[ Новые сообщения · Участники · Правила форума · Поиск · RSS ]
 
Работай из дома! 18+

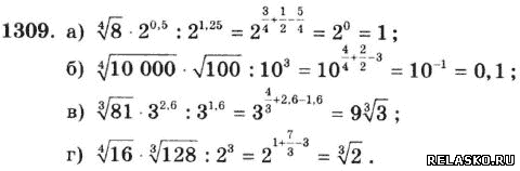
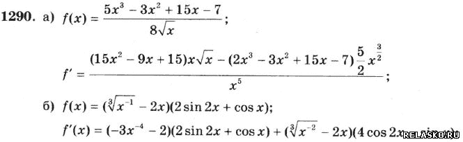
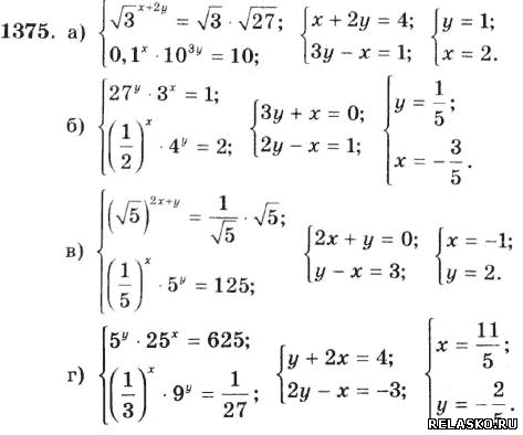
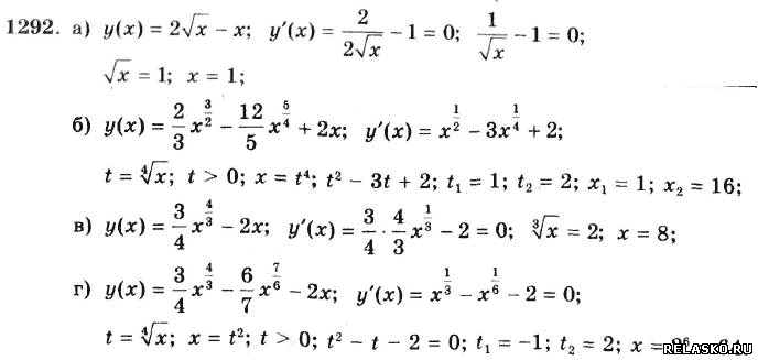
Задачник для 10-11 классов Мордкович, Денищева, Корешкова
МЕДВЕДИКДата: Вторник, 29.09.2015, 15:12 | Сообщение # 46
Генерал-лейтенант
Группа: Проверенные
Сообщений: 602
Награды: 0
Репутация: 0
Статус: Offline


 
Работай из дома! 18+
 
 




Для увеличения ответа на задание, нажмите на картинку



---------------------------------------------------------------------



---------------------------------------------------------------------



---------------------------------------------------------------------



---------------------------------------------------------------------



---------------------------------------------------------------------

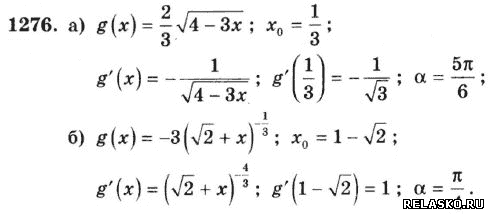
Перейти в оглавление решебника ГДЗ по Алгебре. 11 класс. Задачник А. Г. Мордкович
Фото: 6857264.png (9.8 Kb) · 7892270.png (15.2 Kb) · 9922805.png (10.2 Kb) · 1849027.png (6.4 Kb) · 1048386.png (10.8 Kb)
 
 
МЕДВЕДИКДата: Вторник, 29.09.2015, 15:13 | Сообщение # 47
Генерал-лейтенант
Группа: Проверенные
Сообщений: 602
Награды: 0
Репутация: 0
Статус: Offline


 
Работай из дома! 18+
 
 


Для увеличения ответа на задание, нажмите на картинку



---------------------------------------------------------------------



---------------------------------------------------------------------



---------------------------------------------------------------------



---------------------------------------------------------------------



---------------------------------------------------------------------

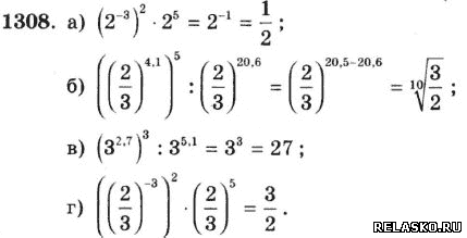
Перейти в оглавление решебника ГДЗ по Алгебре. 11 класс. Задачник А. Г. Мордкович
Фото: 4643665.png (8.1 Kb) · 3446444.png (16.0 Kb) · 3266583.png (15.2 Kb) · 5592232.png (114.5 Kb) · 6521092.png (55.4 Kb)
 
 
МЕДВЕДИКДата: Вторник, 29.09.2015, 15:13 | Сообщение # 48
Генерал-лейтенант
Группа: Проверенные
Сообщений: 602
Награды: 0
Репутация: 0
Статус: Offline


 
Работай из дома! 18+
 
 


Для увеличения ответа на задание, нажмите на картинку



---------------------------------------------------------------------



---------------------------------------------------------------------



---------------------------------------------------------------------



---------------------------------------------------------------------



---------------------------------------------------------------------

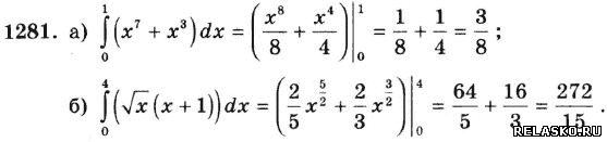
Перейти в оглавление решебника ГДЗ по Алгебре. 11 класс. Задачник А. Г. Мордкович
Фото: 5063693.png (2.9 Kb) · 1613856.png (2.9 Kb) · 7282201.png (9.0 Kb) · 9612715.png (11.2 Kb) · 6360984.png (10.3 Kb)
 
 
МЕДВЕДИКДата: Вторник, 29.09.2015, 15:14 | Сообщение # 49
Генерал-лейтенант
Группа: Проверенные
Сообщений: 602
Награды: 0
Репутация: 0
Статус: Offline


 
Работай из дома! 18+
 
 


Для увеличения ответа на задание, нажмите на картинку



---------------------------------------------------------------------



---------------------------------------------------------------------



---------------------------------------------------------------------



---------------------------------------------------------------------



---------------------------------------------------------------------

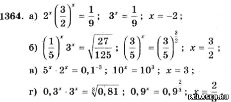
Перейти в оглавление решебника ГДЗ по Алгебре. 11 класс. Задачник А. Г. Мордкович
Фото: 6945745.png (17.5 Kb) · 5350858.png (18.2 Kb) · 2486572.png (26.2 Kb) · 0520690.png (18.8 Kb) · 8997514.png (10.7 Kb)
 
 
МЕДВЕДИКДата: Вторник, 29.09.2015, 15:15 | Сообщение # 50
Генерал-лейтенант
Группа: Проверенные
Сообщений: 602
Награды: 0
Репутация: 0
Статус: Offline


 
Работай из дома! 18+
 
 


Для увеличения ответа на задание, нажмите на картинку



---------------------------------------------------------------------



---------------------------------------------------------------------



---------------------------------------------------------------------



---------------------------------------------------------------------



---------------------------------------------------------------------

Перейти в оглавление решебника ГДЗ по Алгебре. 11 класс. Задачник А. Г. Мордкович
Фото: 5673933.png (3.1 Kb) · 9169888.png (4.0 Kb) · 3896193.png (3.4 Kb) · 2921789.png (6.3 Kb) · 0441677.png (4.3 Kb)
 
 
МЕДВЕДИКДата: Вторник, 29.09.2015, 15:15 | Сообщение # 51
Генерал-лейтенант
Группа: Проверенные
Сообщений: 602
Награды: 0
Репутация: 0
Статус: Offline


 
Работай из дома! 18+
 
 


Для увеличения ответа на задание, нажмите на картинку



---------------------------------------------------------------------



---------------------------------------------------------------------



---------------------------------------------------------------------



---------------------------------------------------------------------



---------------------------------------------------------------------

Перейти в оглавление решебника ГДЗ по Алгебре. 11 класс. Задачник А. Г. Мордкович
Фото: 5435106.png (6.5 Kb) · 5448487.png (6.5 Kb) · 5705552.png (8.3 Kb) · 8796951.png (8.9 Kb) · 3066339.png (7.9 Kb)
 
 
МЕДВЕДИКДата: Вторник, 29.09.2015, 15:15 | Сообщение # 52
Генерал-лейтенант
Группа: Проверенные
Сообщений: 602
Награды: 0
Репутация: 0
Статус: Offline


 
Работай из дома! 18+
 
 


Для увеличения ответа на задание, нажмите на картинку



---------------------------------------------------------------------



---------------------------------------------------------------------



---------------------------------------------------------------------



---------------------------------------------------------------------



---------------------------------------------------------------------

Перейти в оглавление решебника ГДЗ по Алгебре. 11 класс. Задачник А. Г. Мордкович
Фото: 8714888.png (2.4 Kb) · 5933209.png (5.8 Kb) · 4534296.png (5.5 Kb) · 4431918.png (3.4 Kb) · 2717952.png (14.1 Kb)
 
 
МЕДВЕДИКДата: Вторник, 29.09.2015, 15:16 | Сообщение # 53
Генерал-лейтенант
Группа: Проверенные
Сообщений: 602
Награды: 0
Репутация: 0
Статус: Offline


 
Работай из дома! 18+
 
 


Для увеличения ответа на задание, нажмите на картинку



---------------------------------------------------------------------



---------------------------------------------------------------------



---------------------------------------------------------------------



---------------------------------------------------------------------



---------------------------------------------------------------------

Перейти в оглавление решебника ГДЗ по Алгебре. 11 класс. Задачник А. Г. Мордкович
Фото: 0148846.png (7.0 Kb) · 7445859.png (4.0 Kb) · 5446092.png (4.4 Kb) · 8589145.png (9.6 Kb) · 9780237.png (5.0 Kb)
 
 
МЕДВЕДИКДата: Вторник, 29.09.2015, 15:16 | Сообщение # 54
Генерал-лейтенант
Группа: Проверенные
Сообщений: 602
Награды: 0
Репутация: 0
Статус: Offline


 
Работай из дома! 18+
 
 


Для увеличения ответа на задание, нажмите на картинку



---------------------------------------------------------------------



---------------------------------------------------------------------



---------------------------------------------------------------------



---------------------------------------------------------------------



---------------------------------------------------------------------

Перейти в оглавление решебника ГДЗ по Алгебре. 11 класс. Задачник А. Г. Мордкович
Фото: 2384813.png (4.2 Kb) · 5997171.png (10.0 Kb) · 9066591.png (11.9 Kb) · 9823113.png (7.7 Kb) · 7176882.png (8.9 Kb)
 
 
МЕДВЕДИКДата: Вторник, 29.09.2015, 15:17 | Сообщение # 55
Генерал-лейтенант
Группа: Проверенные
Сообщений: 602
Награды: 0
Репутация: 0
Статус: Offline


 
Работай из дома! 18+
 
 


Для увеличения ответа на задание, нажмите на картинку



---------------------------------------------------------------------



---------------------------------------------------------------------



---------------------------------------------------------------------



---------------------------------------------------------------------



---------------------------------------------------------------------

Перейти в оглавление решебника ГДЗ по Алгебре. 11 класс. Задачник А. Г. Мордкович
Фото: 5790123.png (12.6 Kb) · 0256315.png (13.7 Kb) · 9839469.png (2.8 Kb) · 8722567.png (4.3 Kb) · 5071711.png (4.3 Kb)
 
 
МЕДВЕДИКДата: Вторник, 29.09.2015, 15:21 | Сообщение # 56
Генерал-лейтенант
Группа: Проверенные
Сообщений: 602
Награды: 0
Репутация: 0
Статус: Offline


 
Работай из дома! 18+
 
 


Для увеличения ответа на задание, нажмите на картинку



---------------------------------------------------------------------



---------------------------------------------------------------------



---------------------------------------------------------------------



---------------------------------------------------------------------



---------------------------------------------------------------------

Перейти в оглавление решебника ГДЗ по Алгебре. 11 класс. Задачник А. Г. Мордкович
Фото: 8514234.png (7.2 Kb) · 9237808.png (4.2 Kb) · 9956458.png (4.7 Kb) · 7905747.png (5.0 Kb) · 9654381.png (5.0 Kb)
 
 
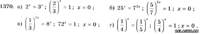
МЕДВЕДИКДата: Вторник, 29.09.2015, 15:24 | Сообщение # 57
Генерал-лейтенант
Группа: Проверенные
Сообщений: 602
Награды: 0
Репутация: 0
Статус: Offline


 
Работай из дома! 18+
 
 


Для увеличения ответа на задание, нажмите на картинку



---------------------------------------------------------------------



---------------------------------------------------------------------



---------------------------------------------------------------------



---------------------------------------------------------------------



---------------------------------------------------------------------

Перейти в оглавление решебника ГДЗ по Алгебре. 11 класс. Задачник А. Г. Мордкович
Фото: 6868253.png (8.0 Kb) · 4384311.png (9.1 Kb) · 1045479.png (10.6 Kb) · 0620173.png (7.7 Kb) · 8085864.png (14.5 Kb)
 
 
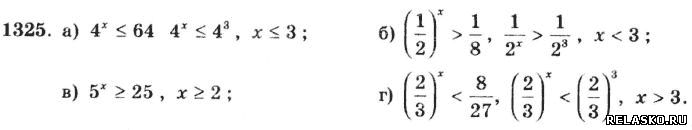
МЕДВЕДИКДата: Вторник, 29.09.2015, 15:24 | Сообщение # 58
Генерал-лейтенант
Группа: Проверенные
Сообщений: 602
Награды: 0
Репутация: 0
Статус: Offline


 
Работай из дома! 18+
 
 


Для увеличения ответа на задание, нажмите на картинку



---------------------------------------------------------------------



---------------------------------------------------------------------



---------------------------------------------------------------------



---------------------------------------------------------------------



---------------------------------------------------------------------

Перейти в оглавление решебника ГДЗ по Алгебре. 11 класс. Задачник А. Г. Мордкович
Фото: 6286154.png (16.7 Kb) · 0360389.png (22.0 Kb) · 4867463.png (28.5 Kb) · 0770616.png (21.8 Kb) · 8915388.png (8.0 Kb)
 
 
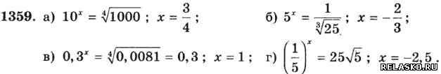
МЕДВЕДИКДата: Вторник, 29.09.2015, 15:25 | Сообщение # 59
Генерал-лейтенант
Группа: Проверенные
Сообщений: 602
Награды: 0
Репутация: 0
Статус: Offline


 
Работай из дома! 18+
 
 


Для увеличения ответа на задание, нажмите на картинку



---------------------------------------------------------------------



---------------------------------------------------------------------



---------------------------------------------------------------------



---------------------------------------------------------------------



---------------------------------------------------------------------

Перейти в оглавление решебника ГДЗ по Алгебре. 11 класс. Задачник А. Г. Мордкович
Фото: 6221871.png (11.1 Kb) · 7486801.png (18.8 Kb) · 0852226.png (29.2 Kb) · 5199559.png (14.1 Kb) · 3691550.png (18.3 Kb)
 
 
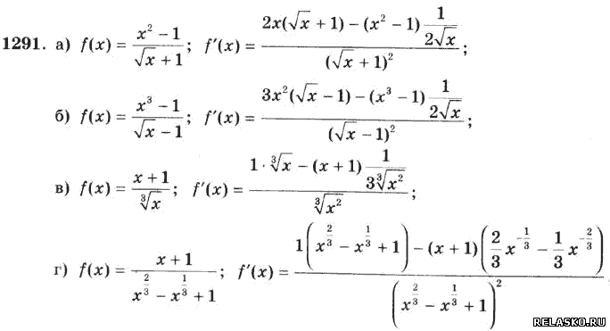
МЕДВЕДИКДата: Вторник, 29.09.2015, 15:25 | Сообщение # 60
Генерал-лейтенант
Группа: Проверенные
Сообщений: 602
Награды: 0
Репутация: 0
Статус: Offline


 
Работай из дома! 18+
 
 


Для увеличения ответа на задание, нажмите на картинку



---------------------------------------------------------------------



---------------------------------------------------------------------



---------------------------------------------------------------------



---------------------------------------------------------------------



---------------------------------------------------------------------

Читать ответы на задачи далее...

Фото: 2037787.png (2.5 Kb) · 3312856.png (5.0 Kb) · 0389802.png (6.5 Kb) · 1514039.png (8.9 Kb) · 2219544.png (10.0 Kb)
 
 
Поиск:

Работай из дома! 18+
 
 
 
 
 
 

 
Последние темы на форуме:
 
  • Новогодние праздники 2021-2022 официальные выходные
  • Показатели давления и сердцебиения у женщины 57 лет
  • Гороскоп на декабрь 2021 Женщина Телец
  • Гороскоп на январь 2022 от Павла Глоба
  • Гороскоп на декабрь 2021 от Павла Глоба
  • Гороскоп на ноябрь 2021 от Павла Глоба
  • Стенограмма судьбы - Содержание серий, актеры и роли сериала
  • Мосгаз. Западня - Содержание серий, актеры и роли 2021
  • Тобол - Содержание серий, актеры и роли сериала. 2021
  • Гороскоп для Тигра на сегодня от Павла Глоба
  • Утраченные воспоминания - Содержание серий, актеры и роли
  • Чёрно-белая любовь - Содержание серий, актеры и роли сериала
  • Забытая женщина - Содержание серий, актеры и роли сериала
  • Тайна спящей дамы - Содержание серий, актеры и роли сериала
  • Сериал Часы с кукушкой - Содержание серий, актеры и роли
  •  
     

     
    Обращаем ваше внимание на то, что данный интернет-сайт www.kinolog.do.am носит исключительно информационный характер и ни при каких условиях не является публичной офертой, определяемой положениями Статьи 437 (2) Гражданского кодекса РФ. Цена и наличие товара может отличаться от действительной. Пожалуйста, уточняйте цены и наличие товара у наших менеджеров.
    Администрация сайта не несет ответственности за действия и содержание размещаемой информации пользователей: комментарии, материалы, сообщения и темы на форуме, публикации, объявления и т.д.
    Правообладателям | Реклама | Учебники | Политика
    Отопление, водоснабжение, газоснабжение, канализация © 2003 - 2021
    Рейтинг@Mail.ru Рейтинг арматурных сайтов. ARMTORG.RU Яндекс.Метрика