[ Новые сообщения · Участники · Правила форума · Поиск · RSS ]
 
Работай из дома! 18+

  • Страница 9 из 10
  • «
  • 1
  • 2
  • 7
  • 8
  • 9
  • 10
  • »
Задачник для 10-11 классов Мордкович, Денищева, Корешкова
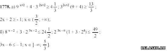
МЕДВЕДИКДата: Вторник, 29.09.2015, 15:59 | Сообщение # 121
Генерал-лейтенант
Группа: Проверенные
Сообщений: 602
Награды: 0
Репутация: 0
Статус: Offline


 
Работай из дома! 18+
 
 




Для увеличения ответа на задание, нажмите на картинку



---------------------------------------------------------------------



---------------------------------------------------------------------



---------------------------------------------------------------------



---------------------------------------------------------------------



---------------------------------------------------------------------

Перейти в оглавление решебника ГДЗ по Алгебре. 11 класс. Задачник А. Г. Мордкович
Фото: 2304027.png (11.5 Kb) · 3143999.png (14.2 Kb) · 8737046.png (7.4 Kb) · 5844159.png (11.4 Kb) · 6967119.png (5.6 Kb)
 
 
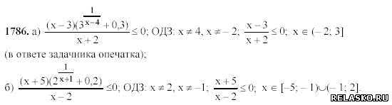
МЕДВЕДИКДата: Вторник, 29.09.2015, 16:03 | Сообщение # 122
Генерал-лейтенант
Группа: Проверенные
Сообщений: 602
Награды: 0
Репутация: 0
Статус: Offline


 
Работай из дома! 18+
 
 


Для увеличения ответа на задание, нажмите на картинку



---------------------------------------------------------------------



---------------------------------------------------------------------



---------------------------------------------------------------------



---------------------------------------------------------------------



---------------------------------------------------------------------

Перейти в оглавление решебника ГДЗ по Алгебре. 11 класс. Задачник А. Г. Мордкович
Фото: 1368147.png (7.0 Kb) · 9926267.png (7.4 Kb) · 0978084.png (3.2 Kb) · 6546520.png (5.8 Kb) · 3911014.png (4.0 Kb)
 
 
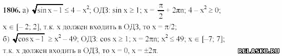
МЕДВЕДИКДата: Вторник, 29.09.2015, 16:03 | Сообщение # 123
Генерал-лейтенант
Группа: Проверенные
Сообщений: 602
Награды: 0
Репутация: 0
Статус: Offline


 
Работай из дома! 18+
 
 


Для увеличения ответа на задание, нажмите на картинку



---------------------------------------------------------------------



---------------------------------------------------------------------



---------------------------------------------------------------------



---------------------------------------------------------------------



---------------------------------------------------------------------

Перейти в оглавление решебника ГДЗ по Алгебре. 11 класс. Задачник А. Г. Мордкович
Фото: 1260841.png (4.0 Kb) · 6617082.png (6.6 Kb) · 6717695.png (4.6 Kb) · 9348240.png (15.4 Kb) · 9314906.png (5.1 Kb)
 
 
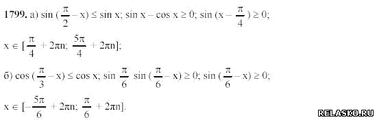
МЕДВЕДИКДата: Вторник, 29.09.2015, 16:04 | Сообщение # 124
Генерал-лейтенант
Группа: Проверенные
Сообщений: 602
Награды: 0
Репутация: 0
Статус: Offline


 
Работай из дома! 18+
 
 


Для увеличения ответа на задание, нажмите на картинку



---------------------------------------------------------------------



---------------------------------------------------------------------



---------------------------------------------------------------------



---------------------------------------------------------------------



---------------------------------------------------------------------

Перейти в оглавление решебника ГДЗ по Алгебре. 11 класс. Задачник А. Г. Мордкович
Фото: 4639380.png (7.8 Kb) · 6487189.png (7.6 Kb) · 5739329.png (4.5 Kb) · 4963821.png (4.3 Kb) · 0736854.png (7.7 Kb)
 
 
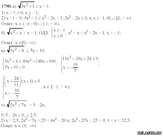
МЕДВЕДИКДата: Вторник, 29.09.2015, 16:04 | Сообщение # 125
Генерал-лейтенант
Группа: Проверенные
Сообщений: 602
Награды: 0
Репутация: 0
Статус: Offline


 
Работай из дома! 18+
 
 


Для увеличения ответа на задание, нажмите на картинку



---------------------------------------------------------------------



---------------------------------------------------------------------



---------------------------------------------------------------------



---------------------------------------------------------------------



---------------------------------------------------------------------

Перейти в оглавление решебника ГДЗ по Алгебре. 11 класс. Задачник А. Г. Мордкович
Фото: 8168442.png (8.7 Kb) · 8858556.png (11.1 Kb) · 7078889.png (5.8 Kb) · 6498531.png (11.0 Kb) · 2086220.png (15.3 Kb)
 
 
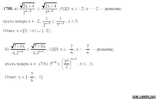
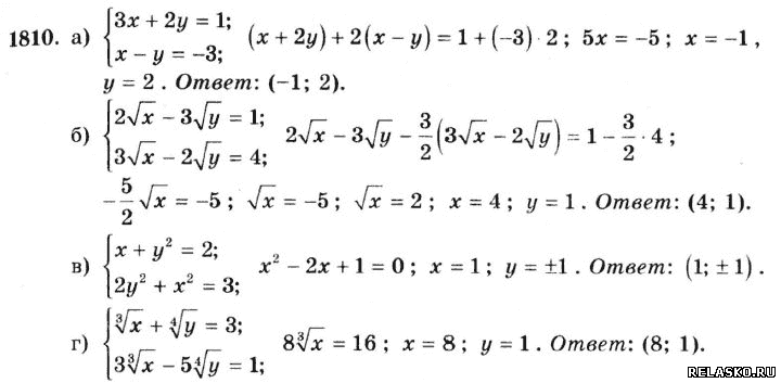
МЕДВЕДИКДата: Вторник, 29.09.2015, 16:05 | Сообщение # 126
Генерал-лейтенант
Группа: Проверенные
Сообщений: 602
Награды: 0
Репутация: 0
Статус: Offline


 
Работай из дома! 18+
 
 


Для увеличения ответа на задание, нажмите на картинку



---------------------------------------------------------------------



---------------------------------------------------------------------



---------------------------------------------------------------------



---------------------------------------------------------------------



---------------------------------------------------------------------

Перейти в оглавление решебника ГДЗ по Алгебре. 11 класс. Задачник А. Г. Мордкович
Фото: 5039013.png (8.7 Kb) · 6371325.png (6.4 Kb) · 6720027.png (11.1 Kb) · 7715332.png (8.7 Kb) · 8995000.png (6.1 Kb)
 
 
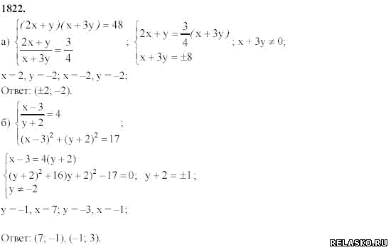
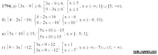
МЕДВЕДИКДата: Вторник, 29.09.2015, 16:05 | Сообщение # 127
Генерал-лейтенант
Группа: Проверенные
Сообщений: 602
Награды: 0
Репутация: 0
Статус: Offline


 
Работай из дома! 18+
 
 


Для увеличения ответа на задание, нажмите на картинку



---------------------------------------------------------------------



---------------------------------------------------------------------



---------------------------------------------------------------------



---------------------------------------------------------------------



---------------------------------------------------------------------

Перейти в оглавление решебника ГДЗ по Алгебре. 11 класс. Задачник А. Г. Мордкович
Фото: 1304627.png (4.5 Kb) · 8890688.png (11.8 Kb) · 6582737.png (7.2 Kb) · 5582529.png (8.0 Kb) · 1588083.png (10.1 Kb)
 
 
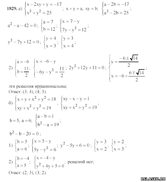
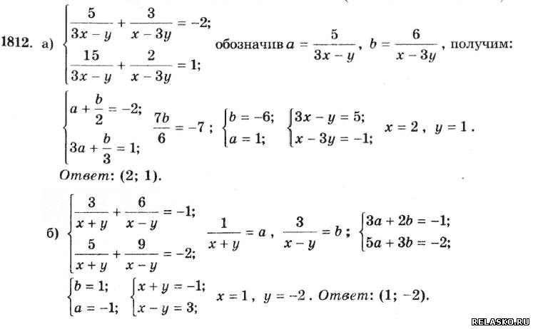
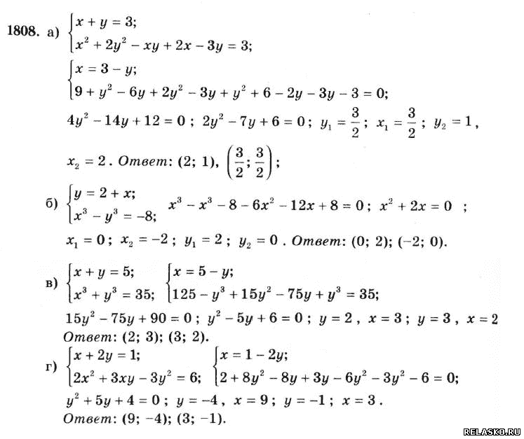
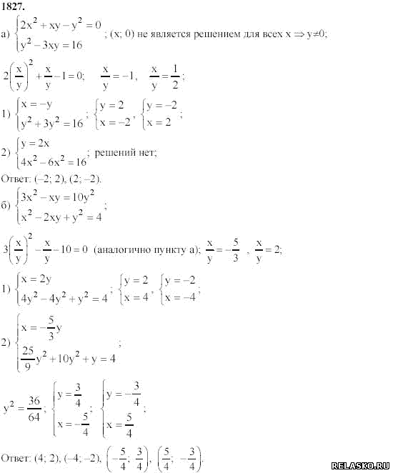
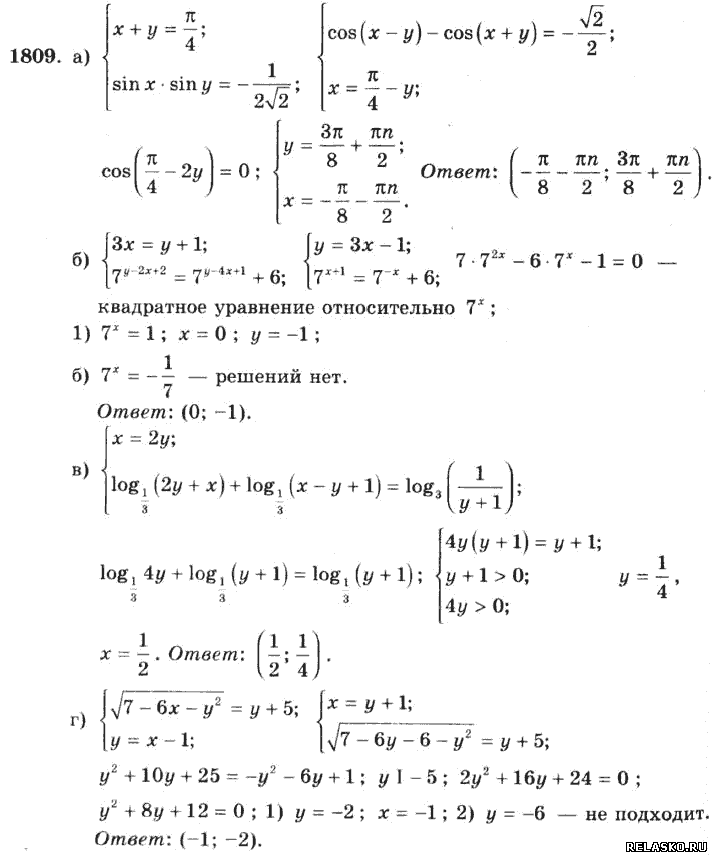
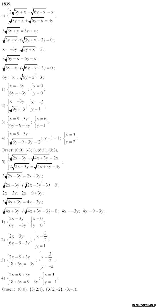
МЕДВЕДИКДата: Вторник, 29.09.2015, 16:05 | Сообщение # 128
Генерал-лейтенант
Группа: Проверенные
Сообщений: 602
Награды: 0
Репутация: 0
Статус: Offline


 
Работай из дома! 18+
 
 


Для увеличения ответа на задание, нажмите на картинку



---------------------------------------------------------------------



---------------------------------------------------------------------



---------------------------------------------------------------------



---------------------------------------------------------------------



---------------------------------------------------------------------

Перейти в оглавление решебника ГДЗ по Алгебре. 11 класс. Задачник А. Г. Мордкович
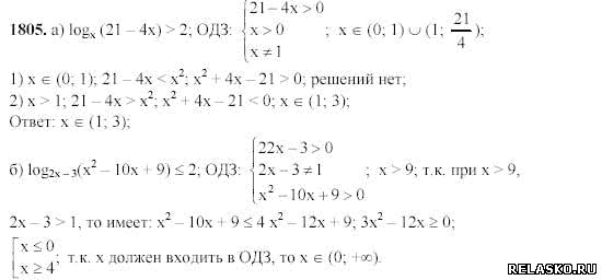
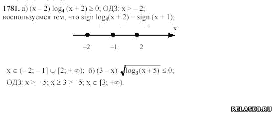
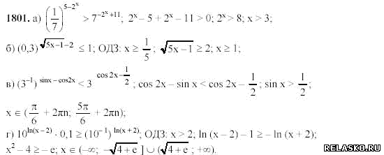
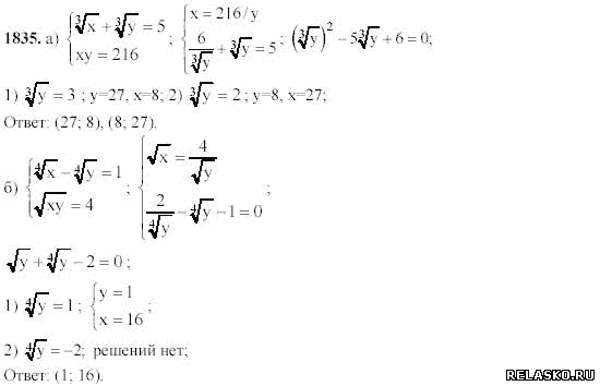
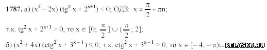
Фото: 5678911.png (8.0 Kb) · 0414607.png (9.5 Kb) · 1538623.png (4.8 Kb) · 0604350.png (18.4 Kb) · 8262575.png (30.7 Kb)
 
 
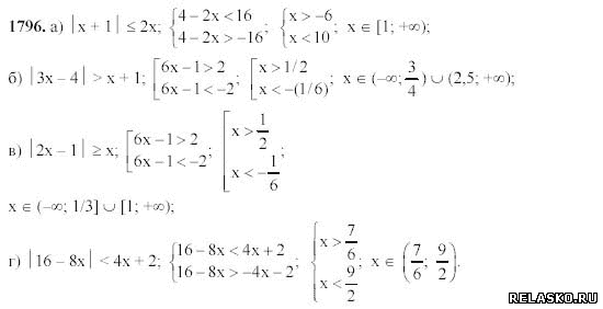
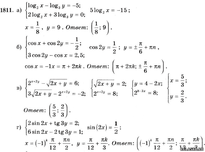
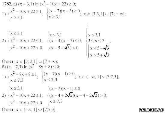
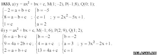
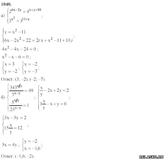
МЕДВЕДИКДата: Вторник, 29.09.2015, 16:06 | Сообщение # 129
Генерал-лейтенант
Группа: Проверенные
Сообщений: 602
Награды: 0
Репутация: 0
Статус: Offline


 
Работай из дома! 18+
 
 


Для увеличения ответа на задание, нажмите на картинку



---------------------------------------------------------------------



---------------------------------------------------------------------



---------------------------------------------------------------------



---------------------------------------------------------------------



---------------------------------------------------------------------

Перейти в оглавление решебника ГДЗ по Алгебре. 11 класс. Задачник А. Г. Мордкович
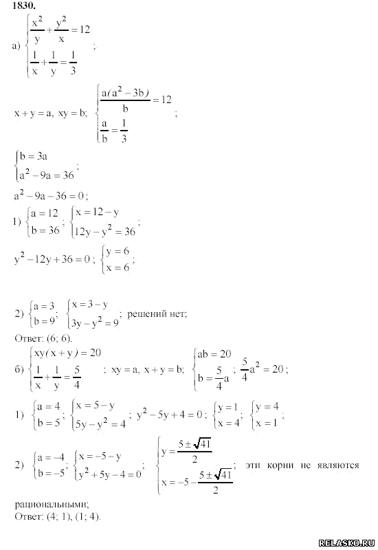
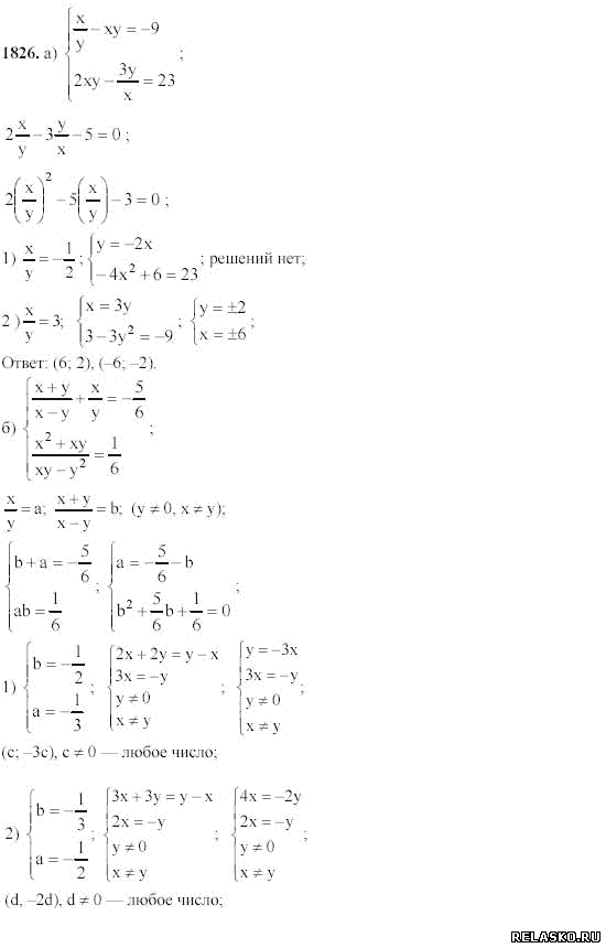
Фото: 3003203.png (24.7 Kb) · 7331953.png (21.9 Kb) · 8237027.png (25.6 Kb) · 7694342.png (20.7 Kb) · 4124179.png (24.4 Kb)
 
 
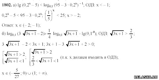
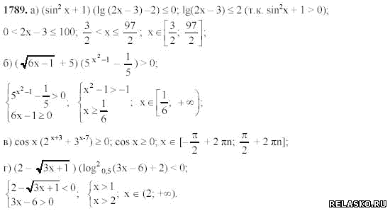
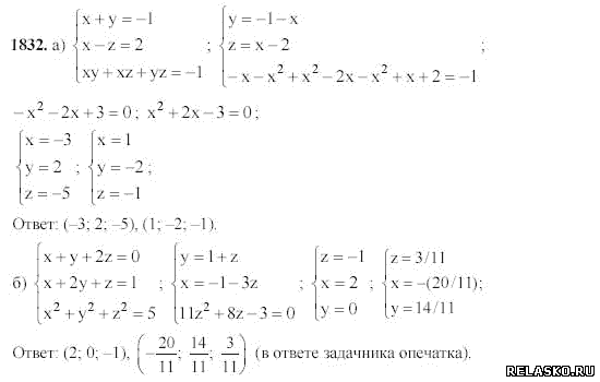
МЕДВЕДИКДата: Вторник, 29.09.2015, 16:06 | Сообщение # 130
Генерал-лейтенант
Группа: Проверенные
Сообщений: 602
Награды: 0
Репутация: 0
Статус: Offline


 
Работай из дома! 18+
 
 


Для увеличения ответа на задание, нажмите на картинку



---------------------------------------------------------------------



---------------------------------------------------------------------



---------------------------------------------------------------------



---------------------------------------------------------------------



---------------------------------------------------------------------

Перейти в оглавление решебника ГДЗ по Алгебре. 11 класс. Задачник А. Г. Мордкович
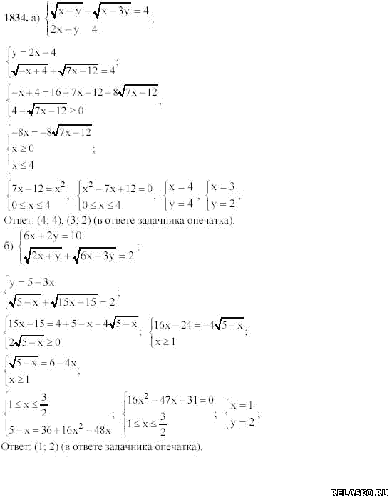
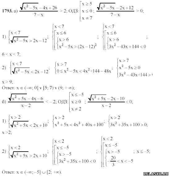
Фото: 3738056.png (31.3 Kb) · 9165184.png (16.3 Kb) · 2054936.png (7.6 Kb) · 0953156.png (3.4 Kb) · 9965604.png (4.2 Kb)
 
 
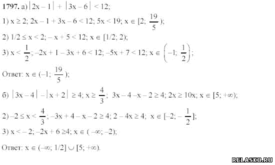
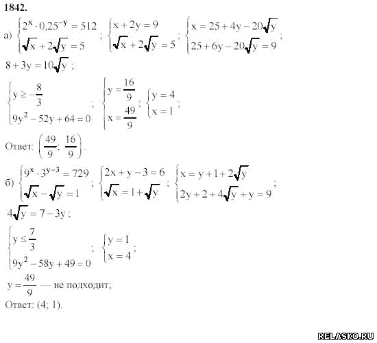
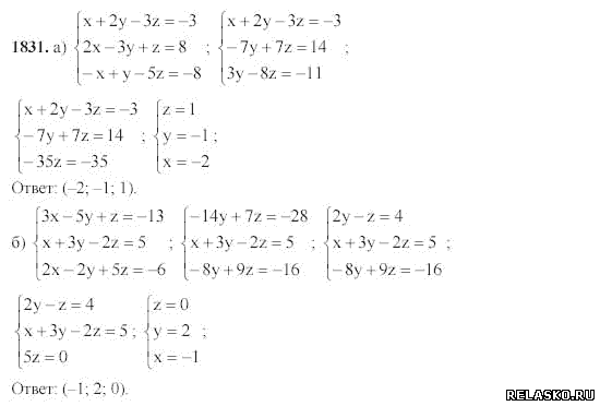
МЕДВЕДИКДата: Вторник, 29.09.2015, 16:07 | Сообщение # 131
Генерал-лейтенант
Группа: Проверенные
Сообщений: 602
Награды: 0
Репутация: 0
Статус: Offline


 
Работай из дома! 18+
 
 


Для увеличения ответа на задание, нажмите на картинку



---------------------------------------------------------------------



---------------------------------------------------------------------



---------------------------------------------------------------------



---------------------------------------------------------------------



---------------------------------------------------------------------

Перейти в оглавление решебника ГДЗ по Алгебре. 11 класс. Задачник А. Г. Мордкович
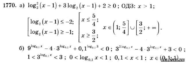
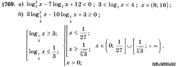
Фото: 9014610.png (19.7 Kb) · 6901319.png (30.1 Kb) · 5315832.png (40.3 Kb) · 8671875.png (7.0 Kb) · 4788874.png (8.5 Kb)
 
 
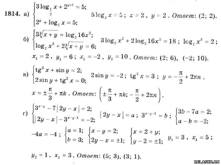
МЕДВЕДИКДата: Вторник, 29.09.2015, 16:07 | Сообщение # 132
Генерал-лейтенант
Группа: Проверенные
Сообщений: 602
Награды: 0
Репутация: 0
Статус: Offline


 
Работай из дома! 18+
 
 


Для увеличения ответа на задание, нажмите на картинку



---------------------------------------------------------------------



---------------------------------------------------------------------



---------------------------------------------------------------------



---------------------------------------------------------------------



---------------------------------------------------------------------

Перейти в оглавление решебника ГДЗ по Алгебре. 11 класс. Задачник А. Г. Мордкович
Фото: 1956592.png (5.4 Kb) · 0136041.png (9.0 Kb) · 3236709.png (15.2 Kb) · 7092736.png (14.2 Kb) · 2308200.png (15.3 Kb)
 
 
МЕДВЕДИКДата: Вторник, 29.09.2015, 16:08 | Сообщение # 133
Генерал-лейтенант
Группа: Проверенные
Сообщений: 602
Награды: 0
Репутация: 0
Статус: Offline


 
Работай из дома! 18+
 
 


Для увеличения ответа на задание, нажмите на картинку



---------------------------------------------------------------------



---------------------------------------------------------------------



---------------------------------------------------------------------



---------------------------------------------------------------------



---------------------------------------------------------------------

Перейти в оглавление решебника ГДЗ по Алгебре. 11 класс. Задачник А. Г. Мордкович
Фото: 9822351.png (11.0 Kb) · 8173924.png (10.7 Kb) · 4478987.png (8.5 Kb) · 0984052.png (8.5 Kb) · 7732517.png (8.4 Kb)
 
 
МЕДВЕДИКДата: Вторник, 29.09.2015, 16:08 | Сообщение # 134
Генерал-лейтенант
Группа: Проверенные
Сообщений: 602
Награды: 0
Репутация: 0
Статус: Offline


 
Работай из дома! 18+
 
 


Для увеличения ответа на задание, нажмите на картинку



---------------------------------------------------------------------



---------------------------------------------------------------------



---------------------------------------------------------------------



---------------------------------------------------------------------



---------------------------------------------------------------------

Перейти в оглавление решебника ГДЗ по Алгебре. 11 класс. Задачник А. Г. Мордкович
Фото: 4776036.png (14.2 Kb) · 5344046.png (8.8 Kb) · 2661036.png (11.2 Kb) · 1190102.png (11.9 Kb) · 1803187.png (18.4 Kb)
 
 
МЕДВЕДИКДата: Вторник, 29.09.2015, 16:08 | Сообщение # 135
Генерал-лейтенант
Группа: Проверенные
Сообщений: 602
Награды: 0
Репутация: 0
Статус: Offline


 
Работай из дома! 18+
 
 


Для увеличения ответа на задание, нажмите на картинку



---------------------------------------------------------------------



---------------------------------------------------------------------



---------------------------------------------------------------------



---------------------------------------------------------------------



---------------------------------------------------------------------

Читать ответы на задачи далее...
Фото: 5243470.png (22.2 Kb) · 1579684.png (9.5 Kb) · 1302660.png (14.1 Kb) · 5056180.png (11.2 Kb) · 1714714.png (8.5 Kb)
 
 
  • Страница 9 из 10
  • «
  • 1
  • 2
  • 7
  • 8
  • 9
  • 10
  • »
Поиск:

Работай из дома! 18+
 
 
 
 
 
 

 
Последние темы на форуме:
 
  • Новогодние праздники 2021-2022 официальные выходные
  • Показатели давления и сердцебиения у женщины 57 лет
  • Гороскоп на декабрь 2021 Женщина Телец
  • Гороскоп на январь 2022 от Павла Глоба
  • Гороскоп на декабрь 2021 от Павла Глоба
  • Гороскоп на ноябрь 2021 от Павла Глоба
  • Стенограмма судьбы - Содержание серий, актеры и роли сериала
  • Мосгаз. Западня - Содержание серий, актеры и роли 2021
  • Тобол - Содержание серий, актеры и роли сериала. 2021
  • Гороскоп для Тигра на сегодня от Павла Глоба
  • Утраченные воспоминания - Содержание серий, актеры и роли
  • Чёрно-белая любовь - Содержание серий, актеры и роли сериала
  • Забытая женщина - Содержание серий, актеры и роли сериала
  • Тайна спящей дамы - Содержание серий, актеры и роли сериала
  • Сериал Часы с кукушкой - Содержание серий, актеры и роли
  •  
     

     
    Обращаем ваше внимание на то, что данный интернет-сайт www.kinolog.do.am носит исключительно информационный характер и ни при каких условиях не является публичной офертой, определяемой положениями Статьи 437 (2) Гражданского кодекса РФ. Цена и наличие товара может отличаться от действительной. Пожалуйста, уточняйте цены и наличие товара у наших менеджеров.
    Администрация сайта не несет ответственности за действия и содержание размещаемой информации пользователей: комментарии, материалы, сообщения и темы на форуме, публикации, объявления и т.д.
    Правообладателям | Реклама | Учебники | Политика
    Отопление, водоснабжение, газоснабжение, канализация © 2003 - 2021
    Рейтинг@Mail.ru Рейтинг арматурных сайтов. ARMTORG.RU Яндекс.Метрика