[ Новые сообщения · Участники · Правила форума · Поиск · RSS ]
 
Работай из дома! 18+

Решебник по Алгебре. 10 - 11 класс. Мордкович
CSKAДата: Среда, 02.09.2015, 19:09 | Сообщение # 151
Полковник
Группа: Проверенные
Сообщений: 169
Награды: 0
Репутация: 0
Статус: Offline


 
Работай из дома! 18+
 
 


Ответы на задания из параграфа № 36. Мордкович А. Г. Алгебра 10-11 класс.

Для увеличения ответа на задачу, нажмите на картинку



---------------------------------------------------------------------

Перейти в оглавление решебника по Алгебре. Мордкович
Фото: 7725385.jpg (31.3 Kb)
 
 
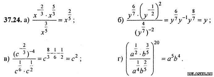
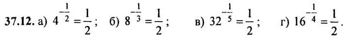
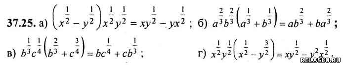
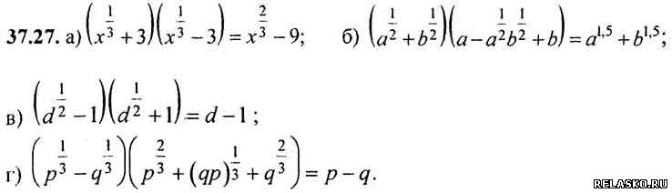
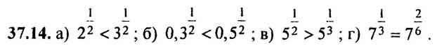
CSKAДата: Среда, 02.09.2015, 19:12 | Сообщение # 152
Полковник
Группа: Проверенные
Сообщений: 169
Награды: 0
Репутация: 0
Статус: Offline


 
Работай из дома! 18+
 
 


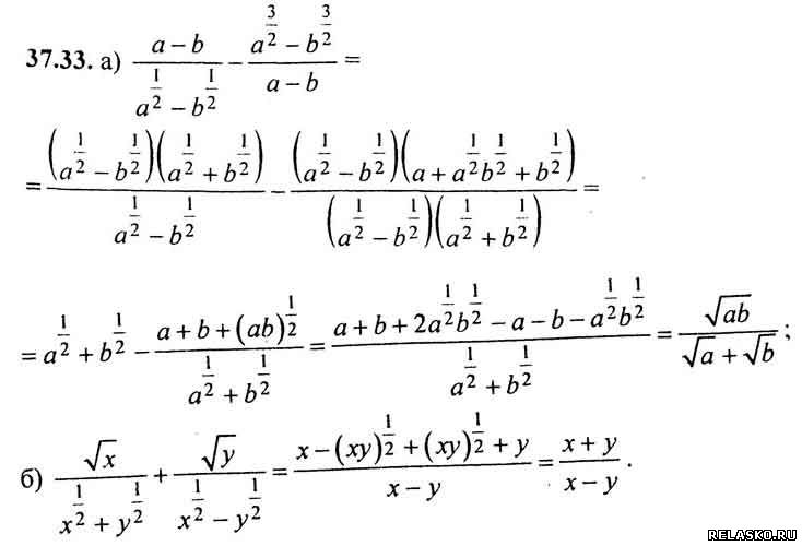
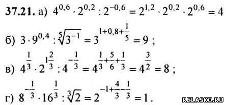
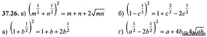
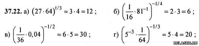
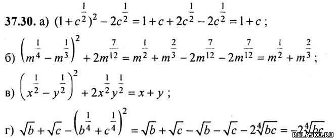
Ответы на задания из параграфа № 37. Мордкович А. Г. Алгебра 10-11 класс.

Для увеличения ответа на задачу, нажмите на картинку



---------------------------------------------------------------------



---------------------------------------------------------------------



---------------------------------------------------------------------



---------------------------------------------------------------------



---------------------------------------------------------------------

Перейти в оглавление решебника по Алгебре. Мордкович
Фото: 2983927.jpg (4.0 Kb) · 9952223.jpg (4.5 Kb) · 9391683.jpg (5.1 Kb) · 9487737.jpg (3.8 Kb) · 5763977.jpg (3.6 Kb)
 
 
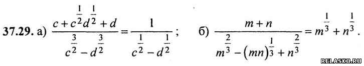
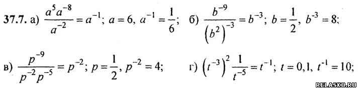
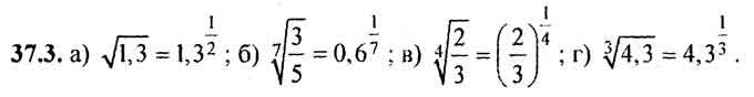
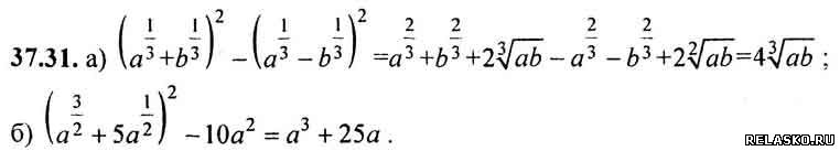
CSKAДата: Среда, 02.09.2015, 19:13 | Сообщение # 153
Полковник
Группа: Проверенные
Сообщений: 169
Награды: 0
Репутация: 0
Статус: Offline


 
Работай из дома! 18+
 
 


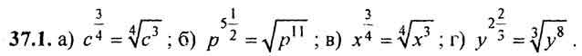
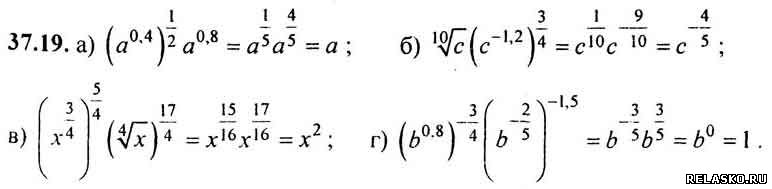
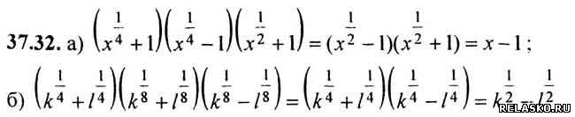
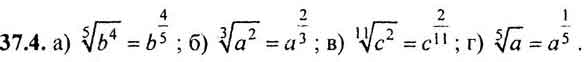
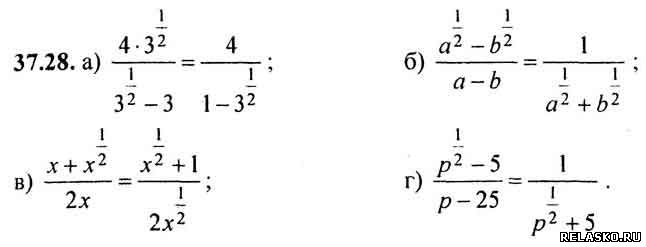
Ответы на задания из параграфа № 37. Мордкович А. Г. Алгебра 10-11 класс.

Для увеличения ответа на задачу, нажмите на картинку



---------------------------------------------------------------------



---------------------------------------------------------------------



---------------------------------------------------------------------



---------------------------------------------------------------------



---------------------------------------------------------------------

Перейти в оглавление решебника по Алгебре. Мордкович
Фото: 8126883.jpg (6.3 Kb) · 5867358.jpg (8.7 Kb) · 7861997.jpg (3.3 Kb) · 2417519.jpg (4.0 Kb) · 8413311.jpg (5.7 Kb)
 
 
CSKAДата: Среда, 02.09.2015, 19:13 | Сообщение # 154
Полковник
Группа: Проверенные
Сообщений: 169
Награды: 0
Репутация: 0
Статус: Offline


 
Работай из дома! 18+
 
 


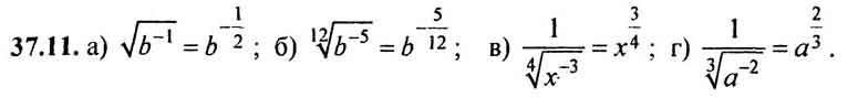
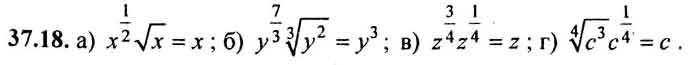
Ответы на задания из параграфа № 37. Мордкович А. Г. Алгебра 10-11 класс.

Для увеличения ответа на задачу, нажмите на картинку



---------------------------------------------------------------------



---------------------------------------------------------------------



---------------------------------------------------------------------



---------------------------------------------------------------------



---------------------------------------------------------------------

Перейти в оглавление решебника по Алгебре. Мордкович
Фото: 6596399.jpg (5.2 Kb) · 3833705.jpg (4.3 Kb) · 3345198.jpg (4.7 Kb) · 2064163.jpg (4.3 Kb) · 4910335.jpg (5.2 Kb)
 
 
CSKAДата: Среда, 02.09.2015, 19:14 | Сообщение # 155
Полковник
Группа: Проверенные
Сообщений: 169
Награды: 0
Репутация: 0
Статус: Offline


 
Работай из дома! 18+
 
 


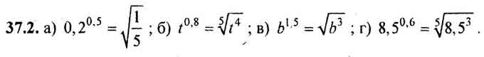
Ответы на задания из параграфа № 37. Мордкович А. Г. Алгебра 10-11 класс.

Для увеличения ответа на задачу, нажмите на картинку



---------------------------------------------------------------------



---------------------------------------------------------------------



---------------------------------------------------------------------



---------------------------------------------------------------------



---------------------------------------------------------------------

Перейти в оглавление решебника по Алгебре. Мордкович
Фото: 4619408.jpg (5.5 Kb) · 9760789.jpg (6.4 Kb) · 1506046.jpg (4.7 Kb) · 7399329.jpg (10.4 Kb) · 2653347.jpg (7.9 Kb)
 
 
CSKAДата: Среда, 02.09.2015, 19:14 | Сообщение # 156
Полковник
Группа: Проверенные
Сообщений: 169
Награды: 0
Репутация: 0
Статус: Offline


 
Работай из дома! 18+
 
 


Ответы на задания из параграфа № 37. Мордкович А. Г. Алгебра 10-11 класс.

Для увеличения ответа на задачу, нажмите на картинку



---------------------------------------------------------------------



---------------------------------------------------------------------



---------------------------------------------------------------------



---------------------------------------------------------------------



---------------------------------------------------------------------

Перейти в оглавление решебника по Алгебре. Мордкович
Фото: 0069392.jpg (8.2 Kb) · 9361518.jpg (7.8 Kb) · 6143050.jpg (6.6 Kb) · 4835135.jpg (10.1 Kb) · 3041474.jpg (8.8 Kb)
 
 
CSKAДата: Среда, 02.09.2015, 19:14 | Сообщение # 157
Полковник
Группа: Проверенные
Сообщений: 169
Награды: 0
Репутация: 0
Статус: Offline


 
Работай из дома! 18+
 
 


Ответы на задания из параграфа № 37. Мордкович А. Г. Алгебра 10-11 класс.

Для увеличения ответа на задачу, нажмите на картинку



---------------------------------------------------------------------



---------------------------------------------------------------------



---------------------------------------------------------------------



---------------------------------------------------------------------



---------------------------------------------------------------------

Перейти в оглавление решебника по Алгебре. Мордкович
Фото: 1659711.jpg (7.5 Kb) · 6621045.jpg (10.1 Kb) · 9018003.jpg (8.6 Kb) · 6436426.jpg (6.8 Kb) · 0621773.jpg (13.9 Kb)
 
 
CSKAДата: Среда, 02.09.2015, 19:15 | Сообщение # 158
Полковник
Группа: Проверенные
Сообщений: 169
Награды: 0
Репутация: 0
Статус: Offline


 
Работай из дома! 18+
 
 


Ответы на задания из параграфа № 37. Мордкович А. Г. Алгебра 10-11 класс.

Для увеличения ответа на задачу, нажмите на картинку



---------------------------------------------------------------------



---------------------------------------------------------------------



---------------------------------------------------------------------

Перейти в оглавление решебника по Алгебре. Мордкович
Фото: 1413080.jpg (7.9 Kb) · 8897320.jpg (8.6 Kb) · 3576947.jpg (21.8 Kb)
 
 
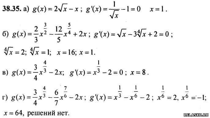
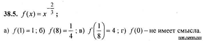
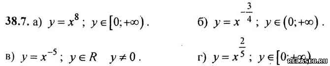
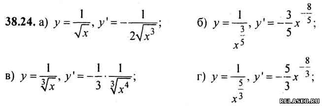
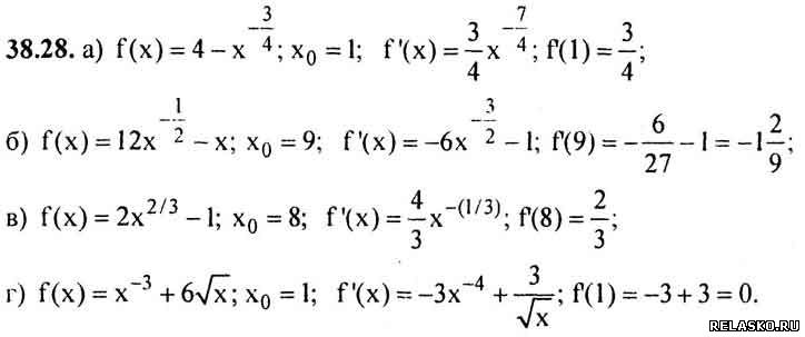
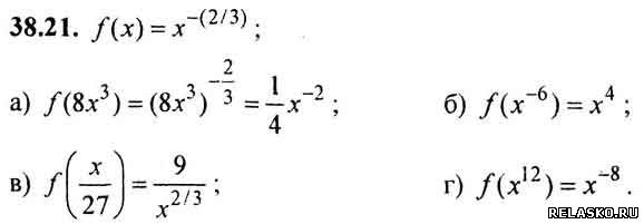
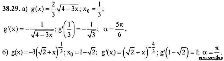
CSKAДата: Среда, 02.09.2015, 19:19 | Сообщение # 159
Полковник
Группа: Проверенные
Сообщений: 169
Награды: 0
Репутация: 0
Статус: Offline


 
Работай из дома! 18+
 
 


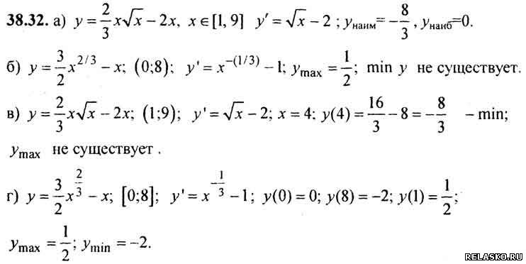
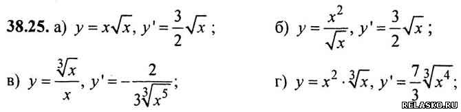
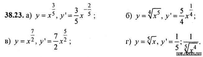
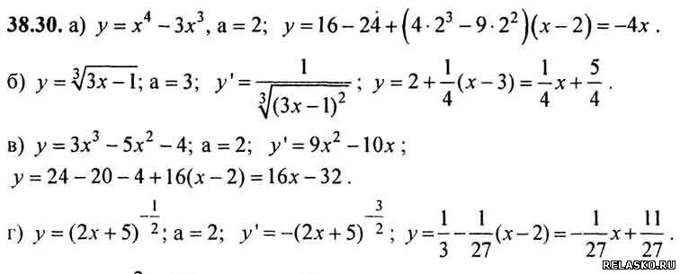
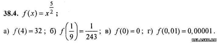
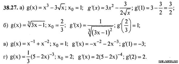
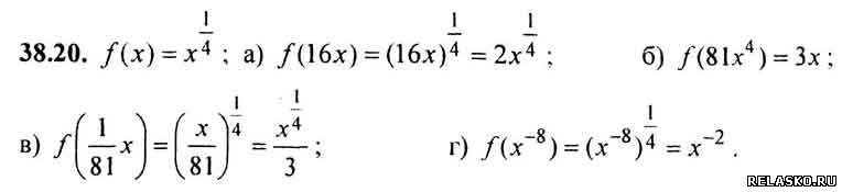
Ответы на задания из параграфа № 38. Мордкович А. Г. Алгебра 10-11 класс.

Для увеличения ответа на задачу, нажмите на картинку



---------------------------------------------------------------------



---------------------------------------------------------------------



---------------------------------------------------------------------



---------------------------------------------------------------------



---------------------------------------------------------------------

Перейти в оглавление решебника по Алгебре. Мордкович
Фото: 2579183.jpg (17.1 Kb) · 2120255.jpg (12.8 Kb) · 3863640.jpg (13.4 Kb) · 6627741.jpg (6.3 Kb) · 0838952.jpg (6.0 Kb)
 
 
CSKAДата: Среда, 02.09.2015, 19:19 | Сообщение # 160
Полковник
Группа: Проверенные
Сообщений: 169
Награды: 0
Репутация: 0
Статус: Offline


 
Работай из дома! 18+
 
 


Ответы на задания из параграфа № 38. Мордкович А. Г. Алгебра 10-11 класс.

Для увеличения ответа на задачу, нажмите на картинку



---------------------------------------------------------------------



---------------------------------------------------------------------



---------------------------------------------------------------------



---------------------------------------------------------------------



---------------------------------------------------------------------

Перейти в оглавление решебника по Алгебре. Мордкович
Фото: 8266462.jpg (19.9 Kb) · 6666848.jpg (6.2 Kb) · 1143699.jpg (10.2 Kb) · 5934695.jpg (12.4 Kb) · 0046186.jpg (14.0 Kb)
 
 
CSKAДата: Среда, 02.09.2015, 19:20 | Сообщение # 161
Полковник
Группа: Проверенные
Сообщений: 169
Награды: 0
Репутация: 0
Статус: Offline


 
Работай из дома! 18+
 
 


Ответы на задания из параграфа № 38. Мордкович А. Г. Алгебра 10-11 класс.

Для увеличения ответа на задачу, нажмите на картинку



---------------------------------------------------------------------



---------------------------------------------------------------------



---------------------------------------------------------------------



---------------------------------------------------------------------



---------------------------------------------------------------------

Перейти в оглавление решебника по Алгебре. Мордкович
Фото: 6816964.jpg (10.2 Kb) · 9253640.jpg (13.9 Kb) · 1890784.jpg (20.3 Kb) · 0161211.jpg (15.4 Kb) · 8838688.jpg (24.7 Kb)
 
 
CSKAДата: Среда, 02.09.2015, 19:20 | Сообщение # 162
Полковник
Группа: Проверенные
Сообщений: 169
Награды: 0
Репутация: 0
Статус: Offline


 
Работай из дома! 18+
 
 


Ответы на задания из параграфа № 38. Мордкович А. Г. Алгебра 10-11 класс.

Для увеличения ответа на задачу, нажмите на картинку



---------------------------------------------------------------------



---------------------------------------------------------------------



---------------------------------------------------------------------



---------------------------------------------------------------------



---------------------------------------------------------------------

Перейти в оглавление решебника по Алгебре. Мордкович
Фото: 7724881.jpg (28.9 Kb) · 8167622.jpg (6.4 Kb) · 3189519.jpg (7.0 Kb) · 2377330.jpg (8.4 Kb) · 3128652.jpg (8.4 Kb)
 
 
CSKAДата: Среда, 02.09.2015, 19:21 | Сообщение # 163
Полковник
Группа: Проверенные
Сообщений: 169
Награды: 0
Репутация: 0
Статус: Offline


 
Работай из дома! 18+
 
 


Ответы на задания из параграфа № 38. Мордкович А. Г. Алгебра 10-11 класс.

Для увеличения ответа на задачу, нажмите на картинку



---------------------------------------------------------------------



---------------------------------------------------------------------



---------------------------------------------------------------------



---------------------------------------------------------------------



---------------------------------------------------------------------

Перейти в оглавление решебника по Алгебре. Мордкович
Фото: 2725993.jpg (7.4 Kb) · 6040945.jpg (5.5 Kb) · 8577617.jpg (7.2 Kb) · 7292151.jpg (7.8 Kb) · 6938881.jpg (7.9 Kb)
 
 
CSKAДата: Среда, 02.09.2015, 19:21 | Сообщение # 164
Полковник
Группа: Проверенные
Сообщений: 169
Награды: 0
Репутация: 0
Статус: Offline


 
Работай из дома! 18+
 
 


Ответы на задания из параграфа № 38. Мордкович А. Г. Алгебра 10-11 класс.

Для увеличения ответа на задачу, нажмите на картинку



---------------------------------------------------------------------



---------------------------------------------------------------------



---------------------------------------------------------------------



---------------------------------------------------------------------



---------------------------------------------------------------------

Перейти в начало решебника по Алгебре. Мордкович
Фото: 6014975.jpg (10.0 Kb) · 7072339.jpg (16.0 Kb) · 0928687.jpg (15.2 Kb) · 9643447.jpg (11.3 Kb) · 3044282.jpg (16.7 Kb)
 
 
CSKAДата: Среда, 02.09.2015, 19:22 | Сообщение # 165
Полковник
Группа: Проверенные
Сообщений: 169
Награды: 0
Репутация: 0
Статус: Offline


 
Работай из дома! 18+
 
 




Ответы на задания из параграфа № 38. Мордкович А. Г. Алгебра 10-11 класс.

Для увеличения ответа на задачу, нажмите на картинку



---------------------------------------------------------------------



---------------------------------------------------------------------



---------------------------------------------------------------------



---------------------------------------------------------------------



---------------------------------------------------------------------

Перейти в оглавление решебника по Алгебре. Мордкович
Фото: 3139922.jpg (12.7 Kb) · 2884267.jpg (18.3 Kb) · 0739244.jpg (16.3 Kb) · 9120511.jpg (25.0 Kb) · 7072292.jpg (17.1 Kb)
 
 
Поиск:

Работай из дома! 18+
 
 
 
 
 
 

 
Последние темы на форуме:
 
  • Новогодние праздники 2021-2022 официальные выходные
  • Показатели давления и сердцебиения у женщины 57 лет
  • Гороскоп на декабрь 2021 Женщина Телец
  • Гороскоп на январь 2022 от Павла Глоба
  • Гороскоп на декабрь 2021 от Павла Глоба
  • Гороскоп на ноябрь 2021 от Павла Глоба
  • Стенограмма судьбы - Содержание серий, актеры и роли сериала
  • Мосгаз. Западня - Содержание серий, актеры и роли 2021
  • Тобол - Содержание серий, актеры и роли сериала. 2021
  • Гороскоп для Тигра на сегодня от Павла Глоба
  • Утраченные воспоминания - Содержание серий, актеры и роли
  • Чёрно-белая любовь - Содержание серий, актеры и роли сериала
  • Забытая женщина - Содержание серий, актеры и роли сериала
  • Тайна спящей дамы - Содержание серий, актеры и роли сериала
  • Сериал Часы с кукушкой - Содержание серий, актеры и роли
  •  
     

     
    Обращаем ваше внимание на то, что данный интернет-сайт www.kinolog.do.am носит исключительно информационный характер и ни при каких условиях не является публичной офертой, определяемой положениями Статьи 437 (2) Гражданского кодекса РФ. Цена и наличие товара может отличаться от действительной. Пожалуйста, уточняйте цены и наличие товара у наших менеджеров.
    Администрация сайта не несет ответственности за действия и содержание размещаемой информации пользователей: комментарии, материалы, сообщения и темы на форуме, публикации, объявления и т.д.
    Правообладателям | Реклама | Учебники | Политика
    Отопление, водоснабжение, газоснабжение, канализация © 2003 - 2021
    Рейтинг@Mail.ru Рейтинг арматурных сайтов. ARMTORG.RU Яндекс.Метрика