[ Новые сообщения · Участники · Правила форума · Поиск · RSS ]
 
Работай из дома! 18+

  • Страница 1 из 4
  • 1
  • 2
  • 3
  • 4
  • »
ГДЗ по Физике. Кинематика
юлокДата: Вторник, 07.04.2015, 12:40 | Сообщение # 1
Лейтенант
Группа: Проверенные
Сообщений: 69
Награды: 0
Репутация: 0
Статус: Offline


 
Работай из дома! 18+
 
 


Задачи по Физике с решениями и ответами.

Готовые домашние задания по учебнику Физика. Автор: И. Е. Иродов

Тема задачника: Кинематика



Выберите задание из учебника:

1.1 1.2 1.3 1.4 1.5 1.6 1.7 1.8 1.9 1.10

1.11 1.12 1.14 1.15 1.16 1.17 1.19 1.20

1.21 1.22 1.23 1.24 1.25 1.26 1.27 1.29

1.31 1.32 1.33 1.34 1.35 1.36 1.37 1.38 1.39 1.40

1.41 1.42 1.43 1.44 1.45 1.46 1.47 1.48 1.49 1.50

1.51 1.52 1.53 1.54 1.55 1.56 1.57 1.58
Фото: 5472135.jpg (18.8 Kb) · 4096224.gif (52.6 Kb)


 
 
юлокДата: Вторник, 07.04.2015, 12:42 | Сообщение # 2
Лейтенант
Группа: Проверенные
Сообщений: 69
Награды: 0
Репутация: 0
Статус: Offline


 
Работай из дома! 18+
 
 


Задача № 1.1

 Условие задачи:

Катер, двигаясь вниз по реке, обогнал плот в пункте А. Через τ = 60 мин после этого он повернул обратно и затем встретил плот на расстоянии l = 6,0 км ниже пункта А. Найти скорость течения, если при движении в обоих направлениях мотор катера работал одинаково.
  
 Ответ:


Фото: 7344080.gif (52.6 Kb)


 
 
юлокДата: Вторник, 07.04.2015, 12:43 | Сообщение # 3
Лейтенант
Группа: Проверенные
Сообщений: 69
Награды: 0
Репутация: 0
Статус: Offline


 
Работай из дома! 18+
 
 


Задача № 1.2

 Условие задачи:

Точка прошла половину пути со скоростью v0. Оставшуюся часть пути она половину времени двигалась со скоростью v1, а последний участок — со скоростью v2. Найти среднюю за все время движения скорость точки

  
 Ответ:

Фото: 9976126.jpg (29.4 Kb)


 
 
юлокДата: Вторник, 07.04.2015, 12:49 | Сообщение # 4
Лейтенант
Группа: Проверенные
Сообщений: 69
Награды: 0
Репутация: 0
Статус: Offline


 
Работай из дома! 18+
 
 


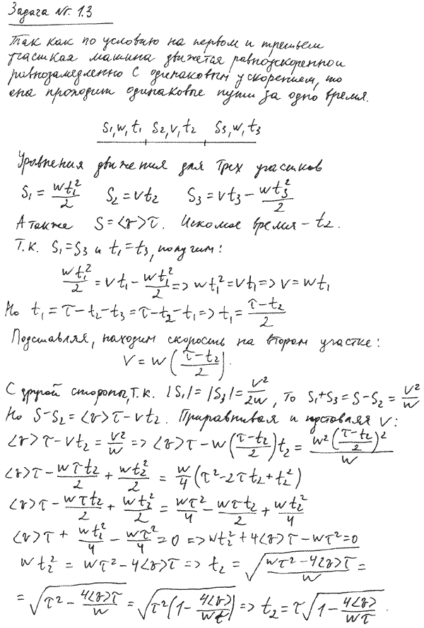
Задача № 1.3

 Условие задачи:

Автомашина движется с нулевой начальной скоростью по прямому пути сначала с ускорением w = 5,0 м/с2, затем равномерно и, наконец, замедляясь с тем же ускорением w, останавливается. Все время движения τ = 25 с. Средняя скорость за это время <v> = 72 км/ч. Сколько времени автомашина двигалась равномерно?
  
 Решение задачи и правильный ответ:

Фото: 2760419.gif (26.7 Kb)


 
 
юлокДата: Вторник, 07.04.2015, 12:51 | Сообщение # 5
Лейтенант
Группа: Проверенные
Сообщений: 69
Награды: 0
Репутация: 0
Статус: Offline


 
Работай из дома! 18+
 
 


Задача № 1.4

 Условие задачи:

Точка движется по прямой в одну сторону. На рис. 1.1 показан график пройденного ею пути s в зависимости от времени t. Найти с помощью этого графика:

а) среднюю скорость точки за время движения;
б) максимальную скорость;
в) момент времени t0, в который мгновенная скорость равна средней скорости за первые t0 секунд;
г) среднее ускорение за первые 10 и 16 с.
  
 Решение задачи и правильный ответ:

Фото: 4678405.jpg (64.5 Kb)
 
 
юлокДата: Вторник, 07.04.2015, 12:52 | Сообщение # 6
Лейтенант
Группа: Проверенные
Сообщений: 69
Награды: 0
Репутация: 0
Статус: Offline


 
Работай из дома! 18+
 
 


Задача № 1.5

 Условие задачи:

Две частицы, 1 и 2, движутся с постоянными скоростями v1 и v2. Их радиус-векторы в начальный момент равны r1 и r2. При каком соотношении между этими четырьмя векторами частицы испытают столкновение друг с другом?
  
 Решение задачи и правильный ответ:

Фото: 7933655.gif (1.7 Kb)
 
 
юлокДата: Вторник, 07.04.2015, 12:52 | Сообщение # 7
Лейтенант
Группа: Проверенные
Сообщений: 69
Награды: 0
Репутация: 0
Статус: Offline


 
Работай из дома! 18+
 
 


Задача № 1.6

 Условие задачи:

Корабль движется по экватору на восток со скоростью v0 = 30 км/ч. С юго-востока под углом φ = 60° к экватору дует ветер со скоростью v = 15 км/ч. Найти скорость v' ветра относительно корабля и угол φ' между экватором и направлением ветра в системе отсчета, связанной с кораблем.

 Решение задачи и правильный ответ:

Фото: 9564097.gif (22.0 Kb)
 
 
юлокДата: Вторник, 07.04.2015, 12:53 | Сообщение # 8
Лейтенант
Группа: Проверенные
Сообщений: 69
Награды: 0
Репутация: 0
Статус: Offline


 
Работай из дома! 18+
 
 


Задача № 1.7

 Условие задачи:

Два пловца должны попасть из точки А на одном берегу реки в прямо противоположную точку В на другом берегу. Для этого один из них решил переплыть реку по прямой АВ, другой же — все время держать курс перпендикулярно к течению, а расстояние, на которое его снесет, пройти пешком по берегу со скоростью u.

При каком значении u оба пловца достигнут точки В за одинаковое время, если скорость течения v0 = 2,0 км/ч и скорость каждого пловца относительно воды v' = 2,5 км/ч?

 Решение задачи и правильный ответ:

Фото: 8845884.gif (31.5 Kb)
 
 
юлокДата: Вторник, 07.04.2015, 12:54 | Сообщение # 9
Лейтенант
Группа: Проверенные
Сообщений: 69
Награды: 0
Репутация: 0
Статус: Offline


 
Работай из дома! 18+
 
 


Задача № 1.8

 Условие задачи:

От бакена, который находится на середине широкой реки, отошли две лодки, А и В. Обе лодки стали двигаться по взаимно перпендикулярным прямым: лодка А — вдоль реки, а лодка В — поперек. Удалившись на одинаковое расстояние от бакена, лодки вернулись затем обратно.

Найти отношение времен движения лодок τА/τB, если скорость каждой лодки относительно воды в η = 1,2 раза больше скорости течения.

 Решение задачи и правильный ответ:

Фото: 5185758.gif (70.5 Kb)
 
 
юлокДата: Вторник, 07.04.2015, 12:55 | Сообщение # 10
Лейтенант
Группа: Проверенные
Сообщений: 69
Награды: 0
Репутация: 0
Статус: Offline


 
Работай из дома! 18+
 
 


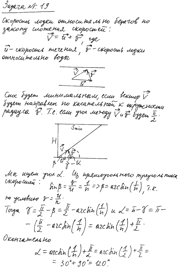
Задача № 1.9

 Условие задачи:

Лодка движется относительно воды со скоростью, в n = 2,0 раза меньшей скорости течения реки.

Под каким углом к направлению течения лодка должна держать курс, чтобы ее снесло течением как можно меньше?

 Решение задачи и правильный ответ:

Фото: 0105521.gif (22.8 Kb)
 
 
юлокДата: Вторник, 07.04.2015, 12:55 | Сообщение # 11
Лейтенант
Группа: Проверенные
Сообщений: 69
Награды: 0
Репутация: 0
Статус: Offline


 
Работай из дома! 18+
 
 


Задача № 1.10

 Условие задачи:

Два тела бросили одновременно из одной точки: одно — вертикально вверх, другое — под углом ϑ = 60° к горизонту. Начальная скорость каждого тела v0 = 25 м/с.

Пренебрегая сопротивлением воздуха, найти расстояние между телами через t = 1,70 с.

 Решение задачи и правильный ответ:

Фото: 8133920.gif (32.4 Kb)
 
 
юлокДата: Вторник, 07.04.2015, 12:56 | Сообщение # 12
Лейтенант
Группа: Проверенные
Сообщений: 69
Награды: 0
Репутация: 0
Статус: Offline


 
Работай из дома! 18+
 
 


Задача № 1.11

 Условие задачи:

Две частицы движутся с ускорением g в однородном поле тяжести.

В начальный момент частицы находились в одной точке и имели скорости v1 = 3,0 м/с и v2 = 4,0 м/с, направленные горизонтально и в противоположные стороны.

Найти расстояние между частицами в момент, когда векторы их скоростей окажутся взаимно перпендикулярными.

 Решение задачи и правильный ответ:

Фото: 9388976.gif (73.9 Kb)
 
 
юлокДата: Вторник, 07.04.2015, 12:57 | Сообщение # 13
Лейтенант
Группа: Проверенные
Сообщений: 69
Награды: 0
Репутация: 0
Статус: Offline


 
Работай из дома! 18+
 
 


Задача № 1.12

 Условие задачи:

Три точки находятся в вершинах равностороннего треугольника со стороной а. Они начинают одновременно двигаться с постоянной по модулю скоростью v, причем первая точка все время держит курс на вторую, вторая — на третью, третья — на первую.

Через сколько времени точки встретятся?

 Решение задачи и правильный ответ:

Фото: 0737053.gif (4.6 Kb)
 
 
юлокДата: Вторник, 07.04.2015, 12:58 | Сообщение # 14
Лейтенант
Группа: Проверенные
Сообщений: 69
Награды: 0
Репутация: 0
Статус: Offline


 
Работай из дома! 18+
 
 


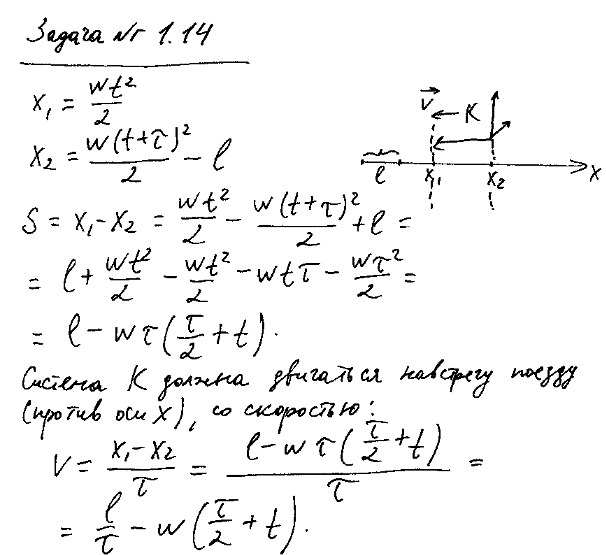
Задача № 1.14

 Условие задачи:

Поезд длины l = 350 м начинает двигаться по прямому пути с постоянным ускорением w = 3,0*10-2 м/с2. Через t = 30 с после начала движения был включен прожектор локомотива (событие 1), а через τ = 60 с после этого — сигнальная лампа в хвосте поезда (событие 2). Найти расстояние между этими событиями в системах отсчета, связанных с поездом и Землей.

Как и с какой постоянной скоростью V относительно Земли должна перемещаться некоторая K-система отсчета, чтобы оба события произошли в ней в одной точке?

 Решение задачи и правильный ответ:

Фото: 0771448.gif (20.4 Kb)
 
 
юлокДата: Вторник, 07.04.2015, 12:59 | Сообщение # 15
Лейтенант
Группа: Проверенные
Сообщений: 69
Награды: 0
Репутация: 0
Статус: Offline


 
Работай из дома! 18+
 
 


Задача № 1.15

 Условие задачи:

Кабина лифта, у которой расстояние от пола до потолка равно 2,7 м, начала подниматься с постоянным ускорением 1,2 м/с2. Через 2,0 с после начала подъема с потолка кабины стал падать болт. Найти:

а) время свободного падения болта;

б) перемещение и путь болта за время свободного падения в системе отсчета, связанной с шахтой лифта.

 Решение задачи и правильный ответ:




Продолжение решебника по Физике

Фото: 7242108.gif (93.7 Kb)


 
 
  • Страница 1 из 4
  • 1
  • 2
  • 3
  • 4
  • »
Поиск:

Работай из дома! 18+
 
 
 
 
 
 

 
Последние темы на форуме:
 
  • Новогодние праздники 2021-2022 официальные выходные
  • Показатели давления и сердцебиения у женщины 57 лет
  • Гороскоп на декабрь 2021 Женщина Телец
  • Гороскоп на январь 2022 от Павла Глоба
  • Гороскоп на декабрь 2021 от Павла Глоба
  • Гороскоп на ноябрь 2021 от Павла Глоба
  • Стенограмма судьбы - Содержание серий, актеры и роли сериала
  • Мосгаз. Западня - Содержание серий, актеры и роли 2021
  • Тобол - Содержание серий, актеры и роли сериала. 2021
  • Гороскоп для Тигра на сегодня от Павла Глоба
  • Утраченные воспоминания - Содержание серий, актеры и роли
  • Чёрно-белая любовь - Содержание серий, актеры и роли сериала
  • Забытая женщина - Содержание серий, актеры и роли сериала
  • Тайна спящей дамы - Содержание серий, актеры и роли сериала
  • Сериал Часы с кукушкой - Содержание серий, актеры и роли
  •  
     

     
    Обращаем ваше внимание на то, что данный интернет-сайт www.kinolog.do.am носит исключительно информационный характер и ни при каких условиях не является публичной офертой, определяемой положениями Статьи 437 (2) Гражданского кодекса РФ. Цена и наличие товара может отличаться от действительной. Пожалуйста, уточняйте цены и наличие товара у наших менеджеров.
    Администрация сайта не несет ответственности за действия и содержание размещаемой информации пользователей: комментарии, материалы, сообщения и темы на форуме, публикации, объявления и т.д.
    Правообладателям | Реклама | Учебники | Политика
    Отопление, водоснабжение, газоснабжение, канализация © 2003 - 2021
    Рейтинг@Mail.ru Рейтинг арматурных сайтов. ARMTORG.RU Яндекс.Метрика