[ Новые сообщения · Участники · Правила форума · Поиск · RSS ]
 
Работай из дома! 18+

  • Страница 2 из 3
  • «
  • 1
  • 2
  • 3
  • »
ГДЗ по Физике. Динамика твердого тела
NikaДата: Среда, 08.04.2015, 09:36 | Сообщение # 16
Сержант
Группа: Проверенные
Сообщений: 39
Награды: 0
Репутация: 0
Статус: Offline


 
Работай из дома! 18+
 
 




Выберите задание из учебника:

1.234 1.236 1.238 1.240 1.241 1.242 1.243 1.245 1.246 1.247 1.248 1.249

1.250 1.252 1.253 1.255 1.256 1.257 1.258 1.259 1.261 1.262 1.264 1.270

1.272 1.273 1.274 1.275 1.276 1.279 1.280 1.281 1.283 1.286 1.288




Задача № 1.253

Условие задачи:

Однородный цилиндр массы m = 8,0 кг и радиуса R = 1,3 см (рис. 1.60) в момент t = 0 начинает опускаться под действием силы тяжести. Пренебрегая массой нити, найти:

а) натяжение каждой нити и угловое ускорение цилиндра;

б) зависимость от времени мгновенной мощности, которую развивает сила тяжести.

Решение задачи и правильный ответ:

Фото: 4958722.jpg (85.1 Kb) · 1446374.jpg (8.3 Kb)


 
 
NikaДата: Среда, 08.04.2015, 09:37 | Сообщение # 17
Сержант
Группа: Проверенные
Сообщений: 39
Награды: 0
Репутация: 0
Статус: Offline


 
Работай из дома! 18+
 
 


Задача № 1.255

Условие задачи:

На гладкой наклонной плоскости, составляющей угол α = 30° с горизонтом, находится катушка с ниткой, свободный конец которой укреплен, как показано на рис. 1.61.

Масса катушки m = 200 г, ее момент инерции относительно собственной оси I = 0,45 г*м2, радиус намотанного слоя ниток r = 3,0 см.

Найти ускорение оси катушки.

Решение задачи и правильный ответ:

Фото: 3851038.jpg (47.1 Kb)
 
 
NikaДата: Среда, 08.04.2015, 09:37 | Сообщение # 18
Сержант
Группа: Проверенные
Сообщений: 39
Награды: 0
Репутация: 0
Статус: Offline


 
Работай из дома! 18+
 
 


Задача № 1.256

Условие задачи:

Однородный сплошной цилиндр массы m лежит на двух горизонтальных брусьях. На цилиндр намотана нить, за свешивающийся конец которой тянут с постоянной вертикально направленной силой F (рис. 1.62). Найти максимальное значение силы F, при котором цилиндр будет катиться еще без скольжения, если коэффициент трения между ним и брусьями равен k.

С каким ускорением wмакс будет перемещаться ось цилиндра?

Решение задачи и правильный ответ:

Фото: 6425443.gif (9.7 Kb)
 
 
NikaДата: Среда, 08.04.2015, 09:38 | Сообщение # 19
Сержант
Группа: Проверенные
Сообщений: 39
Награды: 0
Репутация: 0
Статус: Offline


 
Работай из дома! 18+
 
 


Задача № 1.257

Условие задачи:

На горизонтальной шероховатой плоскости лежит катушка ниток массы m.

Ее момент инерции относительно собственной оси I = βmR2, где β — числовой коэффициент, R — внешний радиус катушки. Радиус намотанного слоя ниток равен r.

Катушку без скольжения начали тянуть за нить постоянной силой F, направленной под углом α к горизонту (рис. 1.63). Найти:

а) модуль и направление вектора ускорения оси катушки;

б) работу силы F за первые t секунд после начала движения.

Решение задачи и правильный ответ:

Фото: 5822340.jpg (26.7 Kb)
 
 
NikaДата: Среда, 08.04.2015, 09:38 | Сообщение # 20
Сержант
Группа: Проверенные
Сообщений: 39
Награды: 0
Репутация: 0
Статус: Offline


 
Работай из дома! 18+
 
 


Задача № 1.258

Условие задачи:

Установка (рис. 1.64) состоит из двух одинаковых сплошных однородных цилиндров каждый массы m, на которые симметрично намотаны две легкие нити.

Найти натяжение каждой нити в процессе движения. Трения в оси верхнего цилиндра нет.

Решение задачи и правильный ответ:

Фото: 1396340.gif (15.3 Kb)
 
 
NikaДата: Среда, 08.04.2015, 09:39 | Сообщение # 21
Сержант
Группа: Проверенные
Сообщений: 39
Награды: 0
Репутация: 0
Статус: Offline


 
Работай из дома! 18+
 
 


Задача № 1.259

Условие задачи:

В системе (рис. 1.65) известны масса m груза А, масса M блока В, момент инерции I последнего относительно его оси и радиусы блока R и 2R.

Масса нитей пренебрежимо мала. Найти ускорение груза А после того, как систему предоставили самой себе.

Решение задачи и правильный ответ:

Фото: 9711517.jpg (87.0 Kb)
 
 
NikaДата: Среда, 08.04.2015, 09:40 | Сообщение # 22
Сержант
Группа: Проверенные
Сообщений: 39
Награды: 0
Репутация: 0
Статус: Offline


 
Работай из дома! 18+
 
 


Задача № 1.261

Условие задания:

На гладкой горизонтальной плоскости лежит доска массы m1 и на ней однородный шар массы m2.

К доске приложили постоянную горизонтальную силу F.

С какими ускорениями будут двигаться доска и центр шара в отсутствие скольжения между ними?

Решение задачи и правильный ответ:

Фото: 0706359.gif (17.6 Kb)
 
 
NikaДата: Среда, 08.04.2015, 09:40 | Сообщение # 23
Сержант
Группа: Проверенные
Сообщений: 39
Награды: 0
Репутация: 0
Статус: Offline


 
Работай из дома! 18+
 
 


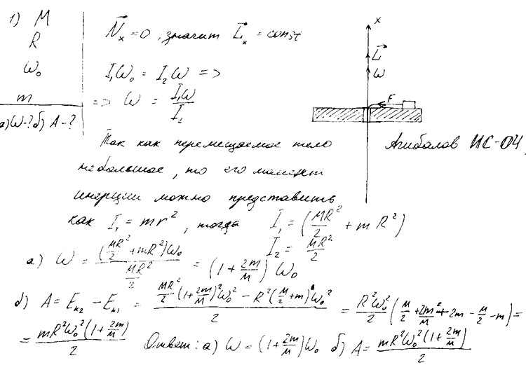
Задача № 1.262

Условие задания:

Сплошному однородному цилиндру массы m и радиуса R сообщили вращение вокруг его оси с угловой скоростью ω0, затем его положили боковой поверхностью на горизонтальную плоскость и предоставили самому себе. Коэффициент трения между цилиндром и плоскостью равен k.

Найти:

а) время, в течение которого движение цилиндра будет происходить со скольжением;

б) полную работу силы трения скольжения, действующей на цилиндр.

Решение задачи и правильный ответ:

Фото: 6770501.gif (21.2 Kb)
 
 
NikaДата: Среда, 08.04.2015, 09:41 | Сообщение # 24
Сержант
Группа: Проверенные
Сообщений: 39
Награды: 0
Репутация: 0
Статус: Offline


 
Работай из дома! 18+
 
 


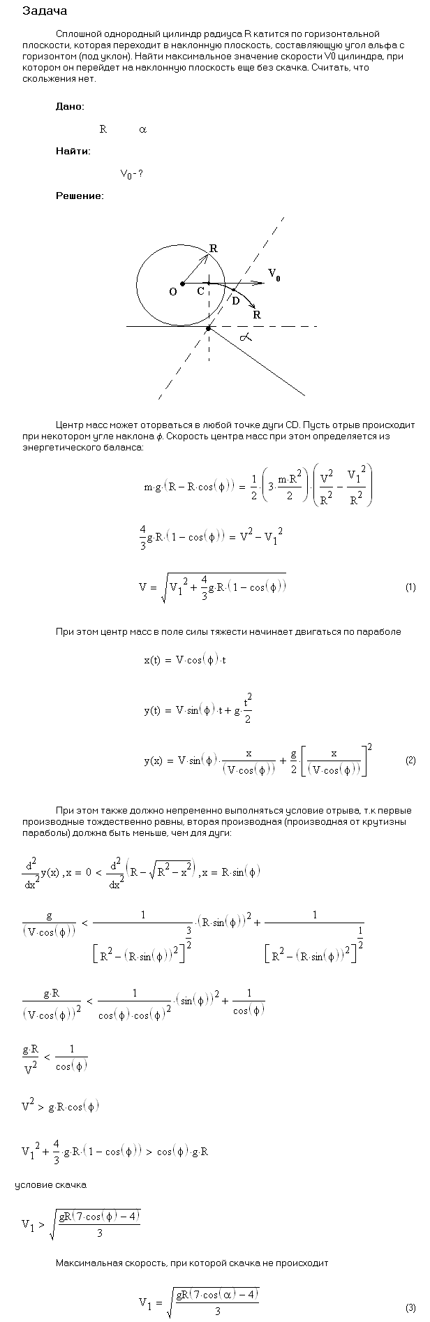
Задача № 1.264

Условие задания:

Сплошной однородный цилиндр радиуса R = 15 см катится по горизонтальной плоскости, которая переходит в наклонную плоскость, составляющую угол α = 30° с горизонтом (рис. 1.67).

Найти максимальное значение скорости v0, при котором цилиндр перейдет на наклонную плоскость еще без скачка.

Считать, что скольжения нет.

Решение задачи и правильный ответ:

Фото: 2062362.gif (19.7 Kb)
 
 
NikaДата: Среда, 08.04.2015, 09:41 | Сообщение # 25
Сержант
Группа: Проверенные
Сообщений: 39
Награды: 0
Репутация: 0
Статус: Offline


 
Работай из дома! 18+
 
 


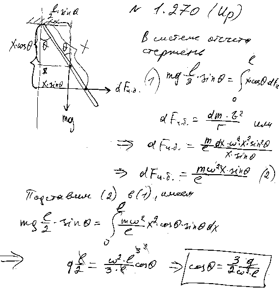
Задача № 1.270

Условие задания:

Конический маятник — тонкий однородный стержень длины l и массы m — вращается равномерно вокруг вертикальной оси с угловой скоростью ω (верхний конец стержня укреплен шарнирно).

Найти угол ϑ между стержнем и вертикалью.

Решение задачи и правильный ответ:

Фото: 0863483.gif (8.9 Kb)
 
 
NikaДата: Среда, 08.04.2015, 09:43 | Сообщение # 26
Сержант
Группа: Проверенные
Сообщений: 39
Награды: 0
Репутация: 0
Статус: Offline


 
Работай из дома! 18+
 
 


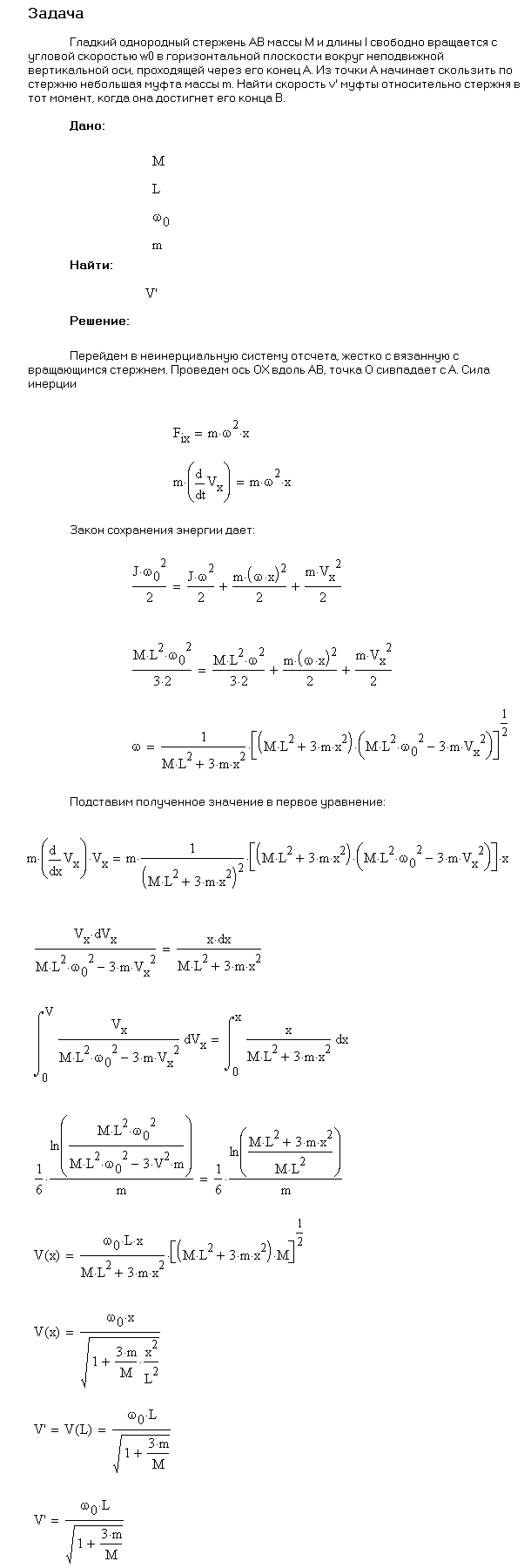
Задача № 1.272

Условие задания:

Гладкий однородный стержень АВ массы M и длины l свободно вращается с угловой скоростью ω0 в горизонтальной плоскости вокруг неподвижной вертикальной оси, проходящей через его конец А.

Из точки А начинает скользить по стержню небольшая муфта массы m. Найти скорость v' муфты относительно стержня в тот момент, когда она достигнет его конца В.

Решение задачи и правильный ответ:

Фото: 9701123.gif (15.6 Kb)
 
 
NikaДата: Среда, 08.04.2015, 09:43 | Сообщение # 27
Сержант
Группа: Проверенные
Сообщений: 39
Награды: 0
Репутация: 0
Статус: Offline


 
Работай из дома! 18+
 
 


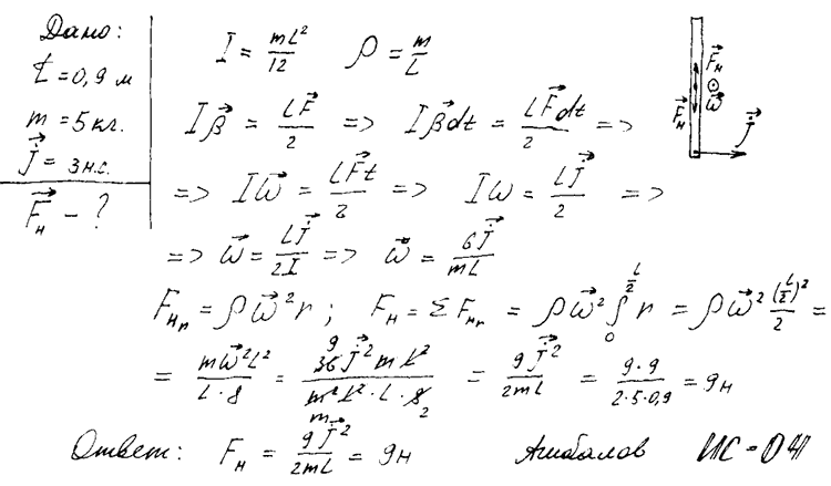
Задача № 1.273

Условие задания:

На гладкой горизонтальной поверхности лежит однородный стержень массы m = 5,0 кг и длины l = 90 см.

По одному из концов стержня произвели удар в горизонтальном направлении, перпендикулярном к стержню, в результате которого стержню был передан импульс p = 3,0 Н*с.

Найти силу, с которой одна половина стержня будет действовать на другую в процессе движения.

Решение задачи и правильный ответ:

Фото: 6828488.gif (14.0 Kb)
 
 
NikaДата: Среда, 08.04.2015, 09:44 | Сообщение # 28
Сержант
Группа: Проверенные
Сообщений: 39
Награды: 0
Репутация: 0
Статус: Offline


 
Работай из дома! 18+
 
 


Задача № 1.274

Условие задания:

Однородная тонкая квадратная пластинка со стороной l и массы M может свободно вращаться вокруг неподвижной вертикальной оси, совпадающей с одной из ее сторон. В центр пластинки по нормали к ней упруго ударяется шарик массы m, летевший со скоростью v. Найти:

а) скорость шарика v' после удара;

б) горизонтальную составляющую результирующей силы, с которой ось будет действовать на пластинку после удара.

Решение задачи и правильный ответ:

Фото: 8607040.gif (13.2 Kb)
 
 
NikaДата: Среда, 08.04.2015, 09:44 | Сообщение # 29
Сержант
Группа: Проверенные
Сообщений: 39
Награды: 0
Репутация: 0
Статус: Offline


 
Работай из дома! 18+
 
 


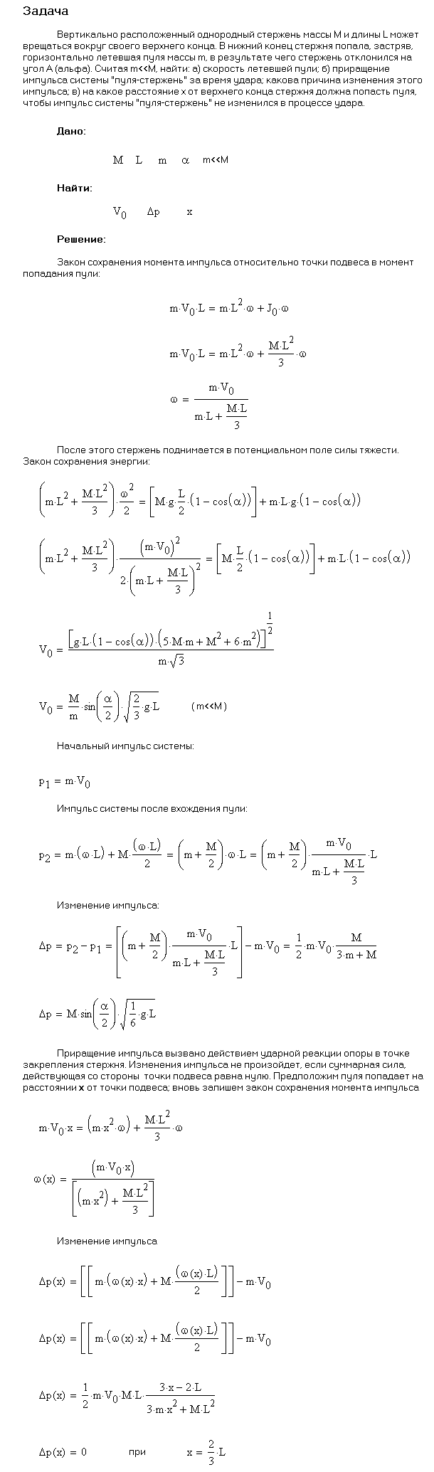
Задача № 1.275

Условие задания:

Вертикально расположенный однородный стержень массы M и длины l может вращаться вокруг своего верхнего конца.

В нижний конец стержня попала, застряв, горизонтально летевшая пуля массы m, в результате чего стержень отклонился на угол α. Считая m << M, найти:

а) скорость летевшей пули;

б) приращение импульса системы "пуля — стержень" за время удара; какова причина изменения этого импульса;

в) на какое расстояние x от верхнего конца стержня должна попасть пуля, чтобы импульс системы "пуля — стержень" не изменился в процессе удара.

Решение задачи и правильный ответ:

Фото: 7339074.gif (22.3 Kb)
 
 
NikaДата: Среда, 08.04.2015, 09:45 | Сообщение # 30
Сержант
Группа: Проверенные
Сообщений: 39
Награды: 0
Репутация: 0
Статус: Offline


 
Работай из дома! 18+
 
 


Задача № 1.276

Условие задания:

Горизонтально расположенный однородный диск массы M и радиуса R свободно вращается вокруг неподвижной вертикальной оси, проходящей через его центр. Диск имеет радиальную направляющую, вдоль которой может скользить без трения небольшое тело массы m. К телу привязана легкая нить, пропущенная через полую ось диска вниз.

Первоначально тело находилось на краю диска и вся система вращалась с угловой скоростью ω0. Затем к нижнему концу нити приложили силу F, с помощью которой тело медленно подтянули к оси вращения.

Найти:

а) угловую скорость системы в конечном состоянии;

б) работу, которую совершила сила F.

Решение задачи и правильный ответ:





Продолжение решебника по Физике

Фото: 6141842.gif (16.8 Kb)


 
 
  • Страница 2 из 3
  • «
  • 1
  • 2
  • 3
  • »
Поиск:

Работай из дома! 18+
 
 
 
 
 
 

 
Последние темы на форуме:
 
  • Новогодние праздники 2021-2022 официальные выходные
  • Показатели давления и сердцебиения у женщины 57 лет
  • Гороскоп на декабрь 2021 Женщина Телец
  • Гороскоп на январь 2022 от Павла Глоба
  • Гороскоп на декабрь 2021 от Павла Глоба
  • Гороскоп на ноябрь 2021 от Павла Глоба
  • Стенограмма судьбы - Содержание серий, актеры и роли сериала
  • Мосгаз. Западня - Содержание серий, актеры и роли 2021
  • Тобол - Содержание серий, актеры и роли сериала. 2021
  • Гороскоп для Тигра на сегодня от Павла Глоба
  • Утраченные воспоминания - Содержание серий, актеры и роли
  • Чёрно-белая любовь - Содержание серий, актеры и роли сериала
  • Забытая женщина - Содержание серий, актеры и роли сериала
  • Тайна спящей дамы - Содержание серий, актеры и роли сериала
  • Сериал Часы с кукушкой - Содержание серий, актеры и роли
  •  
     

     
    Обращаем ваше внимание на то, что данный интернет-сайт www.kinolog.do.am носит исключительно информационный характер и ни при каких условиях не является публичной офертой, определяемой положениями Статьи 437 (2) Гражданского кодекса РФ. Цена и наличие товара может отличаться от действительной. Пожалуйста, уточняйте цены и наличие товара у наших менеджеров.
    Администрация сайта не несет ответственности за действия и содержание размещаемой информации пользователей: комментарии, материалы, сообщения и темы на форуме, публикации, объявления и т.д.
    Правообладателям | Реклама | Учебники | Политика
    Отопление, водоснабжение, газоснабжение, канализация © 2003 - 2021
    Рейтинг@Mail.ru Рейтинг арматурных сайтов. ARMTORG.RU Яндекс.Метрика