[ Новые сообщения · Участники · Правила форума · Поиск · RSS ]
 
Работай из дома! 18+

ГДЗ по Математике. 6 класс
KADETДата: Четверг, 25.12.2014, 11:47 | Сообщение # 271
Генерал-майор
Группа: Проверенные
Сообщений: 337
Награды: 0
Репутация: 0
Статус: Offline


 
Работай из дома! 18+
 
 




Задача № 1346

На одной полке было в 3 раза больше книг, чем на другой. Когда с одной полки сняли 8 книг, а на другую положили 32, то книг на полках стало поровну. Сколько книг было на каждой полке первоначально?

Ответ на задание



Задача № 1347

В двух бочках 725 л бензина. Когда из первой бочки взяли 2010-93.jpg, а из второй 2010-94.jpgбензина, то в обеих бочках бензина стало поровну. Сколько литров бензина было в каждой бочке первоначально?

Ответы на задание



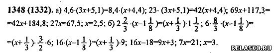
Задача № 1348

Решите уравнение, используя основное свойство пропорции:

Ответ на задачу



Задача № 1349

Смешали индийский и грузинский чай. Индийский чай составил 30% всей смеси. Если в эту смесь добавить еще 120 г индийского чая, то он будет составлять 45% смеси. Сколько граммов индийского чая было в смеси первоначально?

Ответ на задание и решение



Задача № 1350

Поезд шел 3,5 ч со скоростью 64,4 км/ч. На сколько надо увеличить скорость поезда, чтобы пройти это расстояние за 2,8 ч?

Ответ на задачку

Фото: 5526939.jpg (42.4 Kb) · 5101229.jpg (60.3 Kb) · 5686039.jpg (34.1 Kb) · 4390800.jpg (45.5 Kb) · 1941487.jpg (35.1 Kb)
 
 
KADETДата: Четверг, 25.12.2014, 11:50 | Сообщение # 272
Генерал-майор
Группа: Проверенные
Сообщений: 337
Награды: 0
Репутация: 0
Статус: Offline


 
Работай из дома! 18+
 
 


Задача № 1351

Одна поливочная машина может полить всю улицу за 15 мин, а другая — за 12 мин. Какую часть улицы польют обе машины за 1 мин? за 3 мин?

Ответ на задание



Задача № 1352

Постройте с помощью транспортира две перпендикулярные прямые.

Ответы на задание



Задача № 1353

Определите сначала на глаз, а потом проверьте с помощью чертежного треугольника, какие пары прямых на рисунке 99 перпендикулярны.

Ответ на задачу



Задача № 1354

Начертите прямую MP и отметьте точку А, не лежащую на этой прямой. Проведите с помощью чертежного треугольника через точку А прямую, перпендикулярную прямой MP. Сколько прямых, перпендикулярных MP, можно провести через точку A?

Ответ на задание и решение



Задача № 1355

Начертите в тетради прямую АВ и отметьте точку М так, как показано на рисунке 100. Проведите через точку М перпендикуляр к прямой АВ.

Ответ на задачку

Фото: 5090780.jpg (34.6 Kb) · 2791235.jpg (22.1 Kb) · 2224109.jpg (18.9 Kb) · 6128342.jpg (42.4 Kb) · 1509885.jpg (83.4 Kb)
 
 
KADETДата: Четверг, 25.12.2014, 11:52 | Сообщение # 273
Генерал-майор
Группа: Проверенные
Сообщений: 337
Награды: 0
Репутация: 0
Статус: Offline


 
Работай из дома! 18+
 
 


Задача № 1356

Какие из отрезков, изображенных на рисунке 101, перпендикулярны?

Ответ на задание



Задача № 1357

Начертите прямой угол. Отметьте на сторонах угла по одной точке и проведите через них прямые, перпендикулярные сторонам угла. Отметьте точку пересечения этих прямых. Что за четырехугольник получится на чертеже?

Ответы на задание



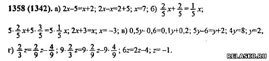
Задача № 1358

Найдите корень уравнения:

Ответ на задачу



Задача № 1359

Сумма трех последовательных целых чисел равна нулю. Какие это числа?

Ответ на задание и решение



Задача № 1360

Расставьте числа 1, — 2, 3, — 4, 5, —6, 7, —8, 9 в клетках квадрата (рис. 102) так, чтобы их произведения по всем горизонталям, вертикалям и диагоналям были положительны.

Ответ на задачку

Фото: 0078842.jpg (19.8 Kb) · 0154148.jpg (16.7 Kb) · 3102662.jpg (29.1 Kb) · 2316123.jpg (18.2 Kb) · 9502342.jpg (27.1 Kb)
 
 
KADETДата: Четверг, 25.12.2014, 11:55 | Сообщение # 274
Генерал-майор
Группа: Проверенные
Сообщений: 337
Награды: 0
Репутация: 0
Статус: Offline


 
Работай из дома! 18+
 
 


Задача № 1361

Трое ребят нашли в лесу 200 грибов. Никита нашел 40% всех грибов, Олег числа грибов, которые нашел Никита, Дима нашел остальные грибы. Сколько грибов нашел Дима?

Ответ на задание



Задача № 1362

От куска провода отрезали 50%, а потом еще 20% остатка. После этого осталось 60 м провода. Сколько метров провода было в куске первоначально?

Ответы на задание



Задача № 1363

Старинная задача. В клетке сидят фазаны и кролики. У них 19 голов и 62 ноги. Сколько фазанов и сколько кроликов в клетке?

Ответ на задачу



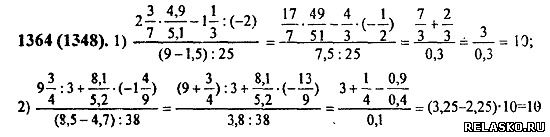
Задача № 1364

Найдите значение выражения:

Ответ на задание и решение



Задача № 1365

Перечертите рисунок 103 в тетрадь. Проведите через точки М и Р прямые, перпендикулярные прямой

Ответ на задачку

Фото: 7745165.jpg (19.7 Kb) · 1885547.jpg (34.7 Kb) · 3620455.jpg (32.2 Kb) · 9000946.jpg (35.6 Kb) · 8519450.jpg (19.2 Kb)
 
 
KADETДата: Четверг, 25.12.2014, 11:58 | Сообщение # 275
Генерал-майор
Группа: Проверенные
Сообщений: 337
Награды: 0
Репутация: 0
Статус: Offline


 
Работай из дома! 18+
 
 


Задача № 1366

Начертите два перпендикулярных отрезка АВ и MN так, чтобы они:

а) не пересекались; б) пересекались.

Ответ на задание



Задача № 1367

Начертите два перпендикулярных луча так, чтобы они:

а) не пересекались; б) пересекались; в) имели общее начало.

Ответы на задание



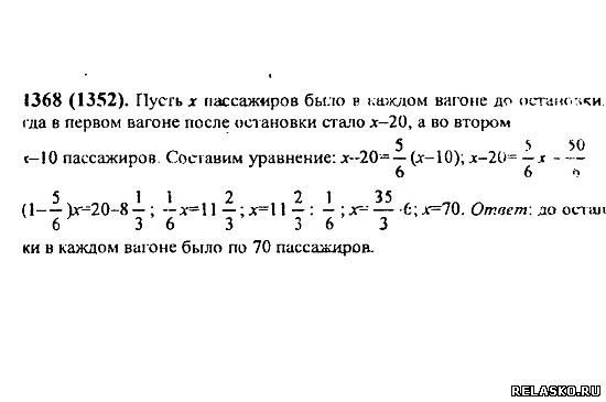
Задача № 1368

В каждом из двух вагонов трамвая было одинаковое число пассажиров. После остановки в первом вагоне стало на 20 пассажиров меньше, а во втором на 10 и число пассажиров ы первом вагоне составило 5/6 числа пассажиров во втором вагоне. Сколько пассажиров было в каждом вагоне до остановки?

Аналогичная задача: Цена на яблоки была такой же, как и цена на груши. Через некоторое время цену на яблоки снизили на 20 к., а цену на груши — на 10 к. При этом б кг яблок стали стоить столько, сколько 5 кг груш. Какой была цена на яблоки первоначально?

Ответ на задачу



Задача № 1369

Выполните действия:

а) 12 + 7,8 •(8,1-8,4);
б) -6-4,5 •(5,2-10,6);
в) 18,2:(-9,1) •0,7-3,4 •(-2,3):17;
г) -16,4:(- 8,2) • (- 0,6) + 5,2 • 3,8: (-19).

Ответ на задание и решение



Задача № 1370

Начертите пять параллельных друг другу прямых.

Ответ на задачку

Фото: 6461108.jpg (18.9 Kb) · 1240100.jpg (14.8 Kb) · 4821169.jpg (46.9 Kb) · 0189368.jpg (33.1 Kb) · 7574360.jpg (15.9 Kb)
 
 
KADETДата: Четверг, 25.12.2014, 12:01 | Сообщение # 276
Генерал-майор
Группа: Проверенные
Сообщений: 337
Награды: 0
Репутация: 0
Статус: Offline


 
Работай из дома! 18+
 
 


Задача № 1371

Начертите прямую L и отметьте точки М и К вне этой прямой. Проведите через точки М и К прямые, параллельные прямой L

Ответ на задание



Задача № 1372

Начертите треугольник и проведите через каждую вершину прямую, параллельную противоположной стороне.

Ответы на задание



Задача № 1373

Найдите с помощью линейки и треугольника все пары параллельных прямых, изображенных на рисунке 110.

Ответ на задачу



Задача № 1374

Начертите прямую т и отметьте на ней три точки А, B и С. Через эти точки проведите прямые, перпендикулярные прямой т. Отметьте на этих прямых параллельные отрезки.

Ответ на задание и решение



Задача № 1375

Постройте угол АОВ, равный 35°. Отметьте точку М на стороне OA и точку N на стороне ОВ. Проведите через точку М прямую, перпендикулярную стороне ОВ, а через точку N прямую, перпендикулярную стороне OA.

Ответ на задачку

Фото: 9934405.jpg (17.4 Kb) · 1029269.jpg (19.9 Kb) · 6647644.jpg (18.5 Kb) · 6509610.jpg (24.0 Kb) · 5224474.jpg (23.8 Kb)
 
 
KADETДата: Четверг, 25.12.2014, 12:38 | Сообщение # 277
Генерал-майор
Группа: Проверенные
Сообщений: 337
Награды: 0
Репутация: 0
Статус: Offline


 
Работай из дома! 18+
 
 


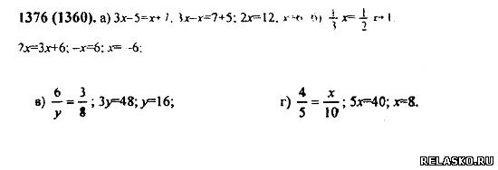
Задача № 1376

Решите уравнение:

Ответ на задание



Задача № 1377

Приведите подобные слагаемые: х — 7 + 2х — 5х + 1.

Ответы на задание



Задача № 1378

Вычислите:

Ответ на задачу



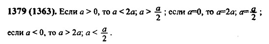
Задача № 1379

Что больше: а или 2а? а или ?

Ответ на задание и решение



Задача № 1380

5/7 некоторого числа равны 7/5 этого числа. Какое это число?

Ответ на задачку

Фото: 1995227.jpg (23.3 Kb) · 0710796.jpg (18.5 Kb) · 3076940.jpg (19.4 Kb) · 3749751.jpg (20.7 Kb) · 8019020.jpg (25.2 Kb)
 
 
KADETДата: Четверг, 25.12.2014, 13:03 | Сообщение # 278
Генерал-майор
Группа: Проверенные
Сообщений: 337
Награды: 0
Репутация: 0
Статус: Offline


 
Работай из дома! 18+
 
 


Задача № 1381

До конца суток осталось 2/3 того времени, которое прошло от начала суток. Который сейчас час?

Ответ на задание



Задача № 1382

Из пятидесяти звеньев составлена цепь. Найдите длину этой цепи, если просвет каждого звена 16 мм, а толщина 4 мм (Рис. 111)

Ответы на задание



Задача № 1383

Выполните действия:

Ответ на задачу



Задача № 1384

Перечертите рисунок 112 в тетрадь. Проведите через точку К прямую: а) параллельную прямой а; б) перпендикулярную прямой а.

Ответ на задание и решение



Задача № 1385

Начертите угол ABC, равный 75°. На стороне В А отметьте точку М и проведите через нее две прямые, одна из которых параллельна, а другая перпендикулярна стороне ВС.

Ответ на задачку

Фото: 1506505.jpg (32.5 Kb) · 6460309.jpg (17.6 Kb) · 1574085.jpg (32.7 Kb) · 6888886.jpg (26.9 Kb) · 3870752.jpg (18.0 Kb)
 
 
KADETДата: Четверг, 25.12.2014, 13:07 | Сообщение # 279
Генерал-майор
Группа: Проверенные
Сообщений: 337
Награды: 0
Репутация: 0
Статус: Offline


 
Работай из дома! 18+
 
 


Задача № 1386

В лаборатории стояли 25 столов с ящиками. В одних столах было по 3 ящика, а в других — по 4 ящика. Сколько было столов с тремя ящиками и сколько было столов с четырьмя ящиками, если общее число всех ящиков равно 91?

Ответ на задание



Задача № 1387

По норме рабочий должен изготовить 72 детали, а он изготовил 90 деталей. На сколько процентов рабочий выполнил норму и на сколько процентов он перевыполнил норму?

Ответы на задание



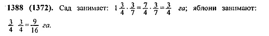
Задача № 1388

На 3/7 земельного участка разбит сад. 3/4 сада занимают яблони. Какую площадь занимают яблони, если площадь земельного участка 1 3/4 га?

Ответ на задачу



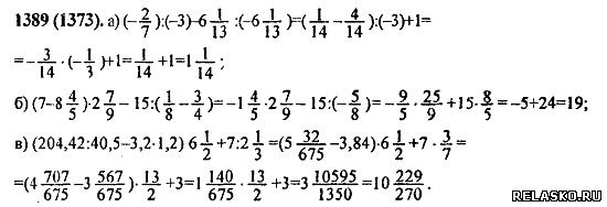
Задача № 1389

Найдите значение выражения:

Ответ на задание и решение



Задача № 1390

По рисунку 115 определите, сколько клеток надо пройти слева направо и сколько снизу вверх, чтобы попасть из точки О в точки М, К, Р и N.

Ответ на задачку

Фото: 9007785.jpg (32.9 Kb) · 0175823.jpg (19.8 Kb) · 8816019.jpg (17.7 Kb) · 1697845.jpg (43.8 Kb) · 9782334.jpg (25.0 Kb)
 
 
KADETДата: Четверг, 25.12.2014, 13:11 | Сообщение # 280
Генерал-майор
Группа: Проверенные
Сообщений: 337
Награды: 0
Репутация: 0
Статус: Offline


 
Работай из дома! 18+
 
 


Задача № 1391

Шестиклассники участвовали в спортивной игре. Сначала звено было в точке О (рис. 116). Командир звена получил приказ: «Идите на восток 6 км, а затем на север 4 км». Назовите координаты точки В, в которую должно попасть это звено. Сформулируйте приказы для других звеньев, которые должны попасть из точки О в точки С, D, Е, К, Af, N. Назовите координаты этих точек.

Ответ на задание



Задача № 1392

Возьмите географическую карту и назовите широту и долготу городов: Москвы, Киева, Алма-Аты.

Ответы на задание



Задача № 1393

Постройте координатные прямые x и у и отметьте точки А (2; 8), В(3;-4), С (-4; 5), D(-3; -7), Е(0; 5), М(0; -4), K(6; 0), Р(-7;0).

Ответ на задачу



Задача № 1394

Найдите координаты точек А, В, С и D (рис. 117).

Координатная плоскость

Запись M ( — 2; 7) читают так: — точка эм с абсциссой минус два и ординатой семь
— точка эм с координатами минус два и семь
— координаты точки эм — пара чисел минус два и семь

Ответ на задание и решение



Задача № 1395

У каких точек на координатной плоскости абсцисса равна нулю? У каких точек равна нулю ордината? Какая точка имеет координаты (0; 0)?

Ответ на задачку

Фото: 4805590.jpg (44.4 Kb) · 9926598.jpg (20.2 Kb) · 8976526.jpg (18.5 Kb) · 0030378.jpg (18.5 Kb) · 0916996.jpg (21.8 Kb)
 
 
KADETДата: Четверг, 25.12.2014, 13:14 | Сообщение # 281
Генерал-майор
Группа: Проверенные
Сообщений: 337
Награды: 0
Репутация: 0
Статус: Offline


 
Работай из дома! 18+
 
 


Задача № 1396

Где расположены на координатной плоскости точки, абсцисса которых равна 4? А где расположены точки, ордината которых равна —1?

Ответ на задание



Задача № 1397

Изобразите на координатной плоскости точки А (-2; —2), Б( — 1; -1), С(0; 0), D(1; 1), Е(2; 2). Проверьте с помощью линейки, лежат ли эти точки на одной прямой и лежит ли на этой прямой точка M ( — 5; 5).

Ответы на задание



Задача № 1398

Постройте на координатной плоскости четырехугольник ABCD, если А(—10;— 2), В( —2; —2), С(—2; —6), D (—10; —6). Является ли он прямоугольником? квадратом? Найдите периметр и площадь этого четырехугольника, если единичный отрезок равен 1 см. Проведите отрезки АС и BD и найдите координаты точки Е пересечения этих отрезков.

Ответ на задачу



Задача № 1399

Постройте треугольник ОВС, где О (0; 0), В (4; 6), С(1;5).

Ответ на задание и решение



Задача № 1400

На миллиметровой бумаге (рис. 118) отмечены точки А, В, С, D, Е, F, К и М. Найдите их координаты.

Ответ на задачку

Фото: 2404367.jpg (22.1 Kb) · 7243201.jpg (22.9 Kb) · 7062657.jpg (35.1 Kb) · 5765876.jpg (19.0 Kb) · 5342633.jpg (20.8 Kb)
 
 
KADETДата: Четверг, 25.12.2014, 13:27 | Сообщение # 282
Генерал-майор
Группа: Проверенные
Сообщений: 337
Награды: 0
Репутация: 0
Статус: Offline


 
Работай из дома! 18+
 
 


Задача № 1401

В координатной плоскости проведена линия (рис. 119). Найдите на этой линии точку:

а) абсцисса которой равна 2; 1,7; —1,2;
б) ордината которой равна 1,8; 2,1; —1,6; —2,5; —3,2.

Ответ на задание



Задача № 1402

Даны точки А (1; 3), В (-1; 4), С (7; -5), D (0; 6). Какие из этих точек расположены: а) выше оси абсцисс; б) левее оси ординат?

Ответы на задание



Задача № 1403

Вычислите устно:

Ответ на задачу



Задача № 1404

Что больше: x или x2? х2 или x3?

Ответ на задание и решение



Задача № 1405

Найдите все дроби со знаменателем 15, которые больше и меньше

Ответ на задачку

Фото: 5989867.jpg (31.6 Kb) · 7356010.jpg (18.4 Kb) · 7817923.jpg (16.3 Kb) · 9241659.jpg (21.8 Kb) · 2786622.jpg (32.9 Kb)
 
 
KADETДата: Четверг, 25.12.2014, 13:30 | Сообщение # 283
Генерал-майор
Группа: Проверенные
Сообщений: 337
Награды: 0
Репутация: 0
Статус: Offline


 
Работай из дома! 18+
 
 


Задача № 1406

Числа 90 и 100 разделили на одно и то же число. В первом случае получили остаток 18, а во втором случае — остаток 4. Найдите делитель.

Ответ на задание



Задача № 1407

Из корзины взяли 6 яблок, затем треть остатка и еще 6 яблок. После этого в корзине осталась половина первоначального числа яблок. Сколько яблок было в корзине?

Ответы на задание



Задача № 1408

Попробуйте найти простой способ для вычисления значения выражения

Ответ на задачу



Задача № 1409

Начертите какой-нибудь треугольник ABC. Через вершину С проведите прямую I, параллельную стороне АВ, и прямую m, перпендикулярную стороне АВ.

Ответ на задание и решение



Задача № 1410

Найдите длину окружности, радиус которой 7 см, 0,7 см, 0,14 см, приняв п=22/7

Ответ на задачку

Фото: 7099648.jpg (40.9 Kb) · 3075238.jpg (40.1 Kb) · 1823141.jpg (42.4 Kb) · 2681635.jpg (20.1 Kb) · 6303614.jpg (24.0 Kb)
 
 
KADETДата: Четверг, 25.12.2014, 13:33 | Сообщение # 284
Генерал-майор
Группа: Проверенные
Сообщений: 337
Награды: 0
Репутация: 0
Статус: Offline


 
Работай из дома! 18+
 
 


Задача № 1411

Найдите радиус окружности, длина которой 6,28 мм, 3,14 см, 0,0628 м, приняв

Ответ на задание



Задача № 1412

Вычислите:

Ответы на задание



Задача № 1413

Найдите объем и площадь поверхности куба, ребро которого равно: а) 4 см; б) 0,2 м.

Ответ на задачу



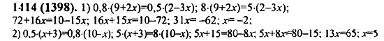
Задача № 1414

Решите уравнение:

1) 0,8 • (9 + 2х) = 0,5 • (2 - 3x);
2) 0,5 • (x + 3) = 0,8 • (10 - х).

Ответ на задание и решение



Задача № 1415

Решите задачу:

1) На заводе производится смена оборудования. После того как 51 станок заменили новыми, осталось заменить еще 83% станков. Сколько всего станков на заводе надо заменить новыми?

2) Купили пачку бумаги. После того как израсходовали 30 листов, осталось 85% пачки. Сколько листов бумаги было в пачке?

Ответ на задачку

Фото: 2641458.jpg (24.0 Kb) · 4961459.jpg (22.1 Kb) · 2014273.jpg (26.4 Kb) · 1119158.jpg (26.6 Kb) · 5730242.jpg (20.6 Kb)
 
 
KADETДата: Четверг, 25.12.2014, 13:40 | Сообщение # 285
Генерал-майор
Группа: Проверенные
Сообщений: 337
Награды: 0
Репутация: 0
Статус: Offline


 
Работай из дома! 18+
 
 


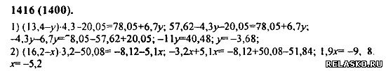
Задача № 1416

Решите уравнение:

1) (13,4 — у) •4,3 — 20,05 = 78,05 + 6,7 • y;
2) (16,2— х) • 3,2 — 50,08 = - 8,12 — 5,1 • x.

Ответ на задание



Задача № 1417

Постройте ломаные линии ABCDE и MNK по координатам точек А ( — 6; 2), В ( — 4; 6), С (1; 1),D (2; —5), Е (8; -1) и М (-5; -5), N(-1; 7), К( 8; 4).

Найдите координаты точек пересечения ломаных ABCDE и MNK.

Ответы на задание



Задача № 1418

Постройте четырехугольник ABCDE по координатам его вершин А (—8; 6), В (6; 5), С (1; —3), D(—7; 1). Найдите координаты точки пересечения отрезков АС и BD.

Ответ на задачу



Задача № 1419

Отметьте на координатной плоскости точки М (0; 5), N (8; 1), С (2; 2), D ( —6; —2). Найдите координаты точки пересечения прямых MN и CD. На какой из этих прямых лежит точка К (0; 1)?

Ответ на задание и решение



Задача № 1420

Постройте треугольник АВК по координатам его вершин А ( — 2; —2), В( 1; 5), К (6; —2). Найдите координаты точки пересечения стороны АК с осью ординат.

Ответ на задачку




Продолжение решебника по Математике ...
Фото: 2778013.jpg (28.4 Kb) · 4361753.jpg (18.0 Kb) · 4196604.jpg (17.8 Kb) · 3627202.jpg (18.8 Kb) · 8745278.jpg (16.5 Kb)
 
 
Поиск:

Работай из дома! 18+
 
 
 
 
 
 

 
Последние темы на форуме:
 
  • Новогодние праздники 2021-2022 официальные выходные
  • Показатели давления и сердцебиения у женщины 57 лет
  • Гороскоп на декабрь 2021 Женщина Телец
  • Гороскоп на январь 2022 от Павла Глоба
  • Гороскоп на декабрь 2021 от Павла Глоба
  • Гороскоп на ноябрь 2021 от Павла Глоба
  • Стенограмма судьбы - Содержание серий, актеры и роли сериала
  • Мосгаз. Западня - Содержание серий, актеры и роли 2021
  • Тобол - Содержание серий, актеры и роли сериала. 2021
  • Гороскоп для Тигра на сегодня от Павла Глоба
  • Утраченные воспоминания - Содержание серий, актеры и роли
  • Чёрно-белая любовь - Содержание серий, актеры и роли сериала
  • Забытая женщина - Содержание серий, актеры и роли сериала
  • Тайна спящей дамы - Содержание серий, актеры и роли сериала
  • Сериал Часы с кукушкой - Содержание серий, актеры и роли
  •  
     

     
    Обращаем ваше внимание на то, что данный интернет-сайт www.kinolog.do.am носит исключительно информационный характер и ни при каких условиях не является публичной офертой, определяемой положениями Статьи 437 (2) Гражданского кодекса РФ. Цена и наличие товара может отличаться от действительной. Пожалуйста, уточняйте цены и наличие товара у наших менеджеров.
    Администрация сайта не несет ответственности за действия и содержание размещаемой информации пользователей: комментарии, материалы, сообщения и темы на форуме, публикации, объявления и т.д.
    Правообладателям | Реклама | Учебники | Политика
    Отопление, водоснабжение, газоснабжение, канализация © 2003 - 2021
    Рейтинг@Mail.ru Рейтинг арматурных сайтов. ARMTORG.RU Яндекс.Метрика