя массы m и радиуса R относительно оси, проходящей через его центр.
На однородный сплошной цилиндр массы M и радиуса R намотана легкая нить, к концу которой прикреплено тело массы m (рис. 1.55). В момент t = 0 система пришла в движение. Пренебрегая трением в оси цилиндра, найти зависимость от времени:
Горизонтальный тонкий однородный стержень АВ массы m и длины l может свободно вращаться вокруг вертикальной оси, проходящей через его конец А. В некоторый момент на конец В начала действовать постоянная сила F, которая все время перпендикулярна к первоначальному положению покоившегося стержня и направлена в горизонтальной плоскости.
Найти угловую скорость стержня как функцию его угла поворота φ из начального положения.
В установке (рис. 1.56) известны масса однородного сплошного цилиндра m, его радиус R и массы тел m1 и m2. Скольжения нити и трения в оси цилиндра нет.
Найти угловое ускорение цилиндра и отношение натяжений T1/T2 вертикальных участков нити в процессе движения.
В системе (рис. 1.57) известны массы тел m1 и m2, коэффициент трения k между телом m1 и горизонтальной плоскостью, а также масса блока m, который можно считать однородным диском. Скольжения нити по блоку нет. В момент t = 0 тело m2 начинает опускаться.
Пренебрегая массой нити и трением в оси блока, найти работу силы трения, действующей на тело m1, за первые t секунд после начала движения.
Маховик с начальной угловой скоростью ω0 начинает тормозиться силами, момент которых относительно его оси пропорционален квадратному корню из его угловой скорости.
Найти среднюю угловую скорость маховика за все время торможения.