[ Новые сообщения · Участники · Правила форума · Поиск · RSS ]
 
Работай из дома! 18+

Сборник заданий и ГДЗ по Алгебре. 11 класс. Дорофеев Г. В.
МЕДВЕДИКДата: Понедельник, 28.09.2015, 09:18 | Сообщение # 46
Генерал-лейтенант
Группа: Проверенные
Сообщений: 602
Награды: 0
Репутация: 0
Статус: Offline


 
Работай из дома! 18+
 
 




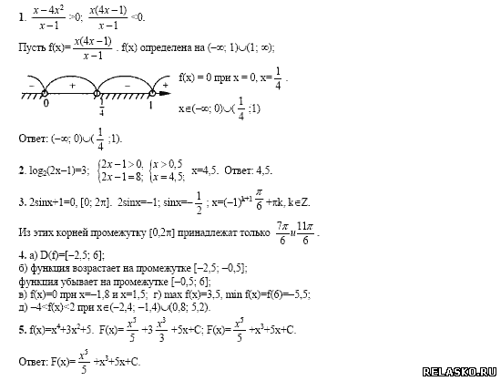
Для увеличения ответа на задание, нажмите на картинку

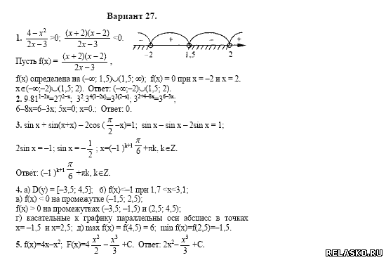
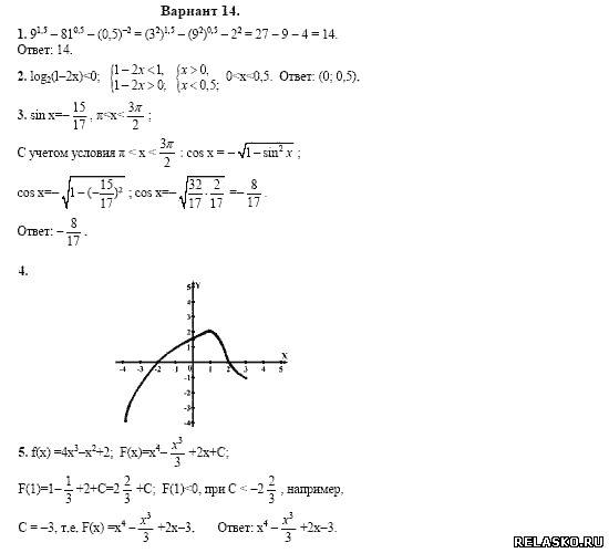
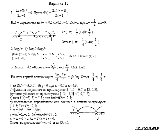
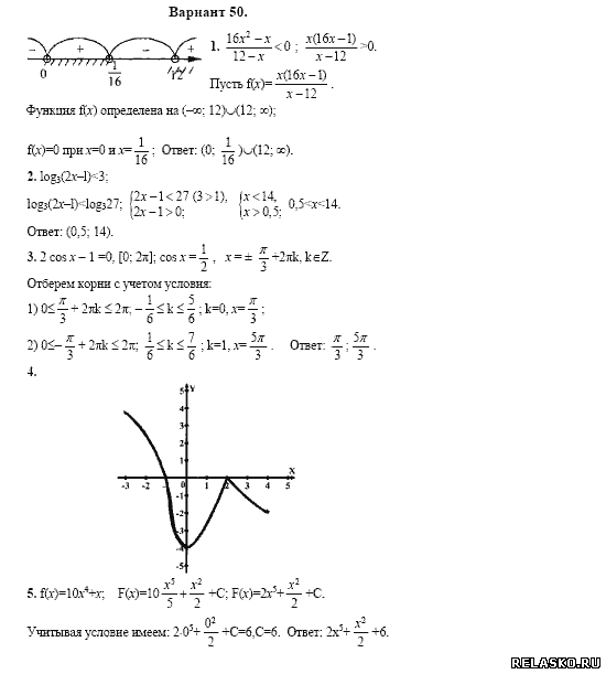
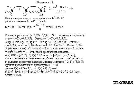
Вариант экзаменационного задания по курсу "Математика":

---------------------------------------------------------------------



---------------------------------------------------------------------



---------------------------------------------------------------------



---------------------------------------------------------------------



---------------------------------------------------------------------



---------------------------------------------------------------------

Перейти в оглавление решебника ГДЗ по Алгебре. 11 класс. Дорофеев Г.В. Сборник задач
Фото: 1826281.png (3.1 Kb) · 7238410.png (2.1 Kb) · 9409818.png (8.8 Kb) · 4298153.png (8.2 Kb) · 3631578.png (6.3 Kb)
 
 
МЕДВЕДИКДата: Понедельник, 28.09.2015, 09:19 | Сообщение # 47
Генерал-лейтенант
Группа: Проверенные
Сообщений: 602
Награды: 0
Репутация: 0
Статус: Offline


 
Работай из дома! 18+
 
 


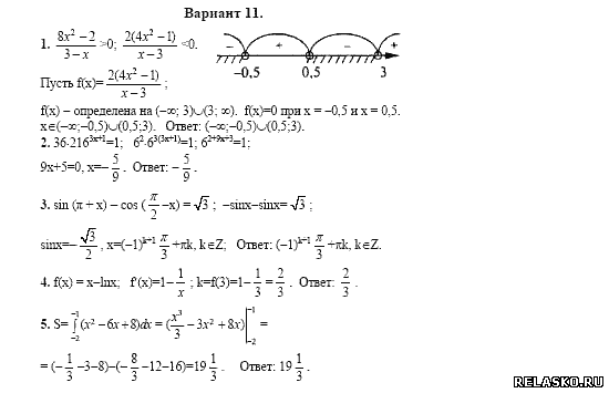
Для увеличения ответа на задание, нажмите на картинку

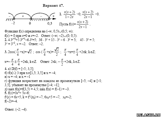
Вариант экзаменационного задания по курсу "Математика":

---------------------------------------------------------------------



---------------------------------------------------------------------



---------------------------------------------------------------------



---------------------------------------------------------------------



---------------------------------------------------------------------



---------------------------------------------------------------------

Перейти в оглавление решебника ГДЗ по Алгебре. 11 класс. Дорофеев Г.В. Сборник задач
Фото: 5367205.png (9.7 Kb) · 2747610.png (5.4 Kb) · 1292757.png (9.5 Kb) · 0855324.png (6.4 Kb) · 9526402.png (4.2 Kb)
 
 
МЕДВЕДИКДата: Понедельник, 28.09.2015, 09:20 | Сообщение # 48
Генерал-лейтенант
Группа: Проверенные
Сообщений: 602
Награды: 0
Репутация: 0
Статус: Offline


 
Работай из дома! 18+
 
 


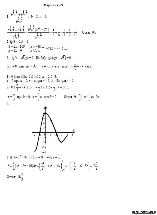
Для увеличения ответа на задание, нажмите на картинку

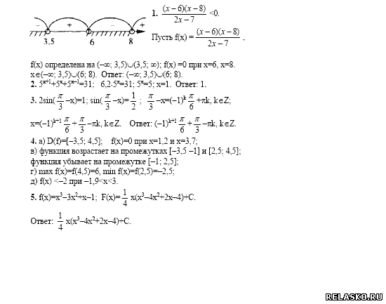
Вариант экзаменационного задания по курсу "Математика":

---------------------------------------------------------------------



---------------------------------------------------------------------



---------------------------------------------------------------------



---------------------------------------------------------------------



---------------------------------------------------------------------



---------------------------------------------------------------------

Перейти в оглавление решебника ГДЗ по Алгебре. 11 класс. Дорофеев Г.В. Сборник задач
Фото: 9732511.png (6.1 Kb) · 9966739.png (10.6 Kb) · 8444236.png (7.0 Kb) · 0091188.png (7.7 Kb) · 4335359.png (7.0 Kb)
 
 
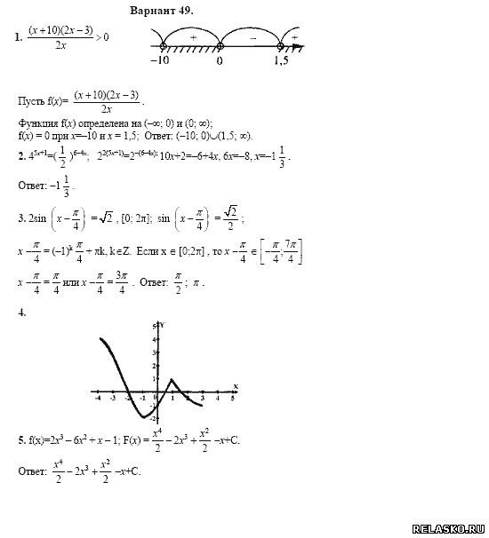
МЕДВЕДИКДата: Понедельник, 28.09.2015, 09:20 | Сообщение # 49
Генерал-лейтенант
Группа: Проверенные
Сообщений: 602
Награды: 0
Репутация: 0
Статус: Offline


 
Работай из дома! 18+
 
 


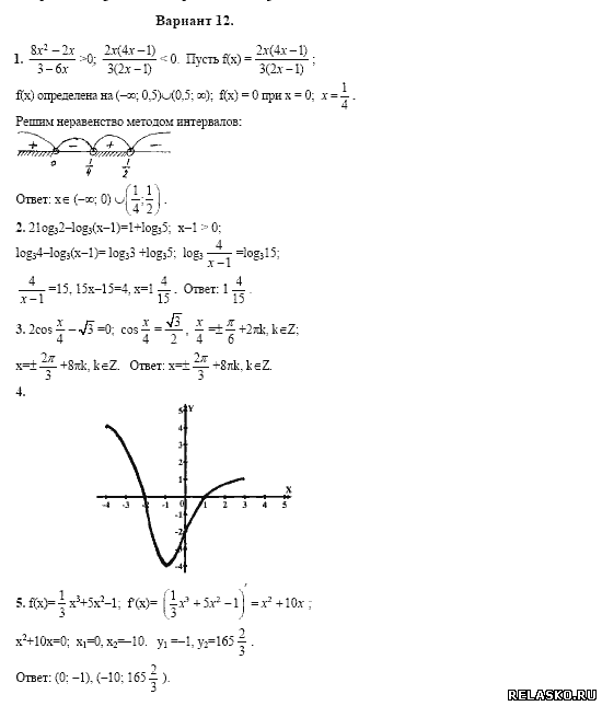
Для увеличения ответа на задание, нажмите на картинку

Вариант экзаменационного задания по курсу "Математика":

---------------------------------------------------------------------



---------------------------------------------------------------------



---------------------------------------------------------------------



---------------------------------------------------------------------



---------------------------------------------------------------------



---------------------------------------------------------------------

Перейти в оглавление решебника ГДЗ по Алгебре. 11 класс. Дорофеев Г.В. Сборник задач
Фото: 1720149.png (5.5 Kb) · 3213921.png (5.7 Kb) · 7466237.png (5.8 Kb) · 4822053.png (7.3 Kb) · 9182143.png (8.9 Kb)
 
 
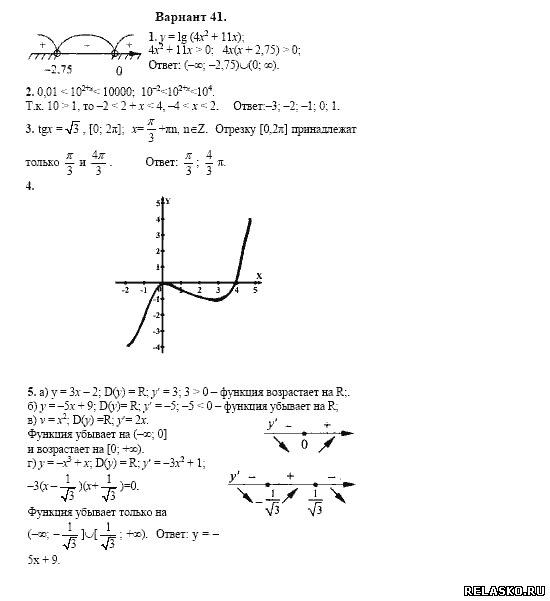
МЕДВЕДИКДата: Понедельник, 28.09.2015, 09:21 | Сообщение # 50
Генерал-лейтенант
Группа: Проверенные
Сообщений: 602
Награды: 0
Репутация: 0
Статус: Offline


 
Работай из дома! 18+
 
 


Для увеличения ответа на задание, нажмите на картинку

Вариант экзаменационного задания по курсу "Математика":

---------------------------------------------------------------------



---------------------------------------------------------------------



---------------------------------------------------------------------



---------------------------------------------------------------------



---------------------------------------------------------------------



---------------------------------------------------------------------

Перейти в оглавление решебника ГДЗ по Алгебре. 11 класс. Дорофеев Г.В. Сборник задач
Фото: 3238942.png (5.3 Kb) · 9198303.png (6.9 Kb) · 8668814.png (7.8 Kb) · 0783186.png (6.4 Kb) · 5184555.png (5.5 Kb)
 
 
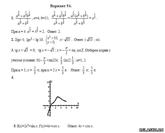
МЕДВЕДИКДата: Понедельник, 28.09.2015, 09:21 | Сообщение # 51
Генерал-лейтенант
Группа: Проверенные
Сообщений: 602
Награды: 0
Репутация: 0
Статус: Offline


 
Работай из дома! 18+
 
 


Для увеличения ответа на задание, нажмите на картинку

Вариант экзаменационного задания по курсу "Математика":

---------------------------------------------------------------------



---------------------------------------------------------------------



---------------------------------------------------------------------



---------------------------------------------------------------------



---------------------------------------------------------------------



---------------------------------------------------------------------

Перейти в оглавление решебника ГДЗ по Алгебре. 11 класс. Дорофеев Г.В. Сборник задач
Фото: 4104121.png (4.6 Kb) · 2688754.png (7.6 Kb) · 0071744.png (8.8 Kb) · 2019495.png (8.9 Kb) · 8553632.png (6.7 Kb)
 
 
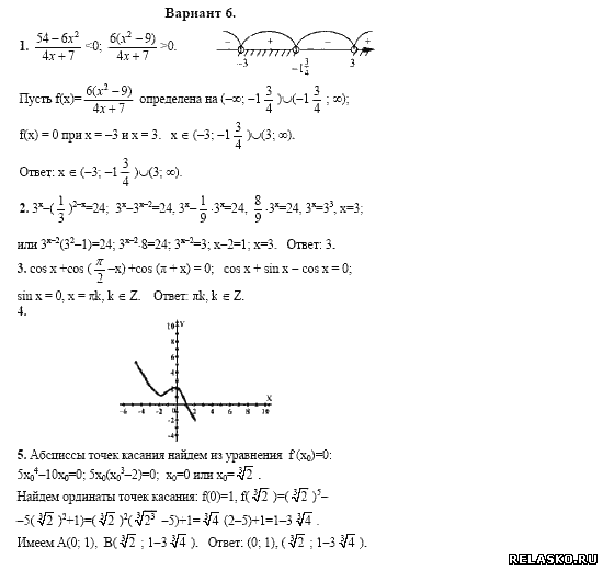
МЕДВЕДИКДата: Понедельник, 28.09.2015, 09:22 | Сообщение # 52
Генерал-лейтенант
Группа: Проверенные
Сообщений: 602
Награды: 0
Репутация: 0
Статус: Offline


 
Работай из дома! 18+
 
 


Для увеличения ответа на задание, нажмите на картинку

Вариант экзаменационного задания по курсу "Математика":

---------------------------------------------------------------------



---------------------------------------------------------------------



---------------------------------------------------------------------



---------------------------------------------------------------------



---------------------------------------------------------------------



---------------------------------------------------------------------

Перейти в оглавление решебника ГДЗ по Алгебре. 11 класс. Дорофеев Г.В. Сборник задач
Фото: 3454185.png (8.4 Kb) · 9969185.png (6.4 Kb) · 6133141.png (5.3 Kb) · 3724215.png (4.8 Kb) · 6736375.png (7.8 Kb)
 
 
МЕДВЕДИКДата: Понедельник, 28.09.2015, 09:23 | Сообщение # 53
Генерал-лейтенант
Группа: Проверенные
Сообщений: 602
Награды: 0
Репутация: 0
Статус: Offline


 
Работай из дома! 18+
 
 


Для увеличения ответа на задание, нажмите на картинку

Вариант экзаменационного задания по курсу "Математика":

---------------------------------------------------------------------



---------------------------------------------------------------------



---------------------------------------------------------------------



---------------------------------------------------------------------



---------------------------------------------------------------------



---------------------------------------------------------------------

Перейти в оглавление решебника ГДЗ по Алгебре. 11 класс. Дорофеев Г.В. Сборник задач
Фото: 9370463.png (8.6 Kb) · 8374628.png (8.9 Kb) · 0377490.png (7.3 Kb) · 4184744.png (8.6 Kb) · 0366855.png (8.2 Kb)
 
 
МЕДВЕДИКДата: Понедельник, 28.09.2015, 09:23 | Сообщение # 54
Генерал-лейтенант
Группа: Проверенные
Сообщений: 602
Награды: 0
Репутация: 0
Статус: Offline


 
Работай из дома! 18+
 
 


Для увеличения ответа на задание, нажмите на картинку

Вариант экзаменационного задания по курсу "Математика":

---------------------------------------------------------------------



---------------------------------------------------------------------



---------------------------------------------------------------------



---------------------------------------------------------------------



---------------------------------------------------------------------



---------------------------------------------------------------------

Перейти в оглавление решебника ГДЗ по Алгебре. 11 класс. Дорофеев Г.В. Сборник задач
Фото: 7431364.png (4.3 Kb) · 2802994.png (8.1 Kb) · 8595369.png (10.5 Kb) · 0601980.png (10.0 Kb) · 6151845.png (10.3 Kb)
 
 
МЕДВЕДИКДата: Понедельник, 28.09.2015, 09:24 | Сообщение # 55
Генерал-лейтенант
Группа: Проверенные
Сообщений: 602
Награды: 0
Репутация: 0
Статус: Offline


 
Работай из дома! 18+
 
 


Для увеличения ответа на задание, нажмите на картинку

Вариант экзаменационного задания по курсу "Математика":

---------------------------------------------------------------------



---------------------------------------------------------------------



---------------------------------------------------------------------



---------------------------------------------------------------------



---------------------------------------------------------------------



---------------------------------------------------------------------

Перейти в оглавление решебника ГДЗ по Алгебре. 11 класс. Дорофеев Г.В. Сборник задач
Фото: 6095727.png (7.9 Kb) · 0524962.png (7.3 Kb) · 2077346.png (8.5 Kb) · 5994336.png (5.1 Kb) · 0869730.png (6.7 Kb)
 
 
МЕДВЕДИКДата: Понедельник, 28.09.2015, 09:24 | Сообщение # 56
Генерал-лейтенант
Группа: Проверенные
Сообщений: 602
Награды: 0
Репутация: 0
Статус: Offline


 
Работай из дома! 18+
 
 


Для увеличения ответа на задание, нажмите на картинку

Вариант экзаменационного задания по курсу "Математика":

---------------------------------------------------------------------



---------------------------------------------------------------------



---------------------------------------------------------------------



---------------------------------------------------------------------



---------------------------------------------------------------------



---------------------------------------------------------------------

Перейти в оглавление решебника ГДЗ по Алгебре. 11 класс. Дорофеев Г.В. Сборник задач
Фото: 1923131.png (7.9 Kb) · 2371283.png (6.3 Kb) · 7413036.png (5.3 Kb) · 9460342.png (4.3 Kb) · 7996870.png (5.0 Kb)
 
 
МЕДВЕДИКДата: Понедельник, 28.09.2015, 09:25 | Сообщение # 57
Генерал-лейтенант
Группа: Проверенные
Сообщений: 602
Награды: 0
Репутация: 0
Статус: Offline


 
Работай из дома! 18+
 
 


Для увеличения ответа на задание, нажмите на картинку

Вариант экзаменационного задания по курсу "Математика":

---------------------------------------------------------------------



---------------------------------------------------------------------



---------------------------------------------------------------------



---------------------------------------------------------------------



---------------------------------------------------------------------



---------------------------------------------------------------------

Перейти в оглавление решебника ГДЗ по Алгебре. 11 класс. Дорофеев Г.В. Сборник задач
Фото: 6396493.png (5.6 Kb) · 3071707.png (3.6 Kb) · 1297982.png (5.2 Kb) · 2252149.png (9.8 Kb) · 3997152.png (8.8 Kb)
 
 
МЕДВЕДИКДата: Понедельник, 28.09.2015, 09:25 | Сообщение # 58
Генерал-лейтенант
Группа: Проверенные
Сообщений: 602
Награды: 0
Репутация: 0
Статус: Offline


 
Работай из дома! 18+
 
 


Для увеличения ответа на задание, нажмите на картинку

Вариант экзаменационного задания по курсу "Математика":

---------------------------------------------------------------------



---------------------------------------------------------------------



---------------------------------------------------------------------



---------------------------------------------------------------------



---------------------------------------------------------------------



---------------------------------------------------------------------

Перейти в оглавление решебника ГДЗ по Алгебре. 11 класс. Дорофеев Г.В. Сборник задач
Фото: 7149412.png (11.5 Kb) · 1826055.png (7.0 Kb) · 9767551.png (9.1 Kb) · 8307761.png (5.9 Kb) · 0659197.png (6.8 Kb)
 
 
МЕДВЕДИКДата: Понедельник, 28.09.2015, 09:26 | Сообщение # 59
Генерал-лейтенант
Группа: Проверенные
Сообщений: 602
Награды: 0
Репутация: 0
Статус: Offline


 
Работай из дома! 18+
 
 


Для увеличения ответа на задание, нажмите на картинку

Вариант экзаменационного задания по курсу "Математика":

---------------------------------------------------------------------



---------------------------------------------------------------------



---------------------------------------------------------------------



---------------------------------------------------------------------



---------------------------------------------------------------------



---------------------------------------------------------------------

Перейти в оглавление решебника ГДЗ по Алгебре. 11 класс. Дорофеев Г.В. Сборник задач
Фото: 0928673.png (8.4 Kb) · 9789898.png (5.0 Kb) · 5251245.png (8.7 Kb) · 8909205.png (5.3 Kb) · 3718020.png (7.7 Kb)
 
 
МЕДВЕДИКДата: Понедельник, 28.09.2015, 09:28 | Сообщение # 60
Генерал-лейтенант
Группа: Проверенные
Сообщений: 602
Награды: 0
Репутация: 0
Статус: Offline


 
Работай из дома! 18+
 
 


Для увеличения ответа на задание, нажмите на картинку

Вариант экзаменационного задания по курсу "Математика":

---------------------------------------------------------------------



---------------------------------------------------------------------



---------------------------------------------------------------------



---------------------------------------------------------------------



---------------------------------------------------------------------



---------------------------------------------------------------------

Читать продолжение решебника...

Фото: 8761960.png (4.3 Kb) · 6662431.png (5.2 Kb) · 2978515.png (4.6 Kb) · 0750349.png (5.8 Kb) · 7795636.png (6.1 Kb)
 
 
Поиск:

Работай из дома! 18+
 
 
 
 
 
 

 
Последние темы на форуме:
 
  • Новогодние праздники 2021-2022 официальные выходные
  • Показатели давления и сердцебиения у женщины 57 лет
  • Гороскоп на декабрь 2021 Женщина Телец
  • Гороскоп на январь 2022 от Павла Глоба
  • Гороскоп на декабрь 2021 от Павла Глоба
  • Гороскоп на ноябрь 2021 от Павла Глоба
  • Стенограмма судьбы - Содержание серий, актеры и роли сериала
  • Мосгаз. Западня - Содержание серий, актеры и роли 2021
  • Тобол - Содержание серий, актеры и роли сериала. 2021
  • Гороскоп для Тигра на сегодня от Павла Глоба
  • Утраченные воспоминания - Содержание серий, актеры и роли
  • Чёрно-белая любовь - Содержание серий, актеры и роли сериала
  • Забытая женщина - Содержание серий, актеры и роли сериала
  • Тайна спящей дамы - Содержание серий, актеры и роли сериала
  • Сериал Часы с кукушкой - Содержание серий, актеры и роли
  •  
     

     
    Обращаем ваше внимание на то, что данный интернет-сайт www.kinolog.do.am носит исключительно информационный характер и ни при каких условиях не является публичной офертой, определяемой положениями Статьи 437 (2) Гражданского кодекса РФ. Цена и наличие товара может отличаться от действительной. Пожалуйста, уточняйте цены и наличие товара у наших менеджеров.
    Администрация сайта не несет ответственности за действия и содержание размещаемой информации пользователей: комментарии, материалы, сообщения и темы на форуме, публикации, объявления и т.д.
    Правообладателям | Реклама | Учебники | Политика
    Отопление, водоснабжение, газоснабжение, канализация © 2003 - 2021
    Рейтинг@Mail.ru Рейтинг арматурных сайтов. ARMTORG.RU Яндекс.Метрика