[ Новые сообщения · Участники · Правила форума · Поиск · RSS ]
 
Работай из дома! 18+

  • Страница 2 из 10
  • «
  • 1
  • 2
  • 3
  • 4
  • 9
  • 10
  • »
Задачник для 10-11 классов Мордкович, Денищева, Корешкова
МЕДВЕДИКДата: Вторник, 29.09.2015, 14:54 | Сообщение # 16
Генерал-лейтенант
Группа: Проверенные
Сообщений: 602
Награды: 0
Репутация: 0
Статус: Offline


 
Работай из дома! 18+
 
 




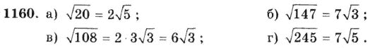
Для увеличения ответа на задание, нажмите на картинку



---------------------------------------------------------------------



---------------------------------------------------------------------



---------------------------------------------------------------------



---------------------------------------------------------------------



---------------------------------------------------------------------

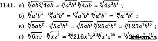
Перейти в оглавление решебника ГДЗ по Алгебре. 11 класс. Задачник А. Г. Мордкович
Фото: 5189934.png (7.7 Kb) · 3831762.png (7.6 Kb) · 7149972.png (11.2 Kb) · 9690461.png (21.2 Kb) · 2144877.png (6.2 Kb)
 
 
МЕДВЕДИКДата: Вторник, 29.09.2015, 14:55 | Сообщение # 17
Генерал-лейтенант
Группа: Проверенные
Сообщений: 602
Награды: 0
Репутация: 0
Статус: Offline


 
Работай из дома! 18+
 
 


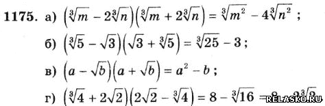
Для увеличения ответа на задание, нажмите на картинку



---------------------------------------------------------------------



---------------------------------------------------------------------



---------------------------------------------------------------------



---------------------------------------------------------------------



---------------------------------------------------------------------

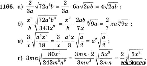
Перейти в оглавление решебника ГДЗ по Алгебре. 11 класс. Задачник А. Г. Мордкович
Фото: 6503189.png (7.3 Kb) · 7795754.png (13.6 Kb) · 5092772.png (31.7 Kb) · 7564994.png (17.9 Kb) · 2256228.png (16.3 Kb)
 
 
МЕДВЕДИКДата: Вторник, 29.09.2015, 14:55 | Сообщение # 18
Генерал-лейтенант
Группа: Проверенные
Сообщений: 602
Награды: 0
Репутация: 0
Статус: Offline


 
Работай из дома! 18+
 
 


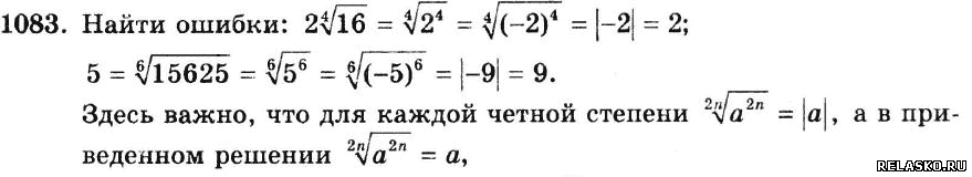
Для увеличения ответа на задание, нажмите на картинку



---------------------------------------------------------------------



---------------------------------------------------------------------



---------------------------------------------------------------------



---------------------------------------------------------------------



---------------------------------------------------------------------

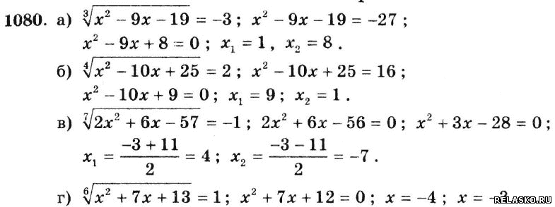
Перейти в оглавление решебника ГДЗ по Алгебре. 11 класс. Задачник А. Г. Мордкович
Фото: 6405763.png (6.0 Kb) · 8779746.png (3.9 Kb) · 2468713.png (11.3 Kb) · 1534056.png (7.0 Kb) · 6590043.png (7.2 Kb)
 
 
МЕДВЕДИКДата: Вторник, 29.09.2015, 14:56 | Сообщение # 19
Генерал-лейтенант
Группа: Проверенные
Сообщений: 602
Награды: 0
Репутация: 0
Статус: Offline


 
Работай из дома! 18+
 
 


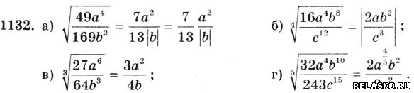
Для увеличения ответа на задание, нажмите на картинку



---------------------------------------------------------------------



---------------------------------------------------------------------



---------------------------------------------------------------------



---------------------------------------------------------------------



---------------------------------------------------------------------

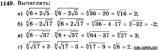
Перейти в оглавление решебника ГДЗ по Алгебре. 11 класс. Задачник А. Г. Мордкович
Фото: 8380423.png (6.7 Kb) · 6302695.png (3.7 Kb) · 5081359.png (4.1 Kb) · 8319425.png (3.4 Kb) · 3934475.png (4.1 Kb)
 
 
МЕДВЕДИКДата: Вторник, 29.09.2015, 14:56 | Сообщение # 20
Генерал-лейтенант
Группа: Проверенные
Сообщений: 602
Награды: 0
Репутация: 0
Статус: Offline


 
Работай из дома! 18+
 
 


Для увеличения ответа на задание, нажмите на картинку



---------------------------------------------------------------------



---------------------------------------------------------------------



---------------------------------------------------------------------



---------------------------------------------------------------------



---------------------------------------------------------------------

Перейти в оглавление решебника ГДЗ по Алгебре. 11 класс. Задачник А. Г. Мордкович
Фото: 2886135.png (4.5 Kb) · 0576920.png (9.0 Kb) · 8941147.png (6.6 Kb) · 3374248.png (6.7 Kb) · 0933533.png (4.2 Kb)
 
 
МЕДВЕДИКДата: Вторник, 29.09.2015, 14:57 | Сообщение # 21
Генерал-лейтенант
Группа: Проверенные
Сообщений: 602
Награды: 0
Репутация: 0
Статус: Offline


 
Работай из дома! 18+
 
 


Для увеличения ответа на задание, нажмите на картинку



---------------------------------------------------------------------



---------------------------------------------------------------------



---------------------------------------------------------------------



---------------------------------------------------------------------



---------------------------------------------------------------------

Перейти в оглавление решебника ГДЗ по Алгебре. 11 класс. Задачник А. Г. Мордкович
Фото: 0234678.png (7.2 Kb) · 2729468.png (10.2 Kb) · 0309717.png (6.0 Kb) · 5059718.png (5.7 Kb) · 7306163.png (8.0 Kb)
 
 
МЕДВЕДИКДата: Вторник, 29.09.2015, 14:57 | Сообщение # 22
Генерал-лейтенант
Группа: Проверенные
Сообщений: 602
Награды: 0
Репутация: 0
Статус: Offline


 
Работай из дома! 18+
 
 


Для увеличения ответа на задание, нажмите на картинку



---------------------------------------------------------------------



---------------------------------------------------------------------



---------------------------------------------------------------------



---------------------------------------------------------------------



---------------------------------------------------------------------

Перейти в оглавление решебника ГДЗ по Алгебре. 11 класс. Задачник А. Г. Мордкович
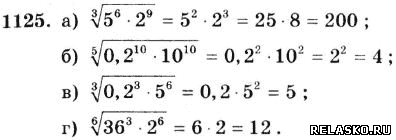
Фото: 1125861.png (10.7 Kb) · 1361464.png (5.0 Kb) · 4888033.png (3.6 Kb) · 8784272.png (7.1 Kb) · 8446482.png (6.4 Kb)
 
 
МЕДВЕДИКДата: Вторник, 29.09.2015, 14:57 | Сообщение # 23
Генерал-лейтенант
Группа: Проверенные
Сообщений: 602
Награды: 0
Репутация: 0
Статус: Offline


 
Работай из дома! 18+
 
 


Для увеличения ответа на задание, нажмите на картинку



---------------------------------------------------------------------



---------------------------------------------------------------------



---------------------------------------------------------------------



---------------------------------------------------------------------



---------------------------------------------------------------------

Перейти в оглавление решебника ГДЗ по Алгебре. 11 класс. Задачник А. Г. Мордкович
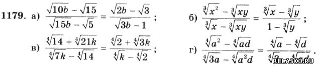
Фото: 6279506.png (3.7 Kb) · 0899008.png (4.4 Kb) · 6603494.png (10.1 Kb) · 7185169.png (10.3 Kb) · 0009420.png (8.6 Kb)
 
 
МЕДВЕДИКДата: Вторник, 29.09.2015, 14:58 | Сообщение # 24
Генерал-лейтенант
Группа: Проверенные
Сообщений: 602
Награды: 0
Репутация: 0
Статус: Offline


 
Работай из дома! 18+
 
 


Для увеличения ответа на задание, нажмите на картинку



---------------------------------------------------------------------



---------------------------------------------------------------------



---------------------------------------------------------------------



---------------------------------------------------------------------



---------------------------------------------------------------------

Перейти в оглавление решебника ГДЗ по Алгебре. 11 класс. Задачник А. Г. Мордкович
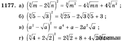
Фото: 2955103.png (8.7 Kb) · 9395618.png (9.1 Kb) · 3822802.png (11.9 Kb) · 4961974.png (12.5 Kb) · 4017906.png (18.2 Kb)
 
 
МЕДВЕДИКДата: Вторник, 29.09.2015, 14:58 | Сообщение # 25
Генерал-лейтенант
Группа: Проверенные
Сообщений: 602
Награды: 0
Репутация: 0
Статус: Offline


 
Работай из дома! 18+
 
 


Для увеличения ответа на задание, нажмите на картинку



---------------------------------------------------------------------



---------------------------------------------------------------------



---------------------------------------------------------------------



---------------------------------------------------------------------



---------------------------------------------------------------------

Перейти в оглавление решебника ГДЗ по Алгебре. 11 класс. Задачник А. Г. Мордкович
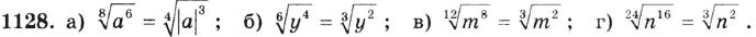
Фото: 0163245.png (3.6 Kb) · 7794429.png (3.2 Kb) · 6988610.png (4.3 Kb) · 5238814.png (8.3 Kb) · 2294060.png (5.0 Kb)
 
 
МЕДВЕДИКДата: Вторник, 29.09.2015, 15:03 | Сообщение # 26
Генерал-лейтенант
Группа: Проверенные
Сообщений: 602
Награды: 0
Репутация: 0
Статус: Offline


 
Работай из дома! 18+
 
 


Для увеличения ответа на задание, нажмите на картинку



---------------------------------------------------------------------



---------------------------------------------------------------------



---------------------------------------------------------------------



---------------------------------------------------------------------



---------------------------------------------------------------------

Перейти в оглавление решебника ГДЗ по Алгебре. 11 класс. Задачник А. Г. Мордкович
Фото: 7527262.png (4.1 Kb) · 8883861.png (4.2 Kb) · 7570923.png (4.5 Kb) · 9450966.png (5.4 Kb) · 5386571.png (7.2 Kb)
 
 
МЕДВЕДИКДата: Вторник, 29.09.2015, 15:03 | Сообщение # 27
Генерал-лейтенант
Группа: Проверенные
Сообщений: 602
Награды: 0
Репутация: 0
Статус: Offline


 
Работай из дома! 18+
 
 


Для увеличения ответа на задание, нажмите на картинку



---------------------------------------------------------------------



---------------------------------------------------------------------



---------------------------------------------------------------------



---------------------------------------------------------------------



---------------------------------------------------------------------

Перейти в оглавление решебника ГДЗ по Алгебре. 11 класс. Задачник А. Г. Мордкович
Фото: 9677325.png (14.2 Kb) · 7217858.png (4.5 Kb) · 4758273.png (6.0 Kb) · 5066634.png (4.0 Kb) · 1410231.png (5.1 Kb)
 
 
МЕДВЕДИКДата: Вторник, 29.09.2015, 15:04 | Сообщение # 28
Генерал-лейтенант
Группа: Проверенные
Сообщений: 602
Награды: 0
Репутация: 0
Статус: Offline


 
Работай из дома! 18+
 
 


Для увеличения ответа на задание, нажмите на картинку



---------------------------------------------------------------------



---------------------------------------------------------------------



---------------------------------------------------------------------



---------------------------------------------------------------------



---------------------------------------------------------------------

Перейти в оглавление решебника ГДЗ по Алгебре. 11 класс. Задачник А. Г. Мордкович
Фото: 9633333.png (6.6 Kb) · 9229411.png (5.8 Kb) · 4669344.png (7.8 Kb) · 9427494.png (5.1 Kb) · 8196562.png (9.7 Kb)
 
 
МЕДВЕДИКДата: Вторник, 29.09.2015, 15:04 | Сообщение # 29
Генерал-лейтенант
Группа: Проверенные
Сообщений: 602
Награды: 0
Репутация: 0
Статус: Offline


 
Работай из дома! 18+
 
 


Для увеличения ответа на задание, нажмите на картинку



---------------------------------------------------------------------



---------------------------------------------------------------------



---------------------------------------------------------------------



---------------------------------------------------------------------



---------------------------------------------------------------------

Перейти в оглавление решебника ГДЗ по Алгебре. 11 класс. Задачник А. Г. Мордкович
Фото: 1071857.png (14.4 Kb) · 3201377.png (8.6 Kb) · 8814853.png (12.1 Kb) · 3426072.png (12.1 Kb) · 0771939.png (15.4 Kb)
 
 
МЕДВЕДИКДата: Вторник, 29.09.2015, 15:05 | Сообщение # 30
Генерал-лейтенант
Группа: Проверенные
Сообщений: 602
Награды: 0
Репутация: 0
Статус: Offline


 
Работай из дома! 18+
 
 


Для увеличения ответа на задание, нажмите на картинку



---------------------------------------------------------------------



---------------------------------------------------------------------



---------------------------------------------------------------------



---------------------------------------------------------------------



---------------------------------------------------------------------

Читать ответы на задачи далее...

Фото: 0566589.png (8.7 Kb) · 2738810.png (5.1 Kb) · 4145038.png (2.8 Kb) · 2971969.png (8.8 Kb) · 7991780.png (8.3 Kb)
 
 
  • Страница 2 из 10
  • «
  • 1
  • 2
  • 3
  • 4
  • 9
  • 10
  • »
Поиск:

Работай из дома! 18+
 
 
 
 
 
 

 
Последние темы на форуме:
 
  • Новогодние праздники 2021-2022 официальные выходные
  • Показатели давления и сердцебиения у женщины 57 лет
  • Гороскоп на декабрь 2021 Женщина Телец
  • Гороскоп на январь 2022 от Павла Глоба
  • Гороскоп на декабрь 2021 от Павла Глоба
  • Гороскоп на ноябрь 2021 от Павла Глоба
  • Стенограмма судьбы - Содержание серий, актеры и роли сериала
  • Мосгаз. Западня - Содержание серий, актеры и роли 2021
  • Тобол - Содержание серий, актеры и роли сериала. 2021
  • Гороскоп для Тигра на сегодня от Павла Глоба
  • Утраченные воспоминания - Содержание серий, актеры и роли
  • Чёрно-белая любовь - Содержание серий, актеры и роли сериала
  • Забытая женщина - Содержание серий, актеры и роли сериала
  • Тайна спящей дамы - Содержание серий, актеры и роли сериала
  • Сериал Часы с кукушкой - Содержание серий, актеры и роли
  •  
     

     
    Обращаем ваше внимание на то, что данный интернет-сайт www.kinolog.do.am носит исключительно информационный характер и ни при каких условиях не является публичной офертой, определяемой положениями Статьи 437 (2) Гражданского кодекса РФ. Цена и наличие товара может отличаться от действительной. Пожалуйста, уточняйте цены и наличие товара у наших менеджеров.
    Администрация сайта не несет ответственности за действия и содержание размещаемой информации пользователей: комментарии, материалы, сообщения и темы на форуме, публикации, объявления и т.д.
    Правообладателям | Реклама | Учебники | Политика
    Отопление, водоснабжение, газоснабжение, канализация © 2003 - 2021
    Рейтинг@Mail.ru Рейтинг арматурных сайтов. ARMTORG.RU Яндекс.Метрика