Из пункта A, находящегося на шоссе (рис. 1.2), необходимо за кратчайшее время попасть на машине в пункт В, расположенный в поле на расстоянии l от шоссе. Известно, что скорость машины по полю в η раз меньше ее скорости по шоссе.
На каком расстоянии от точки D следует свернуть с шоссе?
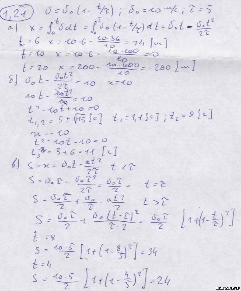
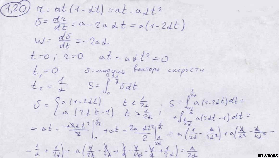
В момент t = 0 частица вышла из начала координат в положительном направлении оси х. Ее скорость меняется со временем по закону v = v0 (1 — t/τ), где v0 — вектор начальной скорости, модуль которого v0 = 10,0 см/с, τ = 5,0 с. Найти:
а) координату x частицы в моменты времени 6,0, 10 и 20 с;
б) моменты времени, когда частица будет находиться на расстоянии 10,0 см от начала координат;
в) путь s, пройденный частицей за первые 4,0 и 8,0 с; изобразить примерный график s (t).
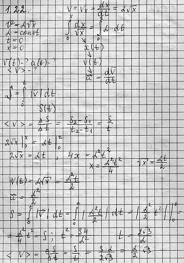
Частица движется в положительном направлении оси x так, что ее скорость меняется по закону v = α*sqrt(x), где α — положительная постоянная. Имея в виду, что в момент t = 0 она находилась в точке х = 0, найти:
а) зависимость от времени скорости и ускорения частицы;
б) среднюю скорость частицы за время, в течение которого она пройдет первые s метров пути.
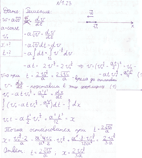
Точка движется, замедляясь, по прямой с ускорением, модуль которого зависит от ее скорости v по закону w = а*sqrt(v), где а — положительная постоянная.
В начальный момент скорость точки равна v0. Какой путь она пройдет до остановки?
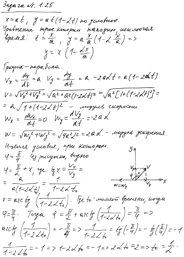
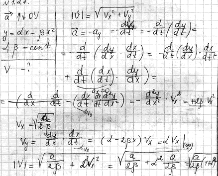
Радиус-вектор точки А относительно начала координат меняется со временем t по закону r = ati—bt2j, где а и b — положительные постоянные, i и j — орты осей х и у. Найти:
а) уравнение траектории точки у (х); изобразить ее график;
б) зависимости от времени векторов скорости v, ускорения w и модулей этих величин;
в) зависимость от времени угла α между векторами w и v;
г) средний вектор скорости за первые t секунд движения и модуль этого вектора.
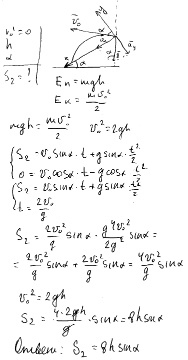
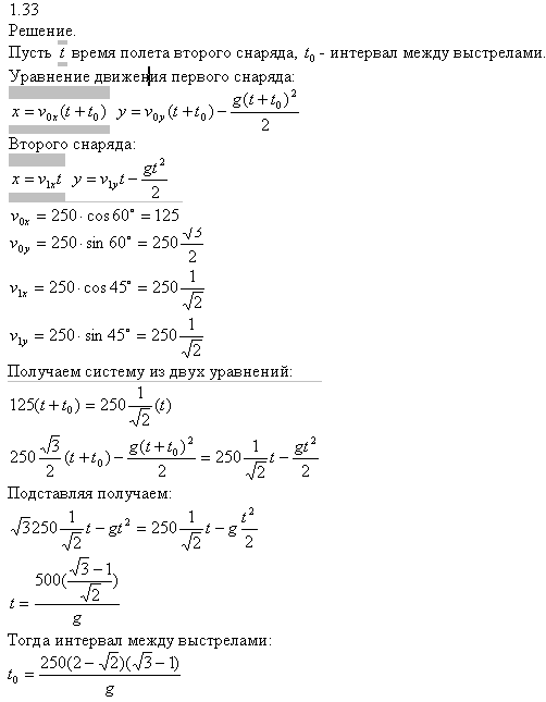
Из пушки выпустили последовательно два снаряда со скоростью v0 = 250 м/с: первый — под углом ϑ1 = 60° к горизонту, второй — под углом ϑ2 = 45° (азимут один и тот же).
Пренебрегая сопротивлением воздуха, найти интервал времени между выстрелами, при котором снаряды столкнутся друг с другом.