[ Новые сообщения · Участники · Правила форума · Поиск · RSS ]
 
Работай из дома! 18+

ГДЗ по Математике. 5 класс
БрошкаДата: Понедельник, 29.12.2014, 15:45 | Сообщение # 301
Генерал-майор
Группа: Проверенные
Сообщений: 378
Награды: 0
Репутация: 0
Статус: Offline


 
Работай из дома! 18+
 
 




Задача № 1501

Найдите среднее арифметическое чисел 84,32; 84,47; 84,56 и 84,68 и округлите его до десятых.

Ответ на задание



Задача № 1502

Участника соревнований по фигурному катанию на коньках получила оценки 5,3; 4,8; 5,4; 5,0; 5,3; 5,4; 5,3; 5,2; 5,1. Найдите среднюю оценку этой участницы.

Ответы на задание



Задача № 1503

Автомобиль двигался 3,2 ч по шоссе со скоростью 90 км/ч, затем 1,5 ч по грунтовой дороге со скоростью 45 км/ч, наконец, 0,3 ч по проселочной дороге со скоростью 30 км/ч. Найдите среднюю скорость движения автомобиля на всем пути.

Ответ на задачу



Задача № 1504

Поезд шел 4 ч со скоростью 70 км/ч и 3 ч со скоростью 84 км/ч. Найдите среднюю скорость поезда на пройденном за это время пути.

Ответ на задание



Задача № 1505

Среднее арифметическое двух чисел равно 3,1. Одно число равно 3,8- Найдите второе число.

Ответ на задачку

Фото: 8747317.jpg (18.9 Kb) · 8717878.jpg (21.1 Kb) · 7309540.jpg (22.8 Kb) · 9383850.jpg (18.6 Kb) · 8425262.jpg (23.0 Kb)
 
 
БрошкаДата: Понедельник, 29.12.2014, 15:50 | Сообщение # 302
Генерал-майор
Группа: Проверенные
Сообщений: 378
Награды: 0
Репутация: 0
Статус: Offline


 
Работай из дома! 18+
 
 


Задача № 1506

Среднее арифметическое шести чисел равно 3,5, а среднее арифметическое четырех других чисел — 2,25. Найдите среднее арифметическое этих десяти чисел

Ответ на задание



Задача № 1507

На первом участке пути поезд шел 2 ч со скоростью 60 км/ч, а на втором он шел 3 ч. С какой скоростью шел поезд на втором участке, если его средняя скорость на двух участках была равна 51 км/ч?

Ответы на задание



Задача № 1508

Скорость катера по течению 18,6 км/ч, а против течения 14,2 км/ч. Найдите собственную скорость катера и скорость течения.

Ответ на задачу



Задача № 1509

Одно число больше другого в 1,5 раза, среднее арифметическое этих двух чисел равно 30. Найдите эти числа.

Ответ на задание



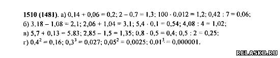
Задача № 1510

Вычислите устно:

Ответ на задачку

Фото: 5446221.jpg (18.7 Kb) · 0615940.jpg (27.8 Kb) · 6847951.jpg (33.2 Kb) · 8786130.jpg (30.6 Kb) · 9997206.jpg (31.1 Kb)
 
 
БрошкаДата: Понедельник, 29.12.2014, 15:54 | Сообщение # 303
Генерал-майор
Группа: Проверенные
Сообщений: 378
Награды: 0
Репутация: 0
Статус: Offline


 
Работай из дома! 18+
 
 


Задача № 1511

Выполните действие:

Ответ на задание



Задача № 1512

В летний лагерь детей отправляли на 6 одинаковых автобусах. В автобусах оказалось 29, 41, 28, 22, 27 и 33 человека. Можно ли было отъезжающих разместить в автобусах поровну?

Ответы на задание



Задача № 1513

Вы знаете, что Поэтому умножить число на 0,5 означает найти половину числа, умножить на 0,125 означает найти восьмую часть числа и т. д. Подумайте, как проще найти значение выражения: а) 400-0,1; в) 84 • 0,25; д) 68 • 0,5. б) 20 • 0,2; г) 16 • 0,125; Запомните эту таблицу.

Ответ на задачу



Задача № 1514

Может ли произведение двух чисел оказаться меньше одного из множителей? Меньше обоих множителей? Может ли частное оказаться больше делимого? Приведите примеры.

Ответ на задание



Задача № 1515

Мальчик решил определить длину моста через реку. Он заметил, что расстояние между двумя столбиками, на которых крепятся перила, равно двум шагам, а столбиков всего 30. Какова длина моста, если один шаг мальчика 0,4 м?

Ответ на задачку

Фото: 6163027.jpg (27.0 Kb) · 2449437.jpg (26.0 Kb) · 7882502.jpg (23.0 Kb) · 6255165.jpg (32.9 Kb) · 0847996.jpg (22.8 Kb)
 
 
БрошкаДата: Понедельник, 29.12.2014, 15:57 | Сообщение # 304
Генерал-майор
Группа: Проверенные
Сообщений: 378
Награды: 0
Репутация: 0
Статус: Offline


 
Работай из дома! 18+
 
 


Задача № 1516

Выполните деление:

а) 0,432 : 0,24; в) 1,872 : 2,34; д) 41,48 : 34; б) 0,8625 : 0,375; г) 0,481 : 0,037; е) 127,2 : 159.

Ответ на задание



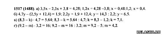
Задача № 1517

Решите уравнение:

а) 3,5* - 2,3* + 3,8 = 4,28; в) (8,3 - k) • 4,7 = 5,64; б) Л,7у - (2,5у + 12,4) = 1,9; г) (9,2 - т) • 3,2 = 16.

Ответы на задание



Задача № 1518

Школьная географическая площадка занимает 36 м2. Это составляет 0,1 всего пришкольного участка. Найдите площадь пришкольного участка.

Ответ на задачу



Задача № 1519

В 12 ч скорый поезд догнал пассажирский, а в 18 ч был уже впереди его на 120 км. Какое расстояние между поездами было в 10 ч, если скорость - пассажирского поезда 70 км/ч? Какое данное в условии задачи лишнее?

Ответ на задание



Задача № 1520

Длина стороны основания пирамиды Хеопса 230 м. Туристы, осматривая пирамиду, идут со скоростью 0,32 м/с. Успеют ли туристы за час обойти ? вокруг пирамиды?

Ответ на задачку

Фото: 4827929.jpg (25.0 Kb) · 5607146.jpg (31.1 Kb) · 8121567.jpg (18.5 Kb) · 6801011.jpg (31.3 Kb) · 8247175.jpg (23.4 Kb)
 
 
БрошкаДата: Понедельник, 29.12.2014, 16:01 | Сообщение # 305
Генерал-майор
Группа: Проверенные
Сообщений: 378
Награды: 0
Репутация: 0
Статус: Offline


 
Работай из дома! 18+
 
 


Задача № 1521

Заполните таблицу

Ответ на задание



Задача № 1522

Выполните действие:

Ответы на задание



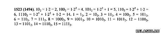
Задача № 1523

В двоичной системе счисления при записи числа используют всего две цифры: 0 и 1. Число «один» записывается, как обычно, 1, но число «два» составляет уже единицу второго разряда и поэтому записывается так: 102 «одна двойка и нуль единиц» (цифра 2, находящаяся внизу в конце записи числа, означает, что число записано в двоичной системе). Число «три» изображается: 112 «одна двойка и одна единица». Число «четыре» представляет собой единицу следующего, третьего разряда и поэтому записывается так: 1002 «одна четверка, нуль двоек и нуль единиц». Таким образом, если в записи числа цифру 1 передвинуть влево на один разряд, то ее значение увеличивается вдвое (а не в десять раз, как в нашей десятичной системе). Сравните представление числа, запись которого состоит из четырех цифр 1, в виде суммы разрядных единиц в десятичной и двоичной системах: 1111 = 1 • 1000 + 1 • 100 + 1 • 10 + 1 = 1 • 103 + 1 • 102 + 1 • 10 + 1; 11112 = 1 • 8 + 1• 4 + 1• 2 + 1 = 1• 23+1• 22 + 1• 2 + 1 = 15. Попробуйте записать в десятичной системе счисления числа, которые в двоичной системе пишутся так: 102; 1002; 1012; 1102; 11102. Запишите в двоичной системе все натуральные числа от 1 до 15 включительно. Подумайте, почему двоичная система широко используется в вычислительной технике, но она неудобна в повседневной практике.

Ответ на задачу



Задача № 1524

Найдите среднее арифметическое чисел: а) 32,15; 31,28; 29,16; 34,54 и округлите ответ до сотых; б) 3,234; 3,452; 4,185; 2,892 и округлите ответ до тысячных.

Ответ на задание



Задача № 1525

Измерьте длину десяти своих шагов и найдите среднюю длину шага.

Ответ на задачку

$IMAGE5$
Фото: 5507055.jpg (39.6 Kb) · 0177116.jpg (19.0 Kb) · 8206089.jpg (28.6 Kb) · 9031327.jpg (23.3 Kb)
 
 
БрошкаДата: Понедельник, 29.12.2014, 16:04 | Сообщение # 306
Генерал-майор
Группа: Проверенные
Сообщений: 378
Награды: 0
Репутация: 0
Статус: Offline


 
Работай из дома! 18+
 
 


Задача № 1526

Автомашина шла 3 ч со скоростью 53,5 км/ч, 2 ч со скоростью 62,3 км/ч и 4 ч со скоростью 48,2 км/ч. Найдите среднюю скорость движения автомашины на всем пути.

Ответ на задание



Задача № 1527

Турист шел 3,8 ч со скоростью 1,2 м/с, а затем 2,2 ч со скоростью 0,9 м/с. Какова средняя скорость движения туриста на всем пути?

"откуда 3600?" В одном часе 60 минут, а в одной минуте 60 секунд, тогда в одном часе 60*60= 3600 секунд. Турист шел несколько часов, а скорость с которой он шел дана в "метрах в секунду".

Ответы на задание



Задача № 1528

Среднее арифметическое двух чисел 4,6. Одно число 5,4. Найдите другое число.

Ответ на задачу



Задача № 1529

Среднее арифметическое двух чисел 4,4. Найдите эти числа, если одно из них на 1,4 больше другого.

Ответ на задание



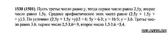
Задача № 1530

Среднее арифметическое трех чисел 6. Найдите эти числа, если первое число в 2,5 раза больше, а второе в 1,5 раза больше третьего.

Ответ на задачку

Фото: 8809379.jpg (22.8 Kb) · 7200238.jpg (23.2 Kb) · 0305218.jpg (20.8 Kb) · 5432775.jpg (30.5 Kb) · 5738765.jpg (33.2 Kb)
 
 
БрошкаДата: Понедельник, 29.12.2014, 16:13 | Сообщение # 307
Генерал-майор
Группа: Проверенные
Сообщений: 378
Награды: 0
Репутация: 0
Статус: Offline


 
Работай из дома! 18+
 
 


Задача № 1531

За 7 ч тракторист вспахал 4,9 га. С какой скоростью двигался трактор, если ширина полосы, вспахиваемая плугами, равна 1,75 м?

Ответ на задание



Задача № 1532

Для приготовления салата из зеленого лука берут 150 г зеленого лука и 30 г сметаны. Сколько сметаны потребуется повару, чтобы приготовить салат из 27 кг зеленого лука?

Ответы на задание



Задача № 1533


Каждый год растительный мир дает 117 млрд т прироста массы. Каждые 3 т этой массы дают столько же энергии, сколько 1 т нефти. Сколько тонн нефти может заменить прирост массы растений за 4 года?

Ответ на задачу



Задача № 1534

Найдите значение выражения:

а) 3,4* + 5,7* + 6,6* - 4,7* при * = 3,6; 0,8; 10;
б) 3,8т - (2,8т + 0,7т) при т = 2,4; 8,57;
в) 16,75у - (4,75i/ + 10,8) при у = 0,9; 3,01.

Ответ на задание



Задача № 1535

1535. Выполните действия:

а) 42,165 - 22,165 : (0,61 + 3,42);
б) 243,08 + 256,32 : (28 - 25,5)

Ответ на задачку

Фото: 2106553.jpg (24.9 Kb) · 7654673.jpg (22.2 Kb) · 8584877.jpg (22.4 Kb) · 9078647.jpg (45.5 Kb) · 5661028.jpg (26.2 Kb)
 
 
БрошкаДата: Понедельник, 29.12.2014, 16:16 | Сообщение # 308
Генерал-майор
Группа: Проверенные
Сообщений: 378
Награды: 0
Репутация: 0
Статус: Offline


 
Работай из дома! 18+
 
 


Задача № 1536

Прочитайте показание на индикаторе

Ответ на задание



Задача № 1537

Введите в микрокалькулятор числа: После введения каждого числа не забывайте сбрасывать предыдущее число.

Ответы на задание

$IMAGE2$

Задача № 1538

Выполните с помощью микрокалькулятора действия:

Ответ на задачу



Задача № 1539

Выполните письменно, а потом проверьте ответ с помощью микрокалькулятора:

Ответ на задание



Задача № 1540

С помощью микрокалькулятора найдите значение выражения:

Ответ на задачку

Фото: 0636894.jpg (20.7 Kb) · 7888964.jpg (46.3 Kb) · 5409789.jpg (21.5 Kb) · 5353543.jpg (44.3 Kb)
 
 
БрошкаДата: Понедельник, 29.12.2014, 16:19 | Сообщение # 309
Генерал-майор
Группа: Проверенные
Сообщений: 378
Награды: 0
Репутация: 0
Статус: Offline


 
Работай из дома! 18+
 
 


Задача № 1541

Выполните:

Ответ на задание



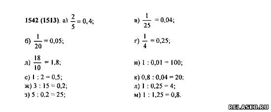
Задача № 1542

Выполните:

Ответы на задание



Задача № 1543

Выполните:

Ответ на задачу



Задача № 1544

Каким одним действием можно:

а) уменьшить число в 10 раз; в 100 раз?
б) увеличить число е 100 раз; в 1000 раз?
Приведите примеры

Ответ на задание



Задача № 1545

На первом участке пути автомобиль двигался 3 ч со скоростью 40 км/ч, а на втором — 1 ч со скоростью 60 км/ч. Какова средняя скорость автомобиля на всем пути?

Ответ на задачку

Фото: 1125905.jpg (24.1 Kb) · 9085080.jpg (29.5 Kb) · 4327643.jpg (19.1 Kb) · 9750541.jpg (27.3 Kb) · 2257337.jpg (22.2 Kb)
 
 
БрошкаДата: Понедельник, 29.12.2014, 16:23 | Сообщение # 310
Генерал-майор
Группа: Проверенные
Сообщений: 378
Награды: 0
Репутация: 0
Статус: Offline


 
Работай из дома! 18+
 
 


Задача № 1546

1546. Составьте задачу по числовому выражению: а) (2,6 + 2,8) : 2; б) (3,8 + 3,7 + 3,6) : 3.

Ответ на задание

$IMAGE1$

Задача № 1547

Найдите четвертое число в последовательности:

а) 2; 4; 16;?; в) 6; 3; 1,5;?; б) 3; 9; 81; ?; г) 0,1; 0,5; 2,5; ?.

Ответы на задание



Задача № 1548

Найдите среднее арифметическое чисел:

а) 81,242; 65,312; 412,54; 94,376; б) 71,3; 25,7; 39,8; 12,9; 56,4.

Ответ на задачу



Задача № 1549

Теплоход прошел 70 км по реке за 2 ч и 90 км по озеру за 3 ч. С какой средней скоростью прошел теплоход весь путь?

Ответ на задание



Задача № 1550

Овощевод-опытник снял с одного куста помидоров 12 плодов по 250 г, 10 плодов по 330 г и 8 плодов по 210 г. Найдите среднюю массу одного помидора.

Ответ на задачку

Фото: 9425630.jpg (33.6 Kb) · 4201974.jpg (22.6 Kb) · 3788389.jpg (20.3 Kb) · 0263406.jpg (22.5 Kb)
 
 
БрошкаДата: Понедельник, 29.12.2014, 16:29 | Сообщение # 311
Генерал-майор
Группа: Проверенные
Сообщений: 378
Награды: 0
Репутация: 0
Статус: Offline


 
Работай из дома! 18+
 
 


Задача № 1551

Среднее арифметическое четырех чисел 6,7. Первое равно 2, второе в 1,2 раза больше первого, а третье меньше четвертого в 1,5 раза. Найдите третье и четвертое числа.

Ответ на задание



Задача № 1552

Пассажирский поезд прошел путь от одной станции до другой со средней скоростью 67 км/ч. Вначале он шел 4 ч со скоростью 59,5 км/ч, а затем увеличил скорость и прибыл на вторую станцию через 3 ч. Найдите скорость поезда на втором участке пути.

Ответы на задание



Задача № 1553

Сережа стал на велосипеде догонять Наташу, идущую пешком, когда между ними было 600 м, и догнал ее через 4 мин. Найдите скорость, с которой шла Наташа, если ее скорость в 4 раза меньше скорости Сережи.

Ответ на задачу



Задача № 1554

С двух грядок, общая площадь которых 40,5 м2, получили 137,7 кг моркови. Сколько килограммов моркови собрали с каждой грядки, если площадь одной из них на 4,5 м2 меньше, чем площадь другой, а урожайность одинакова?

Ответ на задание



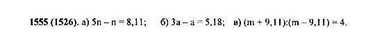
Задача № 1555

Запишите в виде равенства предложение: а) 5n на 8,11 больше n б) утроенное а на 5,18 больше а; в) разность m и 9,11 в 4 раза меньше их суммы.

Ответ на задачку

Фото: 8282229.jpg (32.5 Kb) · 7644386.jpg (28.9 Kb) · 1295458.jpg (28.6 Kb) · 0813737.jpg (41.9 Kb) · 7650432.jpg (18.7 Kb)
 
 
БрошкаДата: Понедельник, 29.12.2014, 16:32 | Сообщение # 312
Генерал-майор
Группа: Проверенные
Сообщений: 378
Награды: 0
Репутация: 0
Статус: Offline


 
Работай из дома! 18+
 
 


Задача № 1556

С помощью микрокалькулятора вычислите значение выражения:

Ответ на задание



Задача № 1557

Найдите с помощью микрокалькулятора объем прямоугольного параллелепипеда по формуле V = abc, если а = 2,81 дм; b = 1,76 дм; с = 4,9 дм; ответ округлите до сотых.

Ответы на задание



Задача № 1558

Два поезда одновременно вышли навстречу друг другу из двух городов, расстояние между которыми 495 км. Через 3 ч они встретились. Какова скорость каждого поезда, если известно, что скорость одного из них на 5 км/ч больше скорости другого?

Ответ на задачу



Задача № 1559

Два велосипедиста одновременно выехали навстречу друг другу из двух поселков, расстояние между которыми 76 км. Через 2 ч они встретились. Какова скорость каждого велосипедиста, если известно, что скорость одного из них в 1,5 раза больше скорости другого?

Ответ на задание



Задача № 1560

Выполните действия и проверьте ответ с помощью микрокалькулятора:

Ответ на задачку

Фото: 8047180.jpg (29.5 Kb) · 2162410.jpg (28.3 Kb) · 4645349.jpg (38.5 Kb) · 6845990.jpg (38.3 Kb) · 5518767.jpg (21.1 Kb)
 
 
БрошкаДата: Понедельник, 29.12.2014, 16:36 | Сообщение # 313
Генерал-майор
Группа: Проверенные
Сообщений: 378
Награды: 0
Репутация: 0
Статус: Offline


 
Работай из дома! 18+
 
 


Задача № 1561

Запишите в виде десятичной дроби: 1%; 6%; 45%; 123%; 2,5%; 0,4%.

Ответ на задание



Задача № 1562

Запишите в процентах десятичные дроби: 0,87; 0,07; 1,45; 0,035; 2,672; 0,907.

Ответы на задание



Задача № 1563

Запишите обыкновенные дроби в виде десятичных, а потом в виде процентов.

Ответ на задачу



Задача № 1564

Заполните таблицу

Ответ на задание



Задача № 1565

В школьной библиотеке 7000 книг. Маша прочитала одну сотую всех этих книг. Сколько библиотечных книг прочитала Маша? Сережа прочитал 1% всех книг школьной библиотеки. Сравните число библиотечных книг, прочитанных Машей и Сережей.

Ответ на задачку

Фото: 5582359.jpg (23.0 Kb) · 4287720.jpg (24.9 Kb) · 0146908.jpg (25.5 Kb) · 2766780.jpg (32.2 Kb) · 9266725.jpg (22.5 Kb)
 
 
БрошкаДата: Понедельник, 29.12.2014, 16:40 | Сообщение # 314
Генерал-майор
Группа: Проверенные
Сообщений: 378
Награды: 0
Репутация: 0
Статус: Offline


 
Работай из дома! 18+
 
 


Задача № 1566

В палатку завезли 850 кг огурцов. Первый покупатель взял для соления 1% всех огурцов, а второй — 3% всех огурцов. Сколько килограммов огурцов купил каждый из них?

Ответ на задание



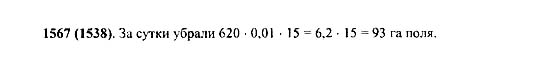
Задача № 1567

На поле, площадь которого 620 га, работали хлопкоуборочные машины. За сутки они убрали 15% всего поля. Сколько гектаров хлопка убрали за сутки?

Ответы на задание



Задача № 1568

Бригаде поручили отремонтировать участок дороги длиной 760 м. Сколько метров дороги бригада отремонтирует, когда выполнит: 30% задания; 50% задания; 10% задания?

Ответ на задачу



Задача № 1569

Предприятие изготовило за квартал 500 насосов, из которых 60% имели высшую категорию качества. Сколько насосов высшей категории качества изготовило предприятие?

Ответ на задание



Задача № 1570

В плодовом саду собирали яблоки. За день было собрано 4840 кг. 25% собранных яблок отправили в магазин, а остальные — на склад. Сколько килограммов яблок отправили на склад?

Ответ на задачку

Фото: 0926812.jpg (21.2 Kb) · 2117377.jpg (18.1 Kb) · 9788850.jpg (28.4 Kb) · 8332051.jpg (20.8 Kb) · 3438458.jpg (23.0 Kb)
 
 
БрошкаДата: Понедельник, 29.12.2014, 16:43 | Сообщение # 315
Генерал-майор
Группа: Проверенные
Сообщений: 378
Награды: 0
Репутация: 0
Статус: Offline


 
Работай из дома! 18+
 
 


Задача № 1571

Себестоимость изготовления одной детали равна 650 р. Внедрение новой технологии позволило снизить себестоимость детали на 2%. Какова стала себестоимость такой детали?

Ответ на задание



Задача № 1572

Поле на рисунке 158 разбито на 100 долей. Закрашенная на рисунке часть засеяна горохом. Найдите площадь всего поля, если горохом засеяно 24,8 га.

Ответы на задание



Задача № 1573

Сколько человек было в кино, если 1% всех зрителей составляет 7 человек?

Ответ на задачу



Задача № 1574

Мотоциклист за день проехал некоторое расстояние. 1% пути он ехал по проселочной дороге, что составило 3,2 км. Какое расстояние проехал мотоциклист за день?

Ответ на задание



Задача № 1575

Двор разбит на 100 равных частей. Часть площади двора, закрашенная на рисунке 159, отведена под стоянку машин. Найдите площадь двора, если стоянка занимает 146,4 м2

Ответ на задачку



Продолжение решебника по Математике для 5-го класса

Фото: 9461798.jpg (23.3 Kb) · 6956815.jpg (22.7 Kb) · 9371398.jpg (17.6 Kb) · 6011164.jpg (18.1 Kb) · 1610929.jpg (23.2 Kb)
 
 
Поиск:

Работай из дома! 18+
 
 
 
 
 
 

 
Последние темы на форуме:
 
  • Новогодние праздники 2021-2022 официальные выходные
  • Показатели давления и сердцебиения у женщины 57 лет
  • Гороскоп на декабрь 2021 Женщина Телец
  • Гороскоп на январь 2022 от Павла Глоба
  • Гороскоп на декабрь 2021 от Павла Глоба
  • Гороскоп на ноябрь 2021 от Павла Глоба
  • Стенограмма судьбы - Содержание серий, актеры и роли сериала
  • Мосгаз. Западня - Содержание серий, актеры и роли 2021
  • Тобол - Содержание серий, актеры и роли сериала. 2021
  • Гороскоп для Тигра на сегодня от Павла Глоба
  • Утраченные воспоминания - Содержание серий, актеры и роли
  • Чёрно-белая любовь - Содержание серий, актеры и роли сериала
  • Забытая женщина - Содержание серий, актеры и роли сериала
  • Тайна спящей дамы - Содержание серий, актеры и роли сериала
  • Сериал Часы с кукушкой - Содержание серий, актеры и роли
  •  
     

     
    Обращаем ваше внимание на то, что данный интернет-сайт www.kinolog.do.am носит исключительно информационный характер и ни при каких условиях не является публичной офертой, определяемой положениями Статьи 437 (2) Гражданского кодекса РФ. Цена и наличие товара может отличаться от действительной. Пожалуйста, уточняйте цены и наличие товара у наших менеджеров.
    Администрация сайта не несет ответственности за действия и содержание размещаемой информации пользователей: комментарии, материалы, сообщения и темы на форуме, публикации, объявления и т.д.
    Правообладателям | Реклама | Учебники | Политика
    Отопление, водоснабжение, газоснабжение, канализация © 2003 - 2021
    Рейтинг@Mail.ru Рейтинг арматурных сайтов. ARMTORG.RU Яндекс.Метрика