[ Новые сообщения · Участники · Правила форума · Поиск · RSS ]
 
Работай из дома! 18+

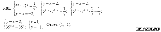
Сборник заданий и ГДЗ по Алгебре. 11 класс. Дорофеев Г. В.
МЕДВЕДИКДата: Понедельник, 28.09.2015, 09:10 | Сообщение # 31
Генерал-лейтенант
Группа: Проверенные
Сообщений: 602
Награды: 0
Репутация: 0
Статус: Offline


 
Работай из дома! 18+
 
 




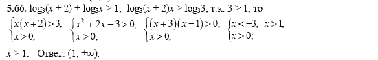
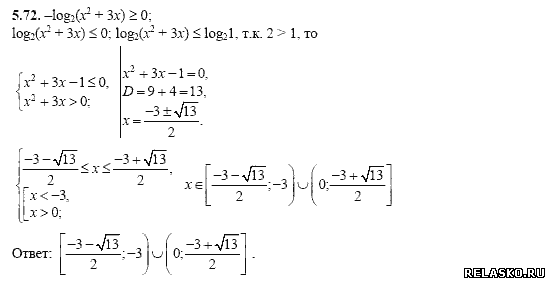
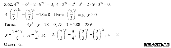
Для увеличения ответа на задание, нажмите на картинку

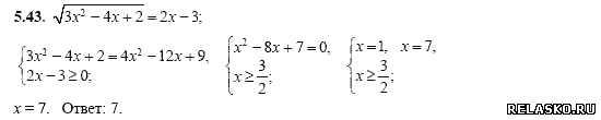
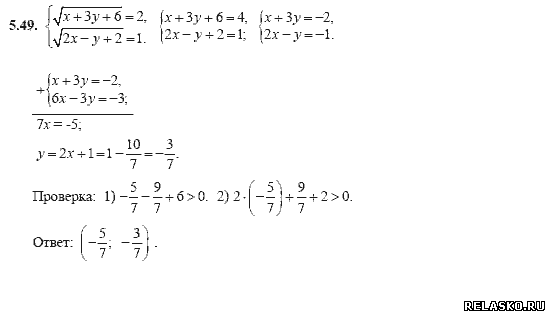
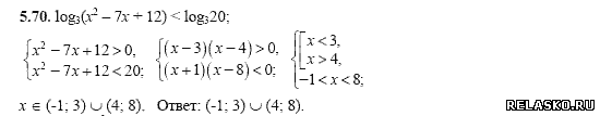
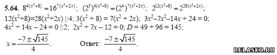
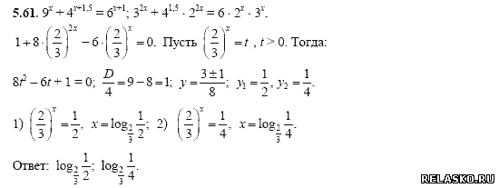
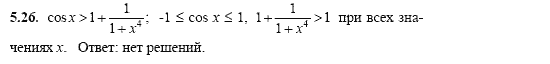
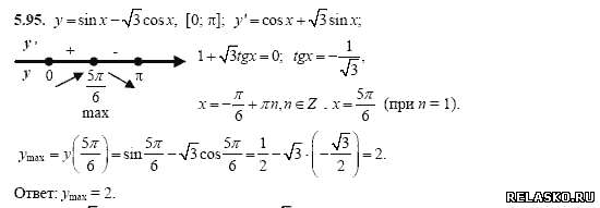
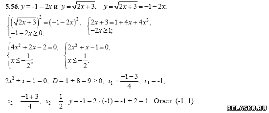
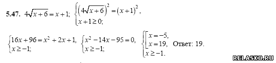
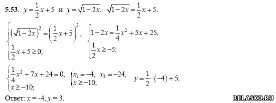
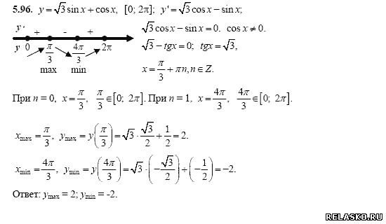
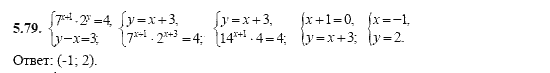
Вариант экзаменационного задания по курсу "Математика":

---------------------------------------------------------------------



---------------------------------------------------------------------



---------------------------------------------------------------------



---------------------------------------------------------------------



---------------------------------------------------------------------



---------------------------------------------------------------------

Перейти в оглавление решебника ГДЗ по Алгебре. 11 класс. Дорофеев Г.В. Сборник задач
Фото: 5814773.png (1.5 Kb) · 7705029.png (1.4 Kb) · 5470532.png (2.9 Kb) · 2547006.png (2.2 Kb) · 5704942.png (1.8 Kb)
 
 
МЕДВЕДИКДата: Понедельник, 28.09.2015, 09:10 | Сообщение # 32
Генерал-лейтенант
Группа: Проверенные
Сообщений: 602
Награды: 0
Репутация: 0
Статус: Offline


 
Работай из дома! 18+
 
 


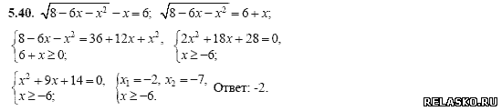
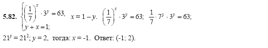
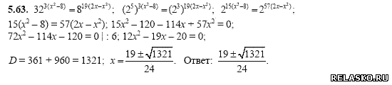
Для увеличения ответа на задание, нажмите на картинку

Вариант экзаменационного задания по курсу "Математика":

---------------------------------------------------------------------



---------------------------------------------------------------------



---------------------------------------------------------------------



---------------------------------------------------------------------



---------------------------------------------------------------------



---------------------------------------------------------------------

Перейти в оглавление решебника ГДЗ по Алгебре. 11 класс. Дорофеев Г.В. Сборник задач
Фото: 0377360.png (2.5 Kb) · 1050363.png (2.3 Kb) · 4612099.png (1.6 Kb) · 9864722.png (1.6 Kb) · 4793956.png (2.4 Kb)
 
 
МЕДВЕДИКДата: Понедельник, 28.09.2015, 09:11 | Сообщение # 33
Генерал-лейтенант
Группа: Проверенные
Сообщений: 602
Награды: 0
Репутация: 0
Статус: Offline


 
Работай из дома! 18+
 
 


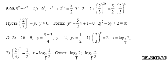
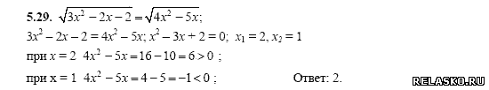
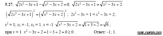
Для увеличения ответа на задание, нажмите на картинку

Вариант экзаменационного задания по курсу "Математика":

---------------------------------------------------------------------



---------------------------------------------------------------------



---------------------------------------------------------------------



---------------------------------------------------------------------



---------------------------------------------------------------------



---------------------------------------------------------------------

Перейти в оглавление решебника ГДЗ по Алгебре. 11 класс. Дорофеев Г.В. Сборник задач
Фото: 8061487.png (1.9 Kb) · 4439108.png (3.5 Kb) · 5674706.png (2.7 Kb) · 4877844.png (1.8 Kb) · 7369777.png (2.2 Kb)
 
 
МЕДВЕДИКДата: Понедельник, 28.09.2015, 09:11 | Сообщение # 34
Генерал-лейтенант
Группа: Проверенные
Сообщений: 602
Награды: 0
Репутация: 0
Статус: Offline


 
Работай из дома! 18+
 
 


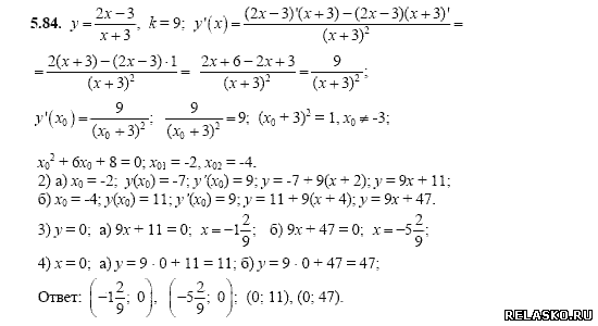
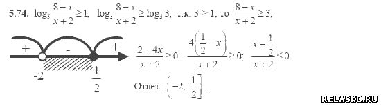
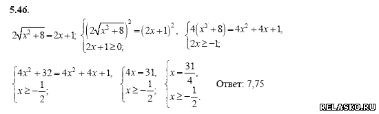
Для увеличения ответа на задание, нажмите на картинку

Вариант экзаменационного задания по курсу "Математика":

---------------------------------------------------------------------



---------------------------------------------------------------------



---------------------------------------------------------------------



---------------------------------------------------------------------



---------------------------------------------------------------------



---------------------------------------------------------------------

Перейти в оглавление решебника ГДЗ по Алгебре. 11 класс. Дорофеев Г.В. Сборник задач
Фото: 2307470.png (2.1 Kb) · 4510913.png (2.1 Kb) · 7207577.png (1.9 Kb) · 3516377.png (1.7 Kb) · 4960894.png (1.9 Kb)
 
 
МЕДВЕДИКДата: Понедельник, 28.09.2015, 09:12 | Сообщение # 35
Генерал-лейтенант
Группа: Проверенные
Сообщений: 602
Награды: 0
Репутация: 0
Статус: Offline


 
Работай из дома! 18+
 
 


Для увеличения ответа на задание, нажмите на картинку

Вариант экзаменационного задания по курсу "Математика":

---------------------------------------------------------------------



---------------------------------------------------------------------



---------------------------------------------------------------------



---------------------------------------------------------------------



---------------------------------------------------------------------



---------------------------------------------------------------------

Перейти в оглавление решебника ГДЗ по Алгебре. 11 класс. Дорофеев Г.В. Сборник задач
Фото: 2503000.png (2.2 Kb) · 6586265.png (2.5 Kb) · 1050972.png (1.9 Kb) · 6560478.png (2.7 Kb) · 7517075.png (2.7 Kb)
 
 
МЕДВЕДИКДата: Понедельник, 28.09.2015, 09:13 | Сообщение # 36
Генерал-лейтенант
Группа: Проверенные
Сообщений: 602
Награды: 0
Репутация: 0
Статус: Offline


 
Работай из дома! 18+
 
 


Для увеличения ответа на задание, нажмите на картинку

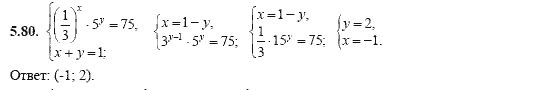
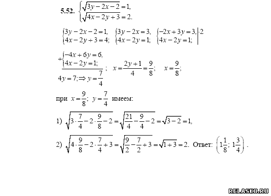
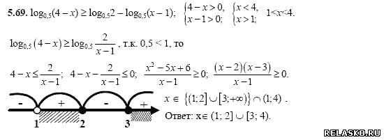
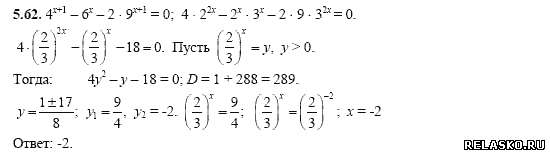
Вариант экзаменационного задания по курсу "Математика":

---------------------------------------------------------------------



---------------------------------------------------------------------



---------------------------------------------------------------------



---------------------------------------------------------------------



---------------------------------------------------------------------



---------------------------------------------------------------------

Перейти в оглавление решебника ГДЗ по Алгебре. 11 класс. Дорофеев Г.В. Сборник задач
Фото: 4408537.png (3.2 Kb) · 6481400.png (3.6 Kb) · 6544510.png (4.4 Kb) · 9718386.png (2.9 Kb) · 9254295.png (3.0 Kb)
 
 
МЕДВЕДИКДата: Понедельник, 28.09.2015, 09:13 | Сообщение # 37
Генерал-лейтенант
Группа: Проверенные
Сообщений: 602
Награды: 0
Репутация: 0
Статус: Offline


 
Работай из дома! 18+
 
 


Для увеличения ответа на задание, нажмите на картинку

Вариант экзаменационного задания по курсу "Математика":

---------------------------------------------------------------------



---------------------------------------------------------------------



---------------------------------------------------------------------



---------------------------------------------------------------------



---------------------------------------------------------------------



---------------------------------------------------------------------

Перейти в оглавление решебника ГДЗ по Алгебре. 11 класс. Дорофеев Г.В. Сборник задач
Фото: 1365227.png (2.4 Kb) · 9009198.png (3.3 Kb) · 2792977.png (2.1 Kb) · 4703821.png (2.0 Kb) · 8530886.png (3.1 Kb)
 
 
МЕДВЕДИКДата: Понедельник, 28.09.2015, 09:14 | Сообщение # 38
Генерал-лейтенант
Группа: Проверенные
Сообщений: 602
Награды: 0
Репутация: 0
Статус: Offline


 
Работай из дома! 18+
 
 


Для увеличения ответа на задание, нажмите на картинку

Вариант экзаменационного задания по курсу "Математика":

---------------------------------------------------------------------



---------------------------------------------------------------------



---------------------------------------------------------------------



---------------------------------------------------------------------



---------------------------------------------------------------------



---------------------------------------------------------------------

Перейти в оглавление решебника ГДЗ по Алгебре. 11 класс. Дорофеев Г.В. Сборник задач
Фото: 7187329.png (3.4 Kb) · 6230395.png (3.4 Kb) · 2296858.png (3.4 Kb) · 3012456.png (3.4 Kb) · 0825350.png (3.2 Kb)
 
 
МЕДВЕДИКДата: Понедельник, 28.09.2015, 09:15 | Сообщение # 39
Генерал-лейтенант
Группа: Проверенные
Сообщений: 602
Награды: 0
Репутация: 0
Статус: Offline


 
Работай из дома! 18+
 
 


Для увеличения ответа на задание, нажмите на картинку

Вариант экзаменационного задания по курсу "Математика":

---------------------------------------------------------------------



---------------------------------------------------------------------



---------------------------------------------------------------------



---------------------------------------------------------------------



---------------------------------------------------------------------



---------------------------------------------------------------------

Перейти в оглавление решебника ГДЗ по Алгебре. 11 класс. Дорофеев Г.В. Сборник задач
Фото: 1319891.png (3.2 Kb) · 5362447.png (2.4 Kb) · 2890654.png (2.5 Kb) · 8892677.png (2.2 Kb) · 4141291.png (2.0 Kb)
 
 
МЕДВЕДИКДата: Понедельник, 28.09.2015, 09:15 | Сообщение # 40
Генерал-лейтенант
Группа: Проверенные
Сообщений: 602
Награды: 0
Репутация: 0
Статус: Offline


 
Работай из дома! 18+
 
 


Для увеличения ответа на задание, нажмите на картинку

Вариант экзаменационного задания по курсу "Математика":

---------------------------------------------------------------------



---------------------------------------------------------------------



---------------------------------------------------------------------



---------------------------------------------------------------------



---------------------------------------------------------------------



---------------------------------------------------------------------

Перейти в оглавление решебника ГДЗ по Алгебре. 11 класс. Дорофеев Г.В. Сборник задач
Фото: 4789637.png (4.7 Kb) · 3354700.png (2.6 Kb) · 8711764.png (2.8 Kb) · 3640082.png (3.8 Kb) · 1769501.png (2.9 Kb)
 
 
МЕДВЕДИКДата: Понедельник, 28.09.2015, 09:15 | Сообщение # 41
Генерал-лейтенант
Группа: Проверенные
Сообщений: 602
Награды: 0
Репутация: 0
Статус: Offline


 
Работай из дома! 18+
 
 


Для увеличения ответа на задание, нажмите на картинку

Вариант экзаменационного задания по курсу "Математика":

---------------------------------------------------------------------



---------------------------------------------------------------------



---------------------------------------------------------------------



---------------------------------------------------------------------



---------------------------------------------------------------------



---------------------------------------------------------------------

Перейти в оглавление решебника ГДЗ по Алгебре. 11 класс. Дорофеев Г.В. Сборник задач
Фото: 4405130.png (2.7 Kb) · 9044324.png (3.1 Kb) · 7524402.png (2.6 Kb) · 9499008.png (2.0 Kb) · 6231485.png (2.1 Kb)
 
 
МЕДВЕДИКДата: Понедельник, 28.09.2015, 09:16 | Сообщение # 42
Генерал-лейтенант
Группа: Проверенные
Сообщений: 602
Награды: 0
Репутация: 0
Статус: Offline


 
Работай из дома! 18+
 
 


Для увеличения ответа на задание, нажмите на картинку

Вариант экзаменационного задания по курсу "Математика":

---------------------------------------------------------------------



---------------------------------------------------------------------



---------------------------------------------------------------------



---------------------------------------------------------------------



---------------------------------------------------------------------



---------------------------------------------------------------------

Перейти в оглавление решебника ГДЗ по Алгебре. 11 класс. Дорофеев Г.В. Сборник задач
Фото: 1665706.png (1.7 Kb) · 0474599.png (1.5 Kb) · 8958716.png (1.8 Kb) · 2297643.png (1.6 Kb) · 4562441.png (4.8 Kb)
 
 
МЕДВЕДИКДата: Понедельник, 28.09.2015, 09:16 | Сообщение # 43
Генерал-лейтенант
Группа: Проверенные
Сообщений: 602
Награды: 0
Репутация: 0
Статус: Offline


 
Работай из дома! 18+
 
 


Для увеличения ответа на задание, нажмите на картинку

Вариант экзаменационного задания по курсу "Математика":

---------------------------------------------------------------------



---------------------------------------------------------------------



---------------------------------------------------------------------



---------------------------------------------------------------------



---------------------------------------------------------------------



---------------------------------------------------------------------

Перейти в оглавление решебника ГДЗ по Алгебре. 11 класс. Дорофеев Г.В. Сборник задач
Фото: 4052555.png (7.0 Kb) · 0548651.png (5.2 Kb) · 0352025.png (4.9 Kb) · 9205037.png (4.3 Kb) · 7823836.png (2.1 Kb)
 
 
МЕДВЕДИКДата: Понедельник, 28.09.2015, 09:17 | Сообщение # 44
Генерал-лейтенант
Группа: Проверенные
Сообщений: 602
Награды: 0
Репутация: 0
Статус: Offline


 
Работай из дома! 18+
 
 


Для увеличения ответа на задание, нажмите на картинку

Вариант экзаменационного задания по курсу "Математика":

---------------------------------------------------------------------



---------------------------------------------------------------------



---------------------------------------------------------------------



---------------------------------------------------------------------



---------------------------------------------------------------------



---------------------------------------------------------------------

Перейти в оглавление решебника ГДЗ по Алгебре. 11 класс. Дорофеев Г.В. Сборник задач
Фото: 9046139.png (2.3 Kb) · 1439337.png (2.5 Kb) · 8253661.png (2.5 Kb) · 8615344.png (2.4 Kb) · 2853305.png (3.0 Kb)
 
 
МЕДВЕДИКДата: Понедельник, 28.09.2015, 09:18 | Сообщение # 45
Генерал-лейтенант
Группа: Проверенные
Сообщений: 602
Награды: 0
Репутация: 0
Статус: Offline


 
Работай из дома! 18+
 
 


Для увеличения ответа на задание, нажмите на картинку

Вариант экзаменационного задания по курсу "Математика":

---------------------------------------------------------------------



---------------------------------------------------------------------



---------------------------------------------------------------------



---------------------------------------------------------------------



---------------------------------------------------------------------



---------------------------------------------------------------------

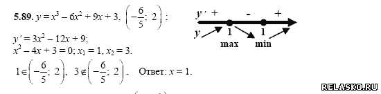
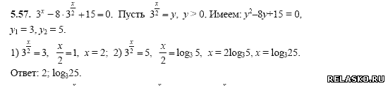
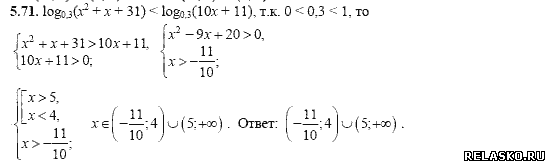
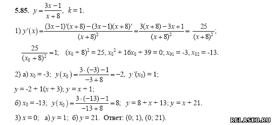
Читать продолжение решебника...

Фото: 5399240.png (3.5 Kb) · 0510549.png (3.1 Kb) · 2188916.png (4.7 Kb) · 4469711.png (3.2 Kb) · 5542724.png (1.5 Kb)
 
 
Поиск:

Работай из дома! 18+
 
 
 
 
 
 

 
Последние темы на форуме:
 
  • Новогодние праздники 2021-2022 официальные выходные
  • Показатели давления и сердцебиения у женщины 57 лет
  • Гороскоп на декабрь 2021 Женщина Телец
  • Гороскоп на январь 2022 от Павла Глоба
  • Гороскоп на декабрь 2021 от Павла Глоба
  • Гороскоп на ноябрь 2021 от Павла Глоба
  • Стенограмма судьбы - Содержание серий, актеры и роли сериала
  • Мосгаз. Западня - Содержание серий, актеры и роли 2021
  • Тобол - Содержание серий, актеры и роли сериала. 2021
  • Гороскоп для Тигра на сегодня от Павла Глоба
  • Утраченные воспоминания - Содержание серий, актеры и роли
  • Чёрно-белая любовь - Содержание серий, актеры и роли сериала
  • Забытая женщина - Содержание серий, актеры и роли сериала
  • Тайна спящей дамы - Содержание серий, актеры и роли сериала
  • Сериал Часы с кукушкой - Содержание серий, актеры и роли
  •  
     

     
    Обращаем ваше внимание на то, что данный интернет-сайт www.kinolog.do.am носит исключительно информационный характер и ни при каких условиях не является публичной офертой, определяемой положениями Статьи 437 (2) Гражданского кодекса РФ. Цена и наличие товара может отличаться от действительной. Пожалуйста, уточняйте цены и наличие товара у наших менеджеров.
    Администрация сайта не несет ответственности за действия и содержание размещаемой информации пользователей: комментарии, материалы, сообщения и темы на форуме, публикации, объявления и т.д.
    Правообладателям | Реклама | Учебники | Политика
    Отопление, водоснабжение, газоснабжение, канализация © 2003 - 2021
    Рейтинг@Mail.ru Рейтинг арматурных сайтов. ARMTORG.RU Яндекс.Метрика