[ Новые сообщения · Участники · Правила форума · Поиск · RSS ]
 
Работай из дома! 18+

  • Страница 4 из 4
  • «
  • 1
  • 2
  • 3
  • 4
ГДЗ по Физике. Кинематика
юлокДата: Вторник, 07.04.2015, 13:33 | Сообщение # 46
Лейтенант
Группа: Проверенные
Сообщений: 69
Награды: 0
Репутация: 0
Статус: Offline


 
Работай из дома! 18+
 
 




Выберите задание из учебника:

1.1 1.2 1.3 1.4 1.5 1.6 1.7 1.8 1.9 1.10

1.11 1.12 1.14 1.15 1.16 1.17 1.19 1.20

1.21 1.22 1.23 1.24 1.25 1.26 1.27 1.29

1.31 1.32 1.33 1.34 1.35 1.36 1.37 1.38 1.39 1.40

1.41 1.42 1.43 1.44 1.45 1.46 1.47 1.48 1.49 1.50

1.51 1.52 1.53 1.54 1.55 1.56 1.57 1.58


-------------------------------------------------

Задача № 1.49

 Условие задачи:

Твердое тело вращается вокруг неподвижной оси так, что его угловая скорость зависит от угла поворота φ по закону ω = ω0 - аφ, где ω0 и а — положительные постоянные. В момент времени t = 0 угол φ = 0. Найти зависимости от времени:

а) угла поворота;

б) угловой скорости.

 Решение задачи и правильный ответ:

Фото: 2379891.gif (51.0 Kb) · 5309941.jpg (18.8 Kb)


 
 
юлокДата: Вторник, 07.04.2015, 13:34 | Сообщение # 47
Лейтенант
Группа: Проверенные
Сообщений: 69
Награды: 0
Репутация: 0
Статус: Offline


 
Работай из дома! 18+
 
 


Задача № 1.50

 Условие задачи:

Твердое тело начинает вращаться вокруг неподвижной оси с угловым ускорением β = β0 cos φ, где β0 — постоянный вектор, φ — угол поворота из начального положения.

Найти угловую скорость тела в зависимости от угла φ. Изобразить график этой зависимости.

 Решение задачи и правильный ответ:

Фото: 3505701.gif (35.3 Kb)
 
 
юлокДата: Вторник, 07.04.2015, 13:34 | Сообщение # 48
Лейтенант
Группа: Проверенные
Сообщений: 69
Награды: 0
Репутация: 0
Статус: Offline


 
Работай из дома! 18+
 
 


Задача № 1.51

 Условие задачи:

Вращающийся диск (рис. 1.6) движется в положительном направлении оси х. Найти уравнение у (х), характеризующее положения мгновенной оси вращения, если в начальный момент ось С диска находилась в точке О и в дальнейшем движется:

а) с постоянной скоростью v, а диск раскручивается без начальной угловой скорости с постоянным угловым ускорением β против часовой стрелки;

б) с постоянным ускорением w (без начальной скорости), а диск вращается с постоянной угловой скоростью ω против часовой стрелки.

 Решение задачи и правильный ответ:

Фото: 5527099.gif (43.4 Kb)
 
 
юлокДата: Вторник, 07.04.2015, 13:35 | Сообщение # 49
Лейтенант
Группа: Проверенные
Сообщений: 69
Награды: 0
Репутация: 0
Статус: Offline


 
Работай из дома! 18+
 
 


Задача № 1.52

 Условие задачи:

Точка А находится на ободе колеса радиуса R = 0,50 м, которое катится без скольжения по горизонтальной поверхности со скоростью v = 1,00 м/с. Найти:

а) модуль и направление вектора ускорения точки А;

б) полный путь s, проходимый точкой А между двумя последовательными моментами ее касания поверхности.

 Решение задачи и правильный ответ:

Фото: 7956515.jpg (42.2 Kb)
 
 
юлокДата: Вторник, 07.04.2015, 13:35 | Сообщение # 50
Лейтенант
Группа: Проверенные
Сообщений: 69
Награды: 0
Репутация: 0
Статус: Offline


 
Работай из дома! 18+
 
 


Задача № 1.53

 Условие задачи:

Шар радиуса R = 10,0 см катится без скольжения по горизонтальной плоскости так, что его центр движется с постоянным ускорением w = 2,50 см/с2. Через t = 2,00 с после начала движения его положение соответствует рис. 1.7. Найти:

а) скорости точек А, В и О;

б) укорения этих точек.

 Решение задачи и правильный ответ:

Фото: 5292111.gif (51.6 Kb)
 
 
юлокДата: Вторник, 07.04.2015, 13:36 | Сообщение # 51
Лейтенант
Группа: Проверенные
Сообщений: 69
Награды: 0
Репутация: 0
Статус: Offline


 
Работай из дома! 18+
 
 


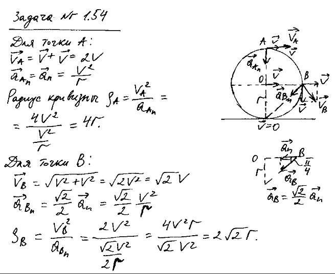
Задача № 1.54

 Условие задачи:

Цилиндр катится без скольжения по горизонтальной плоскости.

Радиус цилиндра равен r.

Найти радиусы кривизны траекторий точек А и В (см. рис. 1.7).

 Решение задачи и правильный ответ:

Фото: 2070688.gif (23.2 Kb)
 
 
юлокДата: Вторник, 07.04.2015, 13:36 | Сообщение # 52
Лейтенант
Группа: Проверенные
Сообщений: 69
Награды: 0
Репутация: 0
Статус: Offline


 
Работай из дома! 18+
 
 


Задача № 1.55

 Условие задачи:

Два твердых тела вращаются вокруг неподвижных взаимно перпендикулярных пересекающихся осей с постоянными угловыми скоростями ω1 = 3,0 рад/с и ω2 = 4,0 рад/с.

Найти угловую скорость и угловое ускорение одного тела относительно другого.

 Решение задачи и правильный ответ:

Фото: 1300377.gif (4.4 Kb)
 
 
юлокДата: Вторник, 07.04.2015, 13:37 | Сообщение # 53
Лейтенант
Группа: Проверенные
Сообщений: 69
Награды: 0
Репутация: 0
Статус: Offline


 
Работай из дома! 18+
 
 


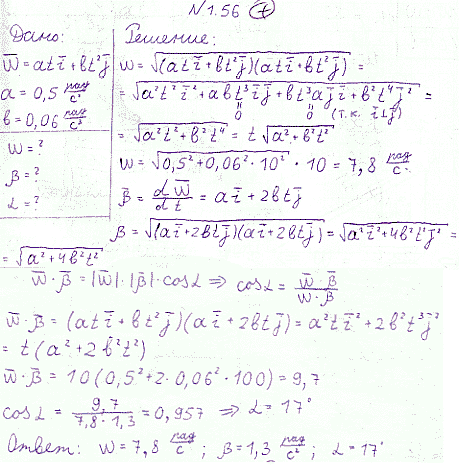
Задача № 1.56

 Условие задачи:

Твердое тело вращается с угловой скоростью ω = ati + bt2j, где a = 0,50 рад/с2, b = 0,060 рад/с3, i и j — орты осей х и у. Найти:

а) модули угловой скорости и углового ускорения в момент t = 10,0 с;

б) угол между векторами угловой скорости и углового ускорения в этот момент.

 Решение задачи и правильный ответ:

Фото: 1240765.gif (37.2 Kb)
 
 
юлокДата: Вторник, 07.04.2015, 13:38 | Сообщение # 54
Лейтенант
Группа: Проверенные
Сообщений: 69
Награды: 0
Репутация: 0
Статус: Offline


 
Работай из дома! 18+
 
 


Задача № 1.57

 Условие задачи:

Круглый конус с углом полураствора α = 30° и радиусом основания R = 5,0 см катится равномерно без скольжения по горизонтальной плоскости, как показано на рис. 1.8. Вершина конуса закреплена шарнирно в точке О, которая находится на одном уровне с точкой С — центром основания конуса. Скорость точки С v = 10,0 см/с. Найти модули:

а) вектора угловой скорости конуса и угол, который составляет этот вектор с вертикалью;

б) вектора углового ускорения конуса.

 Решение задачи и правильный ответ:

Фото: 1800287.jpg (59.0 Kb)
 
 
юлокДата: Вторник, 07.04.2015, 13:38 | Сообщение # 55
Лейтенант
Группа: Проверенные
Сообщений: 69
Награды: 0
Репутация: 0
Статус: Offline


 
Работай из дома! 18+
 
 


Задача № 1.58

 Условие задачи:

Твердое тело вращается с постоянной угловой скоростью ω0 = 0,50 рад/с вокруг горизонтальной оси АВ. В момент t = 0 ось АВ начали поворачивать вокруг вертикали с постоянным угловым ускорением β0 = 0,10 рад/с2.

Найти угловую скорость и угловое ускорение тела через t = 3,5 с.

 Решение задачи и правильный ответ:




Оглавление решебника по Физике

Фото: 9022413.gif (42.2 Kb)


 
 
  • Страница 4 из 4
  • «
  • 1
  • 2
  • 3
  • 4
Поиск:

Работай из дома! 18+
 
 
 
 
 
 

 
Последние темы на форуме:
 
  • Новогодние праздники 2021-2022 официальные выходные
  • Показатели давления и сердцебиения у женщины 57 лет
  • Гороскоп на декабрь 2021 Женщина Телец
  • Гороскоп на январь 2022 от Павла Глоба
  • Гороскоп на декабрь 2021 от Павла Глоба
  • Гороскоп на ноябрь 2021 от Павла Глоба
  • Стенограмма судьбы - Содержание серий, актеры и роли сериала
  • Мосгаз. Западня - Содержание серий, актеры и роли 2021
  • Тобол - Содержание серий, актеры и роли сериала. 2021
  • Гороскоп для Тигра на сегодня от Павла Глоба
  • Утраченные воспоминания - Содержание серий, актеры и роли
  • Чёрно-белая любовь - Содержание серий, актеры и роли сериала
  • Забытая женщина - Содержание серий, актеры и роли сериала
  • Тайна спящей дамы - Содержание серий, актеры и роли сериала
  • Сериал Часы с кукушкой - Содержание серий, актеры и роли
  •  
     

     
    Обращаем ваше внимание на то, что данный интернет-сайт www.kinolog.do.am носит исключительно информационный характер и ни при каких условиях не является публичной офертой, определяемой положениями Статьи 437 (2) Гражданского кодекса РФ. Цена и наличие товара может отличаться от действительной. Пожалуйста, уточняйте цены и наличие товара у наших менеджеров.
    Администрация сайта не несет ответственности за действия и содержание размещаемой информации пользователей: комментарии, материалы, сообщения и темы на форуме, публикации, объявления и т.д.
    Правообладателям | Реклама | Учебники | Политика
    Отопление, водоснабжение, газоснабжение, канализация © 2003 - 2021
    Рейтинг@Mail.ru Рейтинг арматурных сайтов. ARMTORG.RU Яндекс.Метрика