[ Новые сообщения · Участники · Правила форума · Поиск · RSS ]
 
Работай из дома! 18+

  • Страница 1 из 10
  • 1
  • 2
  • 3
  • 9
  • 10
  • »
Задачник для 10-11 классов Мордкович, Денищева, Корешкова
МЕДВЕДИКДата: Понедельник, 14.09.2015, 11:58 | Сообщение # 1
Генерал-лейтенант
Группа: Проверенные
Сообщений: 602
Награды: 0
Репутация: 0
Статус: Offline


 
Работай из дома! 18+
 
 


Решебник и ГДЗ по Алгебре. 11 класс. Алгебра и начала анализа.

Задачник для 10-11 классов общеобразовательных учреждений, А.Г. Мордкович, Л.О. Денищева, Т.А. Корешкова,Т.Н. Мишустина, Е.Е.



Авторы: А.Г. Мордкович, Л.О. Денищева, Т.А. Корешкова,Т.Н. Мишустина, Е.Е. Тульчинская,

Издание: М.: «Мнемозина», 2001 г.

Учебник с задачами, примерами и ответами по ФГОС 2007, 2008, 2009, 2010, 2011, 2012, 2013, 2014 год


Скачать бесплатно Решебник и ГДЗ по Алгебре. 11 класс. Задачник А.Г. Мордкович

Данный решебник и готовые домашние задания по Алгебре предназначены для учителей и учеников 11 класса средней школы для проверки своих знаний предмета, а также для помощи в решении домашних заданий.

Преподаватели математики и алгебры с помощью данного учебника смогут легко и быстро проверять ответы на домашние работы у своих учеников, а так же подготовиться к уроку.

Родители учеников могут так же проверять своих детей, на сколько правильно они сделали домашнюю работу.

Оглавление решебника и ГДЗ по Алгебре. 11 класс. Задачник А.Г. Мордкович

Глава 7. Показательная и логарифмическая функции 4

§ 39. Показательная и логарифмическая функции 4

§ 40. Показательные уравнения и неравенства 19

§ 41. Понятие логарифма ......36

§ 42. Функция у = loga дс, ее свойства и график 40

§ 43. Свойства логарифма ...47

§ 44. Логарифмические уравнения 55

§ 45. Логарифмические неравенства ....64

§ 46. Переход к новому основанию логарифма 69

§ 47. Дифференцирование показательной

и логарифмической функций 73

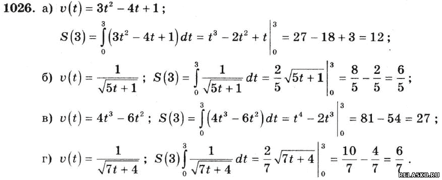
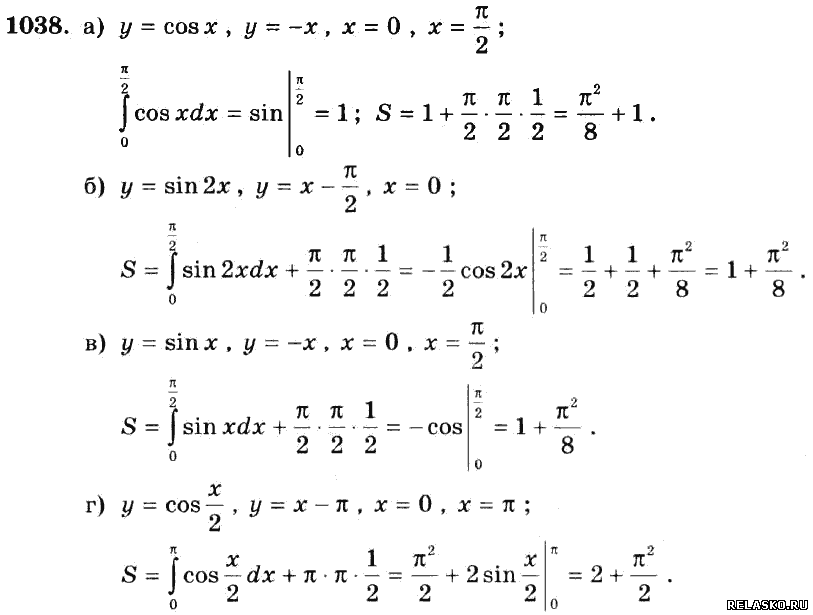
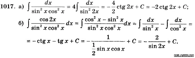
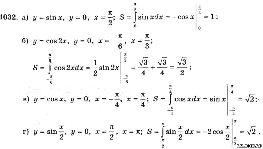
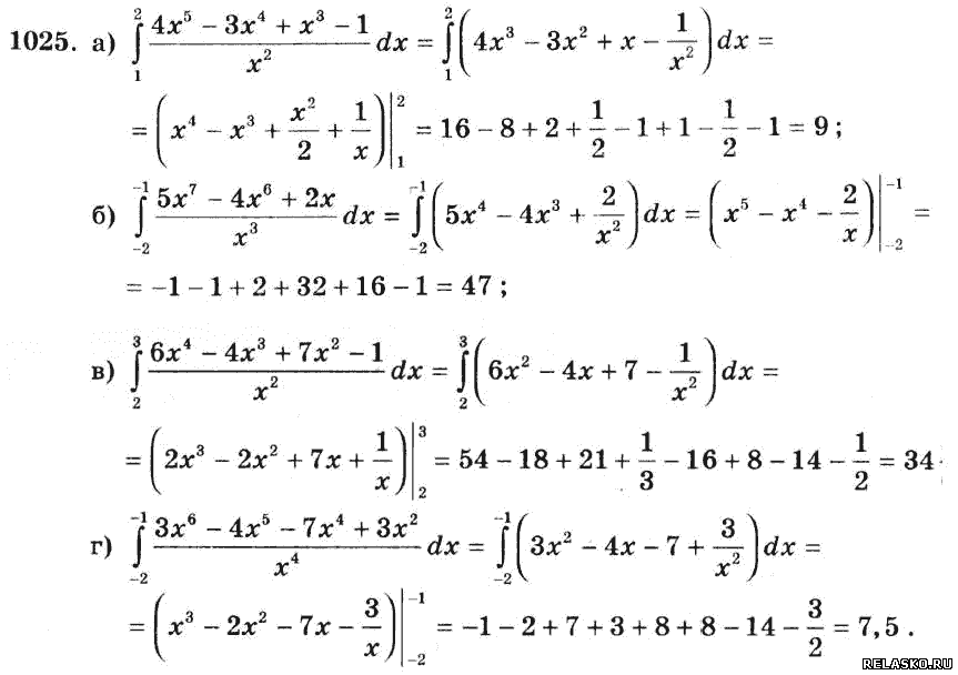
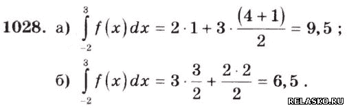
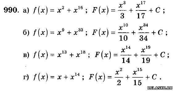
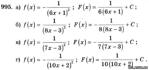
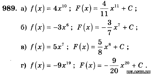
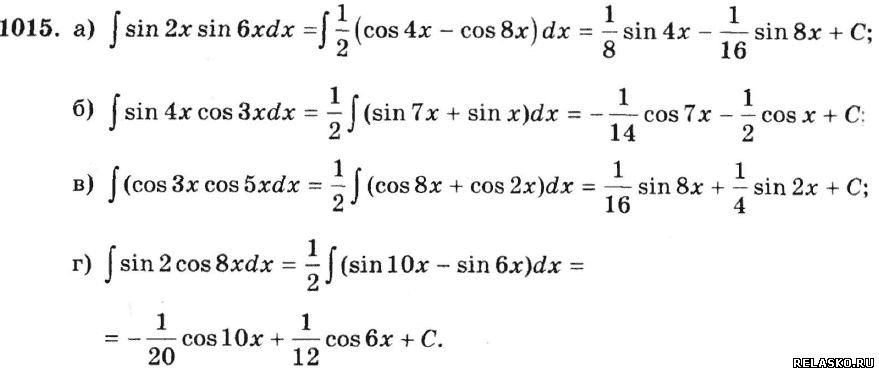
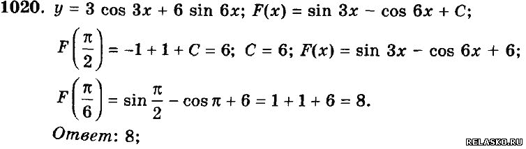
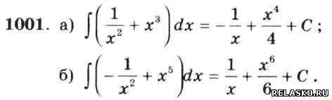
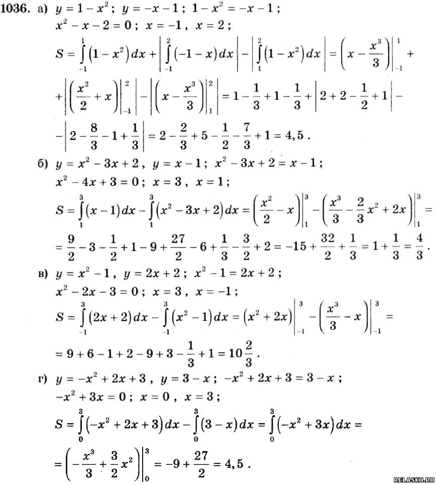
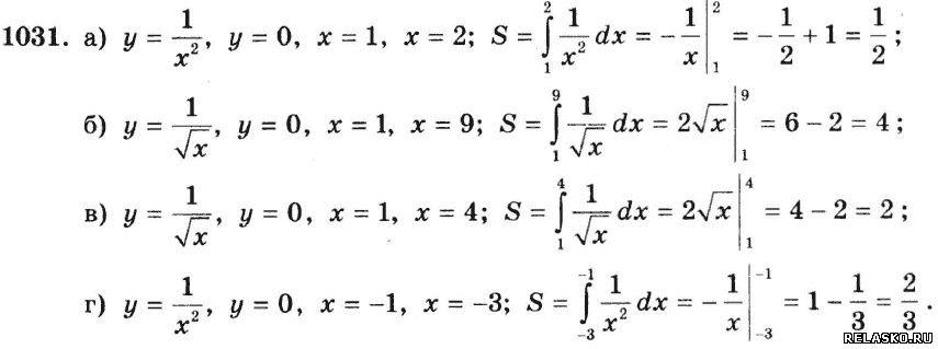
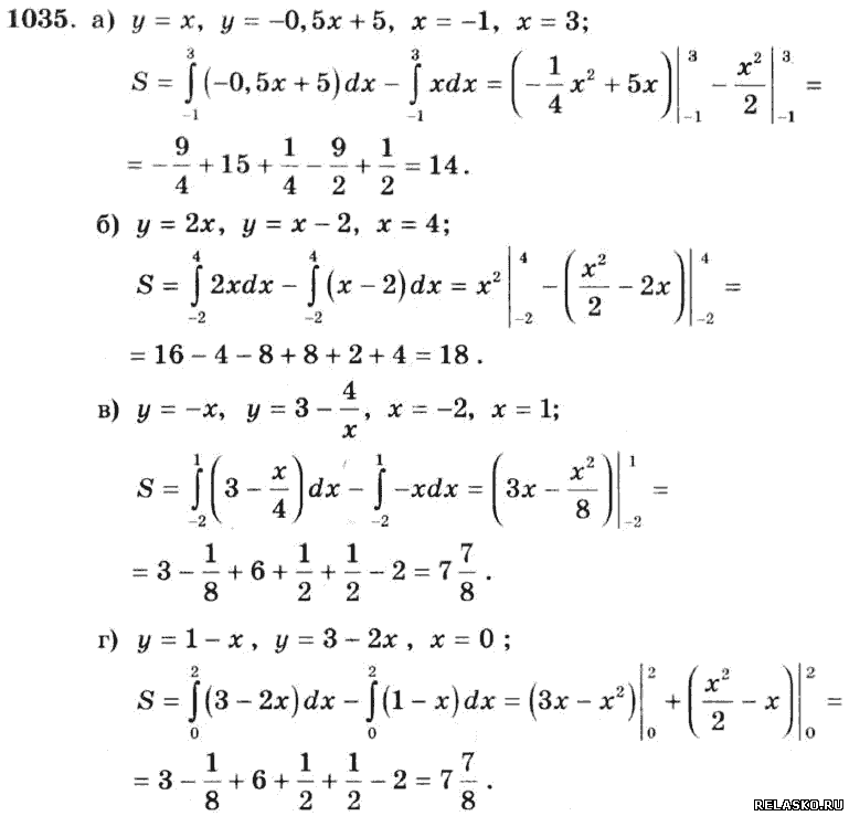
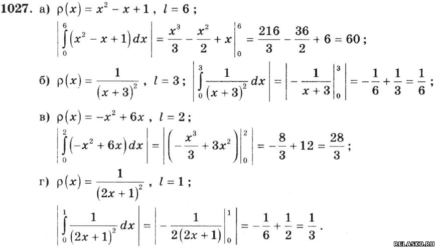
Глава 8. Первообразная и интеграл 83

§ 48. Первообразная 83

§ 49. Определенный интеграл 91

Глава 9. Элементы математической статистики,

комбинаторики и теории вероятностей 114

§ 50. Статистическая обработка данных 114

§ 51. Простейшие вероятностные задачи 115

§ 52. Сочетания и размещения 118

§ 53. Формула бинома Ньютона 122

§ 54. Случайные события и их вероятности 122

Глава 10. Уравнения и неравенства.

Системы уравнений и неравенств 129

§ 55. Равносильность уравнений 129

§ 56. Общие методы решения уравнений 133

§ 57. Решение неравенств с одной переменной 152

§ 58. Уравнения и неравенства с двумя переменными 171

§ 59. Системы уравнений 184

§ 60. Задачи с параметрами 215
Фото: 3348058.jpg (36.4 Kb) · 2527520.jpg (5.4 Kb) · 0041772.jpg (69.2 Kb)


 
 
МЕДВЕДИКДата: Понедельник, 14.09.2015, 12:00 | Сообщение # 2
Генерал-лейтенант
Группа: Проверенные
Сообщений: 602
Награды: 0
Репутация: 0
Статус: Offline


 
Работай из дома! 18+
 
 


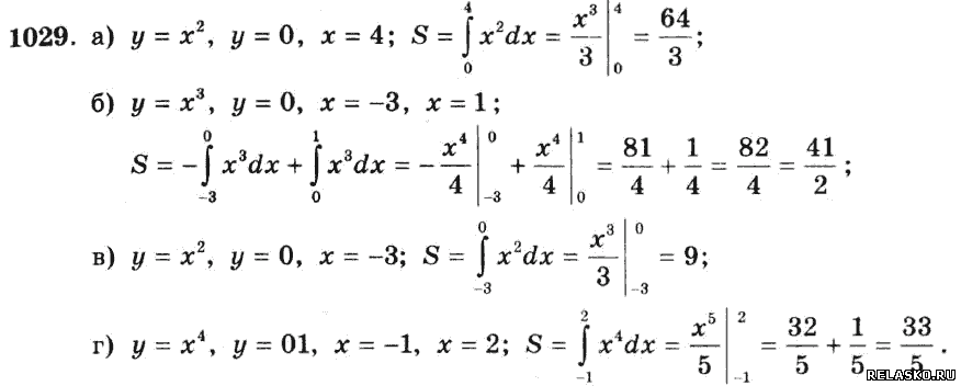
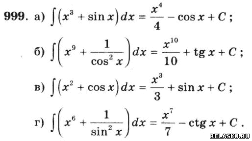
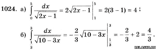
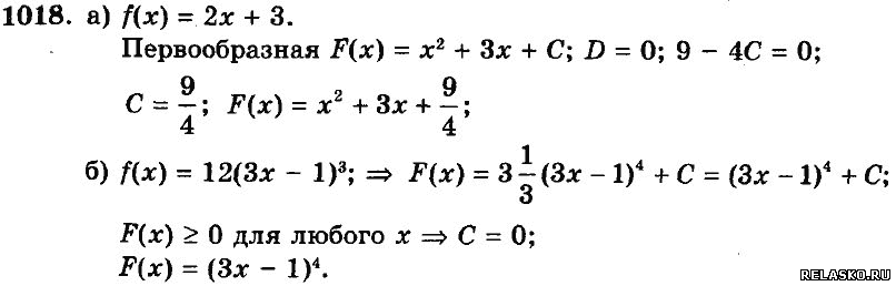
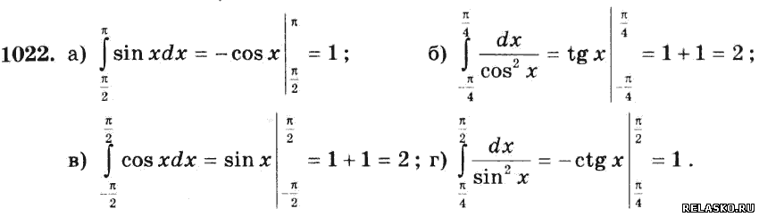
Для увеличения ответа на задание, нажмите на картинку



---------------------------------------------------------------------



---------------------------------------------------------------------



---------------------------------------------------------------------



---------------------------------------------------------------------



---------------------------------------------------------------------

Перейти в оглавление решебника ГДЗ по Алгебре. 11 класс. Задачник А. Г. Мордкович
Фото: 4585052.png (8.5 Kb) · 7839486.png (9.6 Kb) · 8466927.png (9.2 Kb) · 6116587.png (4.6 Kb) · 0763486.png (4.9 Kb)
 
 
МЕДВЕДИКДата: Вторник, 29.09.2015, 14:49 | Сообщение # 3
Генерал-лейтенант
Группа: Проверенные
Сообщений: 602
Награды: 0
Репутация: 0
Статус: Offline


 
Работай из дома! 18+
 
 


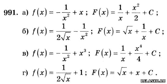
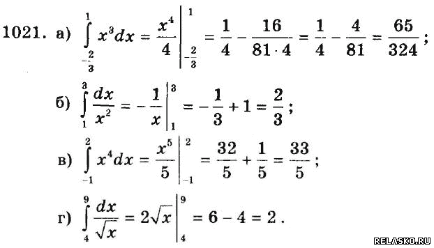
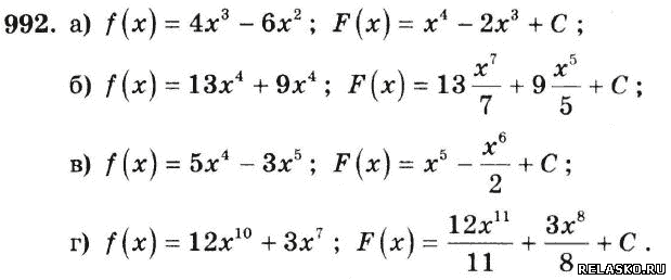
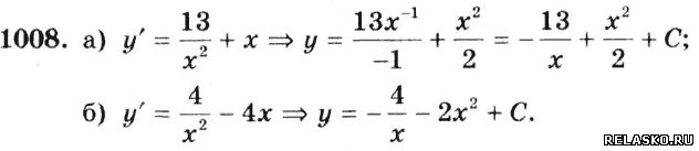
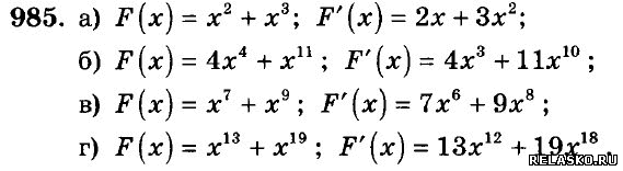
Для увеличения ответа на задание, нажмите на картинку



---------------------------------------------------------------------



---------------------------------------------------------------------



---------------------------------------------------------------------



---------------------------------------------------------------------



---------------------------------------------------------------------

Перейти в оглавление решебника ГДЗ по Алгебре. 11 класс. Задачник А. Г. Мордкович
Фото: 9769606.png (5.1 Kb) · 1384898.png (6.2 Kb) · 3663037.png (10.7 Kb) · 3829140.png (12.1 Kb) · 2315413.png (16.9 Kb)
 
 
МЕДВЕДИКДата: Вторник, 29.09.2015, 14:50 | Сообщение # 4
Генерал-лейтенант
Группа: Проверенные
Сообщений: 602
Награды: 0
Репутация: 0
Статус: Offline


 
Работай из дома! 18+
 
 


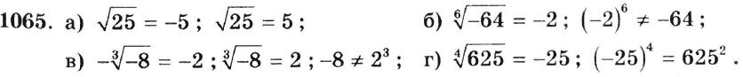
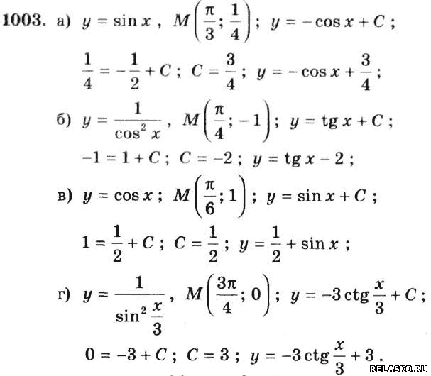
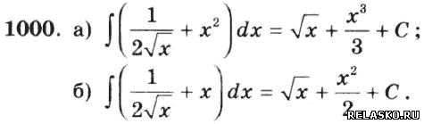
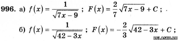
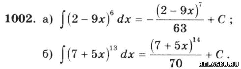
Для увеличения ответа на задание, нажмите на картинку



---------------------------------------------------------------------



---------------------------------------------------------------------



---------------------------------------------------------------------



---------------------------------------------------------------------



---------------------------------------------------------------------

Перейти в оглавление решебника ГДЗ по Алгебре. 11 класс. Задачник А. Г. Мордкович
Фото: 6726580.png (18.2 Kb) · 1539992.png (14.1 Kb) · 1400956.png (9.0 Kb) · 0643365.png (6.7 Kb) · 7524063.png (8.9 Kb)
 
 
МЕДВЕДИКДата: Вторник, 29.09.2015, 14:50 | Сообщение # 5
Генерал-лейтенант
Группа: Проверенные
Сообщений: 602
Награды: 0
Репутация: 0
Статус: Offline


 
Работай из дома! 18+
 
 


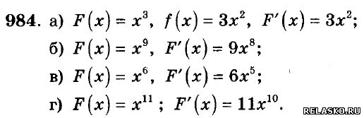
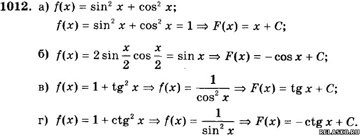
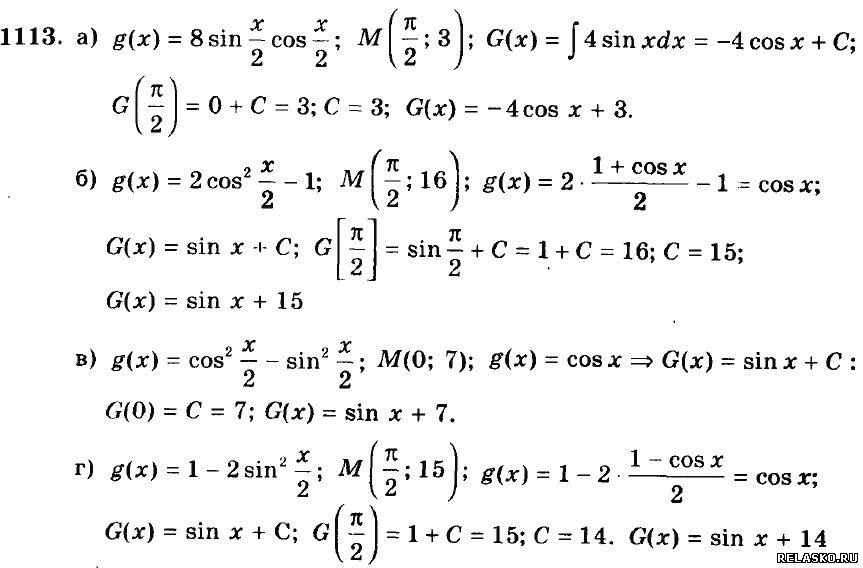
Для увеличения ответа на задание, нажмите на картинку



---------------------------------------------------------------------



---------------------------------------------------------------------



---------------------------------------------------------------------



---------------------------------------------------------------------



---------------------------------------------------------------------

Перейти в оглавление решебника ГДЗ по Алгебре. 11 класс. Задачник А. Г. Мордкович
Фото: 2711616.png (12.9 Kb) · 3132137.png (5.1 Kb) · 6255097.png (4.8 Kb) · 6984554.png (6.3 Kb) · 6976493.png (25.6 Kb)
 
 
МЕДВЕДИКДата: Вторник, 29.09.2015, 14:50 | Сообщение # 6
Генерал-лейтенант
Группа: Проверенные
Сообщений: 602
Награды: 0
Репутация: 0
Статус: Offline


 
Работай из дома! 18+
 
 


Для увеличения ответа на задание, нажмите на картинку



---------------------------------------------------------------------



---------------------------------------------------------------------



---------------------------------------------------------------------



---------------------------------------------------------------------



---------------------------------------------------------------------

Перейти в оглавление решебника ГДЗ по Алгебре. 11 класс. Задачник А. Г. Мордкович
Фото: 0447467.png (5.1 Kb) · 9672790.png (26.7 Kb) · 3117565.png (15.3 Kb) · 7914236.png (15.8 Kb) · 3258745.png (7.3 Kb)
 
 
МЕДВЕДИКДата: Вторник, 29.09.2015, 14:51 | Сообщение # 7
Генерал-лейтенант
Группа: Проверенные
Сообщений: 602
Награды: 0
Репутация: 0
Статус: Offline


 
Работай из дома! 18+
 
 


Для увеличения ответа на задание, нажмите на картинку



---------------------------------------------------------------------



---------------------------------------------------------------------



---------------------------------------------------------------------



---------------------------------------------------------------------



---------------------------------------------------------------------

Перейти в оглавление решебника ГДЗ по Алгебре. 11 класс. Задачник А. Г. Мордкович
Фото: 4901724.png (6.0 Kb) · 1692369.png (11.5 Kb) · 4504202.png (45.8 Kb) · 5759378.png (13.7 Kb) · 4116806.png (30.9 Kb)
 
 
МЕДВЕДИКДата: Вторник, 29.09.2015, 14:51 | Сообщение # 8
Генерал-лейтенант
Группа: Проверенные
Сообщений: 602
Награды: 0
Репутация: 0
Статус: Offline


 
Работай из дома! 18+
 
 


Для увеличения ответа на задание, нажмите на картинку



---------------------------------------------------------------------



---------------------------------------------------------------------



---------------------------------------------------------------------



---------------------------------------------------------------------



---------------------------------------------------------------------

Перейти в оглавление решебника ГДЗ по Алгебре. 11 класс. Задачник А. Г. Мордкович
Фото: 1207660.png (10.2 Kb) · 2985875.png (23.4 Kb) · 4210286.png (34.7 Kb) · 3430817.png (16.4 Kb) · 1730305.png (12.9 Kb)
 
 
МЕДВЕДИКДата: Вторник, 29.09.2015, 14:52 | Сообщение # 9
Генерал-лейтенант
Группа: Проверенные
Сообщений: 602
Награды: 0
Репутация: 0
Статус: Offline


 
Работай из дома! 18+
 
 


Для увеличения ответа на задание, нажмите на картинку



---------------------------------------------------------------------



---------------------------------------------------------------------



---------------------------------------------------------------------



---------------------------------------------------------------------



---------------------------------------------------------------------

Перейти в оглавление решебника ГДЗ по Алгебре. 11 класс. Задачник А. Г. Мордкович
Фото: 8194839.png (9.8 Kb) · 7561673.png (10.5 Kb) · 5171082.png (12.5 Kb) · 6064579.png (6.7 Kb) · 6568800.png (8.3 Kb)
 
 
МЕДВЕДИКДата: Вторник, 29.09.2015, 14:52 | Сообщение # 10
Генерал-лейтенант
Группа: Проверенные
Сообщений: 602
Награды: 0
Репутация: 0
Статус: Offline


 
Работай из дома! 18+
 
 


Для увеличения ответа на задание, нажмите на картинку



---------------------------------------------------------------------



---------------------------------------------------------------------



---------------------------------------------------------------------



---------------------------------------------------------------------



---------------------------------------------------------------------

Перейти в оглавление решебника ГДЗ по Алгебре. 11 класс. Задачник А. Г. Мордкович
Фото: 8202913.png (8.0 Kb) · 1024309.png (23.1 Kb) · 6276778.png (22.0 Kb) · 6152428.png (26.8 Kb) · 7010804.png (6.8 Kb)
 
 
МЕДВЕДИКДата: Вторник, 29.09.2015, 14:52 | Сообщение # 11
Генерал-лейтенант
Группа: Проверенные
Сообщений: 602
Награды: 0
Репутация: 0
Статус: Offline


 
Работай из дома! 18+
 
 


Для увеличения ответа на задание, нажмите на картинку



---------------------------------------------------------------------



---------------------------------------------------------------------



---------------------------------------------------------------------



---------------------------------------------------------------------



---------------------------------------------------------------------

Перейти в оглавление решебника ГДЗ по Алгебре. 11 класс. Задачник А. Г. Мордкович
Фото: 2206943.png (11.6 Kb) · 4428271.png (13.6 Kb) · 3468759.png (19.1 Kb) · 9166382.png (15.4 Kb) · 5979555.png (18.3 Kb)
 
 
МЕДВЕДИКДата: Вторник, 29.09.2015, 14:53 | Сообщение # 12
Генерал-лейтенант
Группа: Проверенные
Сообщений: 602
Награды: 0
Репутация: 0
Статус: Offline


 
Работай из дома! 18+
 
 


Для увеличения ответа на задание, нажмите на картинку



---------------------------------------------------------------------



---------------------------------------------------------------------



---------------------------------------------------------------------



---------------------------------------------------------------------



---------------------------------------------------------------------

Перейти в оглавление решебника ГДЗ по Алгебре. 11 класс. Задачник А. Г. Мордкович
Фото: 3743533.png (8.4 Kb) · 0130740.png (20.7 Kb) · 3607225.png (50.9 Kb) · 9960172.png (58.5 Kb) · 5424181.png (14.5 Kb)
 
 
МЕДВЕДИКДата: Вторник, 29.09.2015, 14:53 | Сообщение # 13
Генерал-лейтенант
Группа: Проверенные
Сообщений: 602
Награды: 0
Репутация: 0
Статус: Offline


 
Работай из дома! 18+
 
 


Для увеличения ответа на задание, нажмите на картинку



---------------------------------------------------------------------



---------------------------------------------------------------------



---------------------------------------------------------------------



---------------------------------------------------------------------



---------------------------------------------------------------------

Перейти в оглавление решебника ГДЗ по Алгебре. 11 класс. Задачник А. Г. Мордкович
Фото: 0074733.png (3.1 Kb) · 7803862.png (10.3 Kb) · 4315073.png (8.6 Kb) · 7758390.png (14.0 Kb) · 4247907.png (3.4 Kb)
 
 
МЕДВЕДИКДата: Вторник, 29.09.2015, 14:54 | Сообщение # 14
Генерал-лейтенант
Группа: Проверенные
Сообщений: 602
Награды: 0
Репутация: 0
Статус: Offline


 
Работай из дома! 18+
 
 


Для увеличения ответа на задание, нажмите на картинку



---------------------------------------------------------------------



---------------------------------------------------------------------



---------------------------------------------------------------------



---------------------------------------------------------------------



---------------------------------------------------------------------

Перейти в оглавление решебника ГДЗ по Алгебре. 11 класс. Задачник А. Г. Мордкович
Фото: 8530803.png (3.4 Kb) · 4534520.png (5.5 Kb) · 9845812.png (7.2 Kb) · 4541936.png (7.2 Kb) · 5789442.png (5.7 Kb)
 
 
МЕДВЕДИКДата: Вторник, 29.09.2015, 14:54 | Сообщение # 15
Генерал-лейтенант
Группа: Проверенные
Сообщений: 602
Награды: 0
Репутация: 0
Статус: Offline


 
Работай из дома! 18+
 
 


Для увеличения ответа на задание, нажмите на картинку



---------------------------------------------------------------------



---------------------------------------------------------------------



---------------------------------------------------------------------



---------------------------------------------------------------------



---------------------------------------------------------------------

Читать ответы на задачи далее...

Фото: 2404298.png (5.7 Kb) · 9610430.png (9.4 Kb) · 0539245.png (9.8 Kb) · 2654084.png (10.5 Kb) · 9839636.png (5.0 Kb)
 
 
  • Страница 1 из 10
  • 1
  • 2
  • 3
  • 9
  • 10
  • »
Поиск:

Работай из дома! 18+
 
 
 
 
 
 

 
Последние темы на форуме:
 
  • Новогодние праздники 2021-2022 официальные выходные
  • Показатели давления и сердцебиения у женщины 57 лет
  • Гороскоп на декабрь 2021 Женщина Телец
  • Гороскоп на январь 2022 от Павла Глоба
  • Гороскоп на декабрь 2021 от Павла Глоба
  • Гороскоп на ноябрь 2021 от Павла Глоба
  • Стенограмма судьбы - Содержание серий, актеры и роли сериала
  • Мосгаз. Западня - Содержание серий, актеры и роли 2021
  • Тобол - Содержание серий, актеры и роли сериала. 2021
  • Гороскоп для Тигра на сегодня от Павла Глоба
  • Утраченные воспоминания - Содержание серий, актеры и роли
  • Чёрно-белая любовь - Содержание серий, актеры и роли сериала
  • Забытая женщина - Содержание серий, актеры и роли сериала
  • Тайна спящей дамы - Содержание серий, актеры и роли сериала
  • Сериал Часы с кукушкой - Содержание серий, актеры и роли
  •  
     

     
    Обращаем ваше внимание на то, что данный интернет-сайт www.kinolog.do.am носит исключительно информационный характер и ни при каких условиях не является публичной офертой, определяемой положениями Статьи 437 (2) Гражданского кодекса РФ. Цена и наличие товара может отличаться от действительной. Пожалуйста, уточняйте цены и наличие товара у наших менеджеров.
    Администрация сайта не несет ответственности за действия и содержание размещаемой информации пользователей: комментарии, материалы, сообщения и темы на форуме, публикации, объявления и т.д.
    Правообладателям | Реклама | Учебники | Политика
    Отопление, водоснабжение, газоснабжение, канализация © 2003 - 2021
    Рейтинг@Mail.ru Рейтинг арматурных сайтов. ARMTORG.RU Яндекс.Метрика