[ Новые сообщения · Участники · Правила форума · Поиск · RSS ]
 
Работай из дома! 18+

Сборник заданий и ГДЗ по Алгебре. 11 класс. Дорофеев Г. В.
МЕДВЕДИКДата: Понедельник, 28.09.2015, 10:00 | Сообщение # 76
Генерал-лейтенант
Группа: Проверенные
Сообщений: 602
Награды: 0
Репутация: 0
Статус: Offline


 
Работай из дома! 18+
 
 




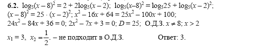
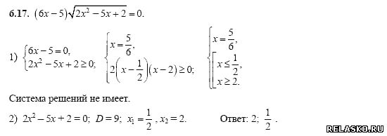
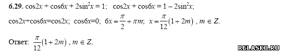
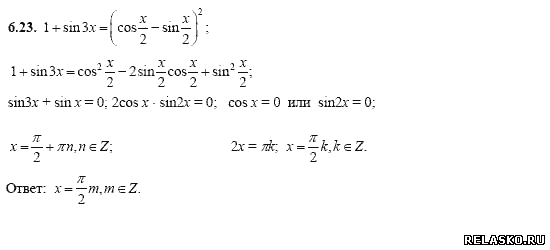
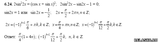
Для увеличения ответа на задание, нажмите на картинку

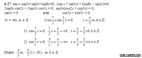
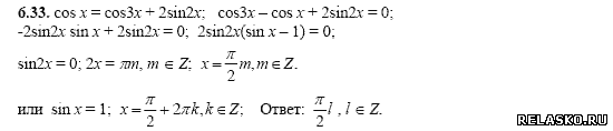
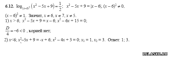
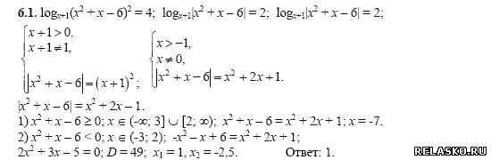
Вариант экзаменационного задания по курсу "Математика":

---------------------------------------------------------------------



---------------------------------------------------------------------



---------------------------------------------------------------------



---------------------------------------------------------------------



---------------------------------------------------------------------



---------------------------------------------------------------------

Перейти в оглавление решебника ГДЗ по Алгебре. 11 класс. Дорофеев Г.В. Сборник задач
Фото: 4318702.png (3.6 Kb) · 9682658.png (4.2 Kb) · 5582596.png (5.8 Kb) · 6146196.png (7.1 Kb) · 0582105.png (6.0 Kb)
 
 
МЕДВЕДИКДата: Понедельник, 28.09.2015, 10:00 | Сообщение # 77
Генерал-лейтенант
Группа: Проверенные
Сообщений: 602
Награды: 0
Репутация: 0
Статус: Offline


 
Работай из дома! 18+
 
 


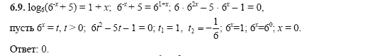
Для увеличения ответа на задание, нажмите на картинку

Вариант экзаменационного задания по курсу "Математика":

---------------------------------------------------------------------



---------------------------------------------------------------------



---------------------------------------------------------------------



---------------------------------------------------------------------



---------------------------------------------------------------------



---------------------------------------------------------------------

Перейти в оглавление решебника ГДЗ по Алгебре. 11 класс. Дорофеев Г.В. Сборник задач
Фото: 4726881.png (5.6 Kb) · 3281060.png (4.9 Kb) · 4311389.png (6.6 Kb) · 8694233.png (9.3 Kb) · 9855050.png (3.4 Kb)
 
 
МЕДВЕДИКДата: Понедельник, 28.09.2015, 10:01 | Сообщение # 78
Генерал-лейтенант
Группа: Проверенные
Сообщений: 602
Награды: 0
Репутация: 0
Статус: Offline


 
Работай из дома! 18+
 
 


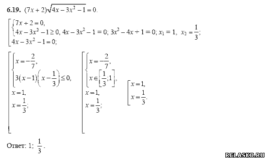
Для увеличения ответа на задание, нажмите на картинку

Вариант экзаменационного задания по курсу "Математика":

---------------------------------------------------------------------



---------------------------------------------------------------------



---------------------------------------------------------------------



---------------------------------------------------------------------



---------------------------------------------------------------------



---------------------------------------------------------------------

Перейти в оглавление решебника ГДЗ по Алгебре. 11 класс. Дорофеев Г.В. Сборник задач
Фото: 8908065.png (4.4 Kb) · 8045562.png (4.6 Kb) · 3581118.png (3.3 Kb) · 1851497.png (3.3 Kb) · 0254831.png (3.5 Kb)
 
 
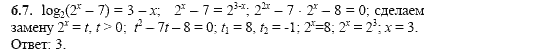
МЕДВЕДИКДата: Понедельник, 28.09.2015, 10:02 | Сообщение # 79
Генерал-лейтенант
Группа: Проверенные
Сообщений: 602
Награды: 0
Репутация: 0
Статус: Offline


 
Работай из дома! 18+
 
 


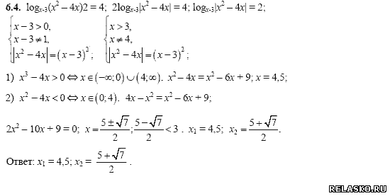
Для увеличения ответа на задание, нажмите на картинку

Вариант экзаменационного задания по курсу "Математика":

---------------------------------------------------------------------



---------------------------------------------------------------------



---------------------------------------------------------------------



---------------------------------------------------------------------



---------------------------------------------------------------------



---------------------------------------------------------------------

Перейти в оглавление решебника ГДЗ по Алгебре. 11 класс. Дорофеев Г.В. Сборник задач
Фото: 6916454.png (4.0 Kb) · 0435759.png (5.9 Kb) · 2510242.png (3.5 Kb) · 6645601.png (3.9 Kb) · 3097385.png (4.5 Kb)
 
 
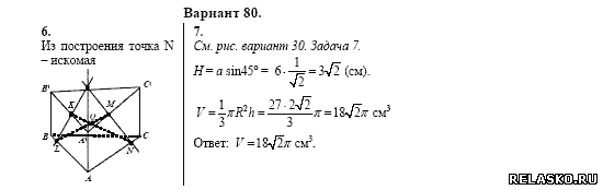
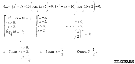
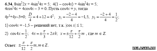
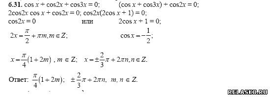
МЕДВЕДИКДата: Понедельник, 28.09.2015, 10:02 | Сообщение # 80
Генерал-лейтенант
Группа: Проверенные
Сообщений: 602
Награды: 0
Репутация: 0
Статус: Offline


 
Работай из дома! 18+
 
 


Для увеличения ответа на задание, нажмите на картинку

Вариант экзаменационного задания по курсу "Математика":

---------------------------------------------------------------------



---------------------------------------------------------------------



---------------------------------------------------------------------



---------------------------------------------------------------------



---------------------------------------------------------------------



---------------------------------------------------------------------

Перейти в оглавление решебника ГДЗ по Алгебре. 11 класс. Дорофеев Г.В. Сборник задач
Фото: 4779472.png (3.6 Kb) · 7341647.png (3.0 Kb) · 3923102.png (5.6 Kb) · 9926784.png (5.2 Kb) · 7909920.png (3.5 Kb)
 
 
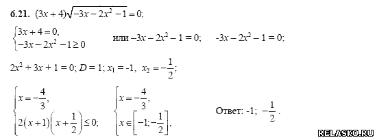
МЕДВЕДИКДата: Понедельник, 28.09.2015, 10:03 | Сообщение # 81
Генерал-лейтенант
Группа: Проверенные
Сообщений: 602
Награды: 0
Репутация: 0
Статус: Offline


 
Работай из дома! 18+
 
 


Для увеличения ответа на задание, нажмите на картинку

Вариант экзаменационного задания по курсу "Математика":

---------------------------------------------------------------------



---------------------------------------------------------------------



---------------------------------------------------------------------



---------------------------------------------------------------------



---------------------------------------------------------------------



---------------------------------------------------------------------

Перейти в оглавление решебника ГДЗ по Алгебре. 11 класс. Дорофеев Г.В. Сборник задач
Фото: 4595349.png (3.0 Kb) · 9104920.png (5.2 Kb) · 5910188.png (4.8 Kb) · 6758521.png (4.6 Kb) · 0432527.png (4.1 Kb)
 
 
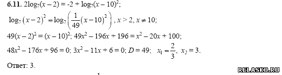
МЕДВЕДИКДата: Понедельник, 28.09.2015, 10:03 | Сообщение # 82
Генерал-лейтенант
Группа: Проверенные
Сообщений: 602
Награды: 0
Репутация: 0
Статус: Offline


 
Работай из дома! 18+
 
 


Для увеличения ответа на задание, нажмите на картинку

Вариант экзаменационного задания по курсу "Математика":

---------------------------------------------------------------------



---------------------------------------------------------------------



---------------------------------------------------------------------



---------------------------------------------------------------------



---------------------------------------------------------------------



---------------------------------------------------------------------

Перейти в оглавление решебника ГДЗ по Алгебре. 11 класс. Дорофеев Г.В. Сборник задач
Фото: 8754560.png (5.8 Kb) · 4794840.png (6.4 Kb) · 3758893.png (3.4 Kb) · 8872333.png (4.2 Kb) · 1891748.png (6.2 Kb)
 
 
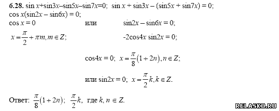
МЕДВЕДИКДата: Понедельник, 28.09.2015, 10:04 | Сообщение # 83
Генерал-лейтенант
Группа: Проверенные
Сообщений: 602
Награды: 0
Репутация: 0
Статус: Offline


 
Работай из дома! 18+
 
 


Для увеличения ответа на задание, нажмите на картинку

Вариант экзаменационного задания по курсу "Математика":

---------------------------------------------------------------------



---------------------------------------------------------------------



---------------------------------------------------------------------



---------------------------------------------------------------------



---------------------------------------------------------------------



---------------------------------------------------------------------

Перейти в оглавление решебника ГДЗ по Алгебре. 11 класс. Дорофеев Г.В. Сборник задач
Фото: 5963597.png (2.7 Kb) · 1114932.png (4.8 Kb) · 7218943.png (3.6 Kb) · 7690421.png (4.4 Kb) · 3815072.png (6.6 Kb)
 
 
МЕДВЕДИКДата: Понедельник, 28.09.2015, 10:04 | Сообщение # 84
Генерал-лейтенант
Группа: Проверенные
Сообщений: 602
Награды: 0
Репутация: 0
Статус: Offline


 
Работай из дома! 18+
 
 


Для увеличения ответа на задание, нажмите на картинку

Вариант экзаменационного задания по курсу "Математика":

---------------------------------------------------------------------



---------------------------------------------------------------------



---------------------------------------------------------------------



---------------------------------------------------------------------



---------------------------------------------------------------------



---------------------------------------------------------------------

Перейти в оглавление решебника ГДЗ по Алгебре. 11 класс. Дорофеев Г.В. Сборник задач

Фото: 3156177.png (5.8 Kb) · 7536846.png (4.3 Kb) · 8909553.png (3.2 Kb) · 4373159.png (3.3 Kb) · 3895574.png (4.1 Kb)
 
 
МЕДВЕДИКДата: Понедельник, 28.09.2015, 10:05 | Сообщение # 85
Генерал-лейтенант
Группа: Проверенные
Сообщений: 602
Награды: 0
Репутация: 0
Статус: Offline


 
Работай из дома! 18+
 
 


Для увеличения ответа на задание, нажмите на картинку

Вариант экзаменационного задания по курсу "Математика":

---------------------------------------------------------------------



---------------------------------------------------------------------



---------------------------------------------------------------------



---------------------------------------------------------------------



---------------------------------------------------------------------



---------------------------------------------------------------------

Перейти в оглавление решебника ГДЗ по Алгебре. 11 класс. Дорофеев Г.В. Сборник задач
Фото: 8506088.png (2.3 Kb) · 9534776.png (1.9 Kb) · 4516587.png (1.7 Kb) · 1166914.png (1.7 Kb) · 0264472.png (1.8 Kb)
 
 
МЕДВЕДИКДата: Понедельник, 28.09.2015, 10:05 | Сообщение # 86
Генерал-лейтенант
Группа: Проверенные
Сообщений: 602
Награды: 0
Репутация: 0
Статус: Offline


 
Работай из дома! 18+
 
 


Для увеличения ответа на задание, нажмите на картинку

Вариант экзаменационного задания по курсу "Математика":

---------------------------------------------------------------------



---------------------------------------------------------------------



---------------------------------------------------------------------



---------------------------------------------------------------------



---------------------------------------------------------------------



---------------------------------------------------------------------

Перейти в оглавление решебника ГДЗ по Алгебре. 11 класс. Дорофеев Г.В. Сборник задач
Фото: 2949549.png (1.4 Kb) · 5481080.png (3.1 Kb) · 1047258.png (2.7 Kb) · 2532909.png (2.6 Kb) · 8527065.png (3.3 Kb)
 
 
МЕДВЕДИКДата: Понедельник, 28.09.2015, 10:06 | Сообщение # 87
Генерал-лейтенант
Группа: Проверенные
Сообщений: 602
Награды: 0
Репутация: 0
Статус: Offline


 
Работай из дома! 18+
 
 


Для увеличения ответа на задание, нажмите на картинку

Вариант экзаменационного задания по курсу "Математика":

---------------------------------------------------------------------



---------------------------------------------------------------------



---------------------------------------------------------------------



---------------------------------------------------------------------



---------------------------------------------------------------------



---------------------------------------------------------------------

Перейти в оглавление решебника ГДЗ по Алгебре. 11 класс. Дорофеев Г.В. Сборник задач
Фото: 7450474.png (2.1 Kb) · 1366609.png (1.9 Kb) · 3093932.png (2.7 Kb) · 9351336.png (2.2 Kb) · 2103143.png (2.8 Kb)
 
 
МЕДВЕДИКДата: Понедельник, 28.09.2015, 10:06 | Сообщение # 88
Генерал-лейтенант
Группа: Проверенные
Сообщений: 602
Награды: 0
Репутация: 0
Статус: Offline


 
Работай из дома! 18+
 
 


Для увеличения ответа на задание, нажмите на картинку

Вариант экзаменационного задания по курсу "Математика":

---------------------------------------------------------------------



---------------------------------------------------------------------



---------------------------------------------------------------------



---------------------------------------------------------------------



---------------------------------------------------------------------



---------------------------------------------------------------------

Перейти в оглавление решебника ГДЗ по Алгебре. 11 класс. Дорофеев Г.В. Сборник задач
Фото: 3004668.png (2.4 Kb) · 8188404.png (2.7 Kb) · 3176728.png (2.3 Kb) · 8938871.png (2.7 Kb) · 6962604.png (3.2 Kb)
 
 
МЕДВЕДИКДата: Понедельник, 28.09.2015, 10:07 | Сообщение # 89
Генерал-лейтенант
Группа: Проверенные
Сообщений: 602
Награды: 0
Репутация: 0
Статус: Offline


 
Работай из дома! 18+
 
 


Для увеличения ответа на задание, нажмите на картинку

Вариант экзаменационного задания по курсу "Математика":

---------------------------------------------------------------------



---------------------------------------------------------------------



---------------------------------------------------------------------



---------------------------------------------------------------------



---------------------------------------------------------------------



---------------------------------------------------------------------

Перейти в оглавление решебника ГДЗ по Алгебре. 11 класс. Дорофеев Г.В. Сборник задач
Фото: 0049919.png (4.2 Kb) · 1868044.png (5.9 Kb) · 1521542.png (5.0 Kb) · 8983762.png (3.2 Kb) · 2915575.png (2.3 Kb)
 
 
МЕДВЕДИКДата: Понедельник, 28.09.2015, 10:07 | Сообщение # 90
Генерал-лейтенант
Группа: Проверенные
Сообщений: 602
Награды: 0
Репутация: 0
Статус: Offline


 
Работай из дома! 18+
 
 


Для увеличения ответа на задание, нажмите на картинку

Вариант экзаменационного задания по курсу "Математика":

---------------------------------------------------------------------



---------------------------------------------------------------------



---------------------------------------------------------------------



---------------------------------------------------------------------



---------------------------------------------------------------------



---------------------------------------------------------------------

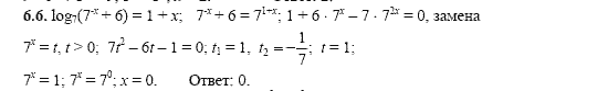
Читать продолжение решебника...
Фото: 7359564.png (2.1 Kb) · 4101182.png (3.1 Kb) · 8258898.png (2.0 Kb) · 7092371.png (2.7 Kb) · 0315433.png (4.2 Kb)
 
 
Поиск:

Работай из дома! 18+
 
 
 
 
 
 

 
Последние темы на форуме:
 
  • Новогодние праздники 2021-2022 официальные выходные
  • Показатели давления и сердцебиения у женщины 57 лет
  • Гороскоп на декабрь 2021 Женщина Телец
  • Гороскоп на январь 2022 от Павла Глоба
  • Гороскоп на декабрь 2021 от Павла Глоба
  • Гороскоп на ноябрь 2021 от Павла Глоба
  • Стенограмма судьбы - Содержание серий, актеры и роли сериала
  • Мосгаз. Западня - Содержание серий, актеры и роли 2021
  • Тобол - Содержание серий, актеры и роли сериала. 2021
  • Гороскоп для Тигра на сегодня от Павла Глоба
  • Утраченные воспоминания - Содержание серий, актеры и роли
  • Чёрно-белая любовь - Содержание серий, актеры и роли сериала
  • Забытая женщина - Содержание серий, актеры и роли сериала
  • Тайна спящей дамы - Содержание серий, актеры и роли сериала
  • Сериал Часы с кукушкой - Содержание серий, актеры и роли
  •  
     

     
    Обращаем ваше внимание на то, что данный интернет-сайт www.kinolog.do.am носит исключительно информационный характер и ни при каких условиях не является публичной офертой, определяемой положениями Статьи 437 (2) Гражданского кодекса РФ. Цена и наличие товара может отличаться от действительной. Пожалуйста, уточняйте цены и наличие товара у наших менеджеров.
    Администрация сайта не несет ответственности за действия и содержание размещаемой информации пользователей: комментарии, материалы, сообщения и темы на форуме, публикации, объявления и т.д.
    Правообладателям | Реклама | Учебники | Политика
    Отопление, водоснабжение, газоснабжение, канализация © 2003 - 2021
    Рейтинг@Mail.ru Рейтинг арматурных сайтов. ARMTORG.RU Яндекс.Метрика