[ Новые сообщения · Участники · Правила форума · Поиск · RSS ]
 
Работай из дома! 18+

Решебник по Алгебре. 10 - 11 класс. Мордкович
CSKAДата: Среда, 02.09.2015, 17:50 | Сообщение # 121
Полковник
Группа: Проверенные
Сообщений: 169
Награды: 0
Репутация: 0
Статус: Offline


 
Работай из дома! 18+
 
 


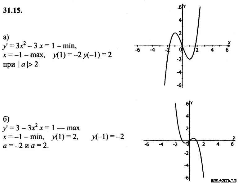
Ответы на задания из параграфа № 31. Мордкович А. Г. Алгебра 10-11 класс.

Для увеличения ответа на задачу, нажмите на картинку



---------------------------------------------------------------------



---------------------------------------------------------------------



---------------------------------------------------------------------



---------------------------------------------------------------------



---------------------------------------------------------------------

Перейти в оглавление решебника по Алгебре. Мордкович
Фото: 4228490.jpg (31.5 Kb) · 8113259.jpg (29.6 Kb) · 1752576.jpg (20.8 Kb) · 3814693.jpg (23.0 Kb) · 5819940.jpg (16.8 Kb)
 
 
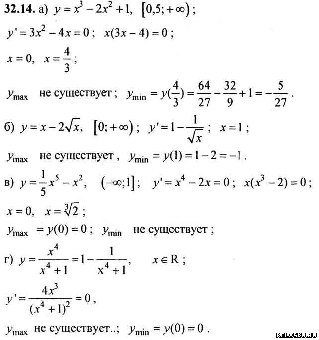
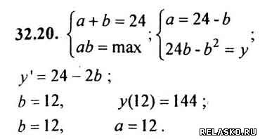
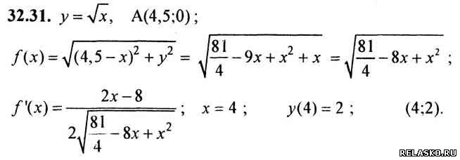
CSKAДата: Среда, 02.09.2015, 17:56 | Сообщение # 122
Полковник
Группа: Проверенные
Сообщений: 169
Награды: 0
Репутация: 0
Статус: Offline


 
Работай из дома! 18+
 
 


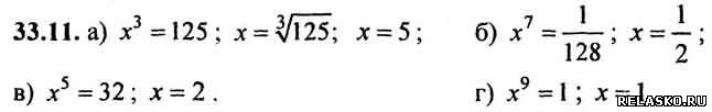
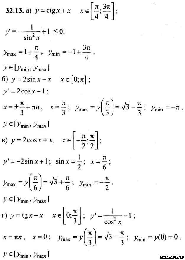
Ответы на задания из параграфа № 32. Мордкович А. Г. Алгебра 10-11 класс.

Для увеличения ответа на задачу, нажмите на картинку



---------------------------------------------------------------------



---------------------------------------------------------------------



---------------------------------------------------------------------



---------------------------------------------------------------------



---------------------------------------------------------------------

Перейти в оглавление решебника по Алгебре. Мордкович
Фото: 2418660.jpg (28.3 Kb) · 2548707.jpg (27.9 Kb) · 0427563.jpg (13.6 Kb) · 6428820.jpg (10.1 Kb) · 2779741.jpg (12.4 Kb)
 
 
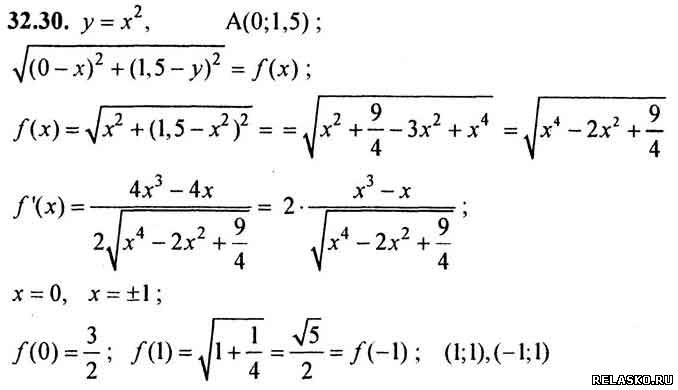
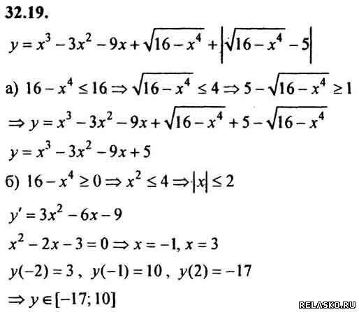
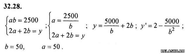
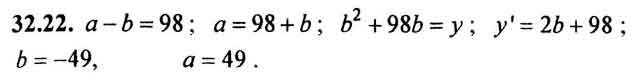
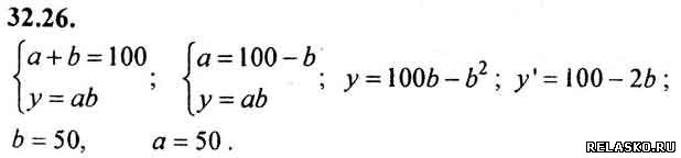
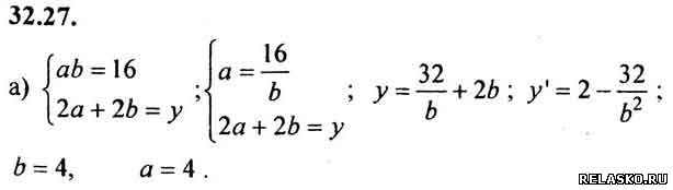
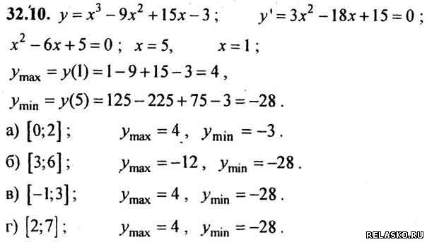
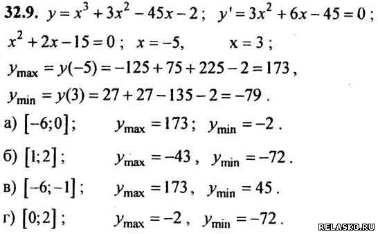
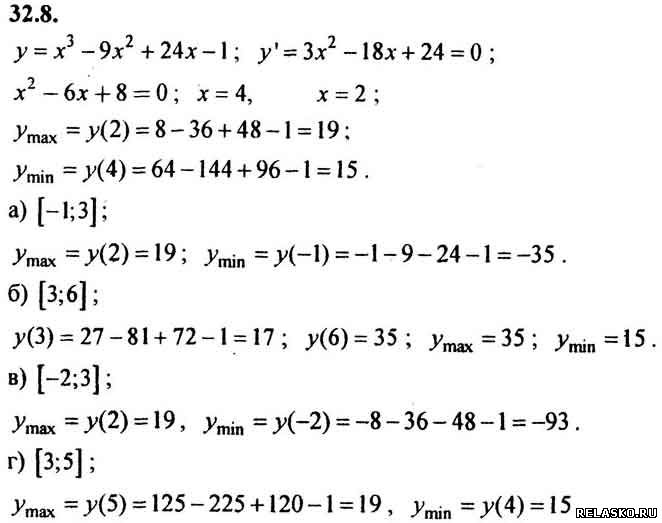
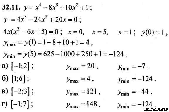
CSKAДата: Среда, 02.09.2015, 17:56 | Сообщение # 123
Полковник
Группа: Проверенные
Сообщений: 169
Награды: 0
Репутация: 0
Статус: Offline


 
Работай из дома! 18+
 
 


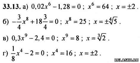
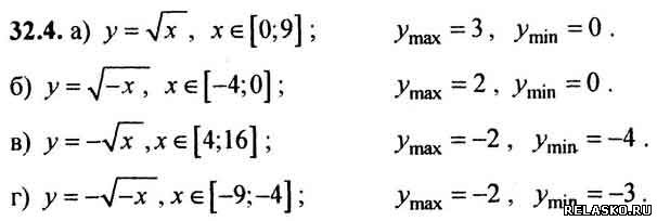
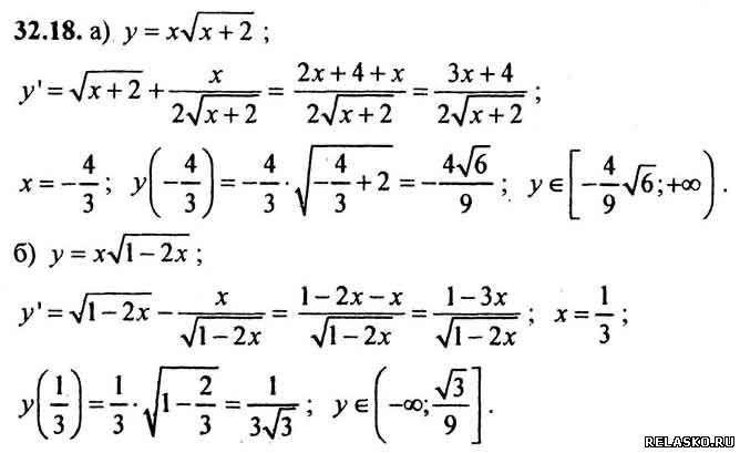
Ответы на задания из параграфа № 32. Мордкович А. Г. Алгебра 10-11 класс.

Для увеличения ответа на задачу, нажмите на картинку



---------------------------------------------------------------------



---------------------------------------------------------------------



---------------------------------------------------------------------



---------------------------------------------------------------------



---------------------------------------------------------------------

Перейти в оглавление решебника по Алгебре. Мордкович
Фото: 2671628.jpg (30.4 Kb) · 5025684.jpg (9.8 Kb) · 4424652.jpg (23.5 Kb) · 7966560.jpg (15.9 Kb) · 0725665.jpg (15.7 Kb)
 
 
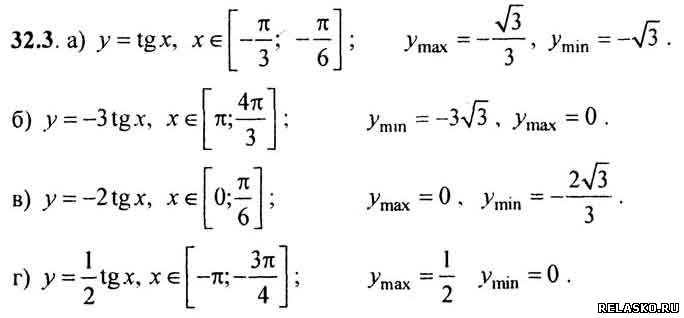
CSKAДата: Среда, 02.09.2015, 17:57 | Сообщение # 124
Полковник
Группа: Проверенные
Сообщений: 169
Награды: 0
Репутация: 0
Статус: Offline


 
Работай из дома! 18+
 
 


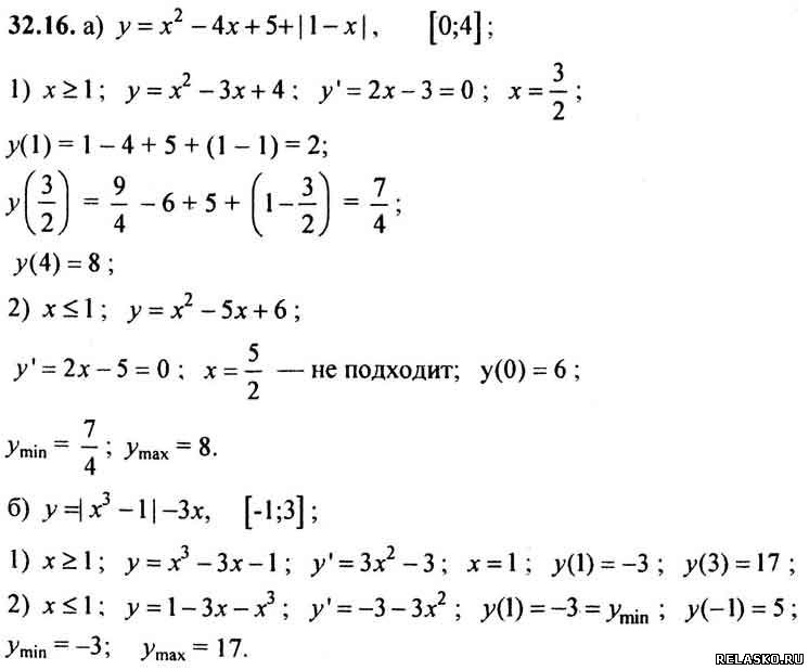
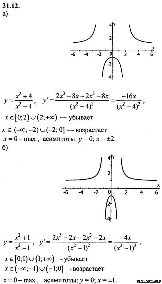
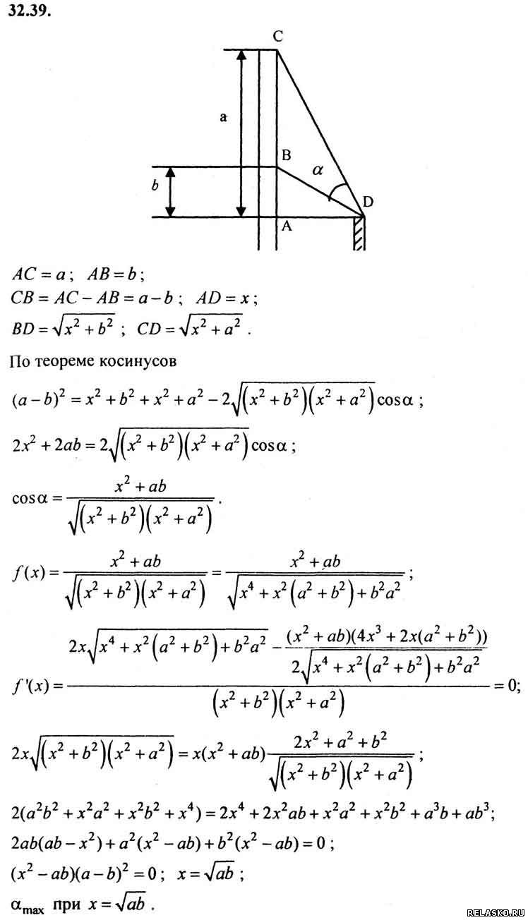
Ответы на задания из параграфа № 32. Мордкович А. Г. Алгебра 10-11 класс.

Для увеличения ответа на задачу, нажмите на картинку



---------------------------------------------------------------------



---------------------------------------------------------------------



---------------------------------------------------------------------



---------------------------------------------------------------------



---------------------------------------------------------------------

Перейти в оглавление решебника по Алгебре. Мордкович
Фото: 3760519.jpg (17.6 Kb) · 5753606.jpg (10.7 Kb) · 4810678.jpg (29.2 Kb) · 4875641.jpg (26.1 Kb) · 2130875.jpg (28.0 Kb)
 
 
CSKAДата: Среда, 02.09.2015, 17:57 | Сообщение # 125
Полковник
Группа: Проверенные
Сообщений: 169
Награды: 0
Репутация: 0
Статус: Offline


 
Работай из дома! 18+
 
 


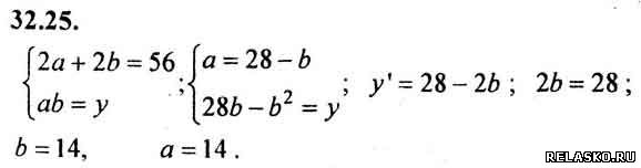
Ответы на задания из параграфа № 32. Мордкович А. Г. Алгебра 10-11 класс.

Для увеличения ответа на задачу, нажмите на картинку



---------------------------------------------------------------------



---------------------------------------------------------------------



---------------------------------------------------------------------



---------------------------------------------------------------------



---------------------------------------------------------------------

Перейти в оглавление решебника по Алгебре. Мордкович
Фото: 6566190.jpg (25.1 Kb) · 3191988.jpg (18.7 Kb) · 6065159.jpg (19.0 Kb) · 4238074.jpg (16.8 Kb) · 5353728.jpg (6.1 Kb)
 
 
CSKAДата: Среда, 02.09.2015, 17:58 | Сообщение # 126
Полковник
Группа: Проверенные
Сообщений: 169
Награды: 0
Репутация: 0
Статус: Offline


 
Работай из дома! 18+
 
 


Ответы на задания из параграфа № 32. Мордкович А. Г. Алгебра 10-11 класс.

Для увеличения ответа на задачу, нажмите на картинку



---------------------------------------------------------------------



---------------------------------------------------------------------



---------------------------------------------------------------------



---------------------------------------------------------------------



---------------------------------------------------------------------

Перейти в оглавление решебника по Алгебре. Мордкович
Фото: 4585826.jpg (5.0 Kb) · 1347443.jpg (4.5 Kb) · 4010574.jpg (7.3 Kb) · 7623025.jpg (9.4 Kb) · 2197143.jpg (5.9 Kb)
 
 
CSKAДата: Среда, 02.09.2015, 17:58 | Сообщение # 127
Полковник
Группа: Проверенные
Сообщений: 169
Награды: 0
Репутация: 0
Статус: Offline


 
Работай из дома! 18+
 
 


Ответы на задания из параграфа № 32. Мордкович А. Г. Алгебра 10-11 класс.

Для увеличения ответа на задачу, нажмите на картинку



---------------------------------------------------------------------



---------------------------------------------------------------------



---------------------------------------------------------------------



---------------------------------------------------------------------



---------------------------------------------------------------------

Перейти в оглавление решебника по Алгебре. Мордкович
Фото: 7035548.jpg (5.8 Kb) · 3915925.jpg (6.3 Kb) · 8941687.jpg (7.4 Kb) · 8464640.jpg (16.9 Kb) · 3177150.jpg (17.5 Kb)
 
 
CSKAДата: Среда, 02.09.2015, 17:59 | Сообщение # 128
Полковник
Группа: Проверенные
Сообщений: 169
Награды: 0
Репутация: 0
Статус: Offline


 
Работай из дома! 18+
 
 


Ответы на задания из параграфа № 32. Мордкович А. Г. Алгебра 10-11 класс.

Для увеличения ответа на задачу, нажмите на картинку



---------------------------------------------------------------------



---------------------------------------------------------------------



---------------------------------------------------------------------



---------------------------------------------------------------------



---------------------------------------------------------------------

Перейти в оглавление решебника по Алгебре. Мордкович
Фото: 6512949.jpg (10.0 Kb) · 1008114.jpg (10.0 Kb) · 6257865.jpg (9.2 Kb) · 0382368.jpg (14.8 Kb) · 6819498.jpg (6.4 Kb)
 
 
CSKAДата: Среда, 02.09.2015, 17:59 | Сообщение # 129
Полковник
Группа: Проверенные
Сообщений: 169
Награды: 0
Репутация: 0
Статус: Offline


 
Работай из дома! 18+
 
 


Ответы на задания из параграфа № 32. Мордкович А. Г. Алгебра 10-11 класс.

Для увеличения ответа на задачу, нажмите на картинку



---------------------------------------------------------------------



---------------------------------------------------------------------



---------------------------------------------------------------------



---------------------------------------------------------------------



---------------------------------------------------------------------

Перейти в оглавление решебника по Алгебре. Мордкович
Фото: 0864245.jpg (18.8 Kb) · 2518593.jpg (34.6 Kb) · 6965700.jpg (29.7 Kb) · 2373091.jpg (54.5 Kb) · 4502811.jpg (35.5 Kb)
 
 
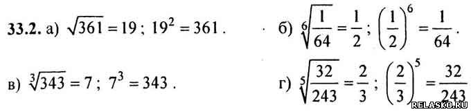
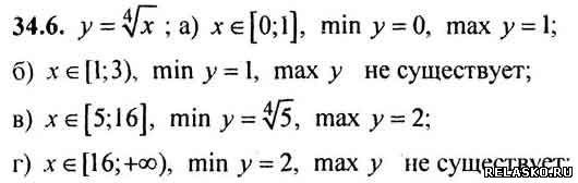
CSKAДата: Среда, 02.09.2015, 18:43 | Сообщение # 130
Полковник
Группа: Проверенные
Сообщений: 169
Награды: 0
Репутация: 0
Статус: Offline


 
Работай из дома! 18+
 
 


Ответы на задания из параграфа № 33. Мордкович А. Г. Алгебра 10-11 класс.

Для увеличения ответа на задачу, нажмите на картинку



---------------------------------------------------------------------



---------------------------------------------------------------------



---------------------------------------------------------------------



---------------------------------------------------------------------



---------------------------------------------------------------------

Перейти в оглавление решебника по Алгебре. Мордкович
Фото: 2914300.jpg (2.5 Kb) · 5163118.jpg (8.8 Kb) · 4038117.jpg (7.5 Kb) · 2774236.jpg (12.6 Kb) · 1238052.jpg (3.9 Kb)
 
 
CSKAДата: Среда, 02.09.2015, 18:44 | Сообщение # 131
Полковник
Группа: Проверенные
Сообщений: 169
Награды: 0
Репутация: 0
Статус: Offline


 
Работай из дома! 18+
 
 


Ответы на задания из параграфа № 33. Мордкович А. Г. Алгебра 10-11 класс.

Для увеличения ответа на задачу, нажмите на картинку



---------------------------------------------------------------------



---------------------------------------------------------------------



---------------------------------------------------------------------



---------------------------------------------------------------------



---------------------------------------------------------------------

Перейти в оглавление решебника по Алгебре. Мордкович
Фото: 8026523.jpg (5.5 Kb) · 4456113.jpg (7.7 Kb) · 1714394.jpg (5.2 Kb) · 5272465.jpg (7.2 Kb) · 0371160.jpg (7.7 Kb)
 
 
CSKAДата: Среда, 02.09.2015, 18:44 | Сообщение # 132
Полковник
Группа: Проверенные
Сообщений: 169
Награды: 0
Репутация: 0
Статус: Offline


 
Работай из дома! 18+
 
 


Ответы на задания из параграфа № 33. Мордкович А. Г. Алгебра 10-11 класс.

Для увеличения ответа на задачу, нажмите на картинку



---------------------------------------------------------------------



---------------------------------------------------------------------



---------------------------------------------------------------------



---------------------------------------------------------------------



---------------------------------------------------------------------

Перейти в оглавление решебника по Алгебре. Мордкович
Фото: 5473356.jpg (5.4 Kb) · 7366595.jpg (5.7 Kb) · 6167316.jpg (8.9 Kb) · 0601436.jpg (8.4 Kb) · 3874940.jpg (16.5 Kb)
 
 
CSKAДата: Среда, 02.09.2015, 18:45 | Сообщение # 133
Полковник
Группа: Проверенные
Сообщений: 169
Награды: 0
Репутация: 0
Статус: Offline


 
Работай из дома! 18+
 
 


Ответы на задания из параграфа № 33. Мордкович А. Г. Алгебра 10-11 класс.

Для увеличения ответа на задачу, нажмите на картинку



---------------------------------------------------------------------



---------------------------------------------------------------------



---------------------------------------------------------------------



---------------------------------------------------------------------

Перейти в оглавление решебника по Алгебре. Мордкович
Фото: 9360025.jpg (5.2 Kb) · 6050767.jpg (5.3 Kb) · 4990502.jpg (10.3 Kb) · 3364229.jpg (7.0 Kb)
 
 
CSKAДата: Среда, 02.09.2015, 18:48 | Сообщение # 134
Полковник
Группа: Проверенные
Сообщений: 169
Награды: 0
Репутация: 0
Статус: Offline


 
Работай из дома! 18+
 
 


Ответы на задания из параграфа № 34. Мордкович А. Г. Алгебра 10-11 класс.

Для увеличения ответа на задачу, нажмите на картинку



---------------------------------------------------------------------



---------------------------------------------------------------------



---------------------------------------------------------------------



---------------------------------------------------------------------



---------------------------------------------------------------------

Продолжение ответов из задачника по Алгебре. Мордкович
Фото: 7746130.jpg (15.5 Kb) · 5394081.jpg (13.7 Kb) · 6579807.jpg (14.6 Kb) · 6270524.jpg (18.5 Kb) · 2166155.jpg (19.4 Kb)
 
 
CSKAДата: Среда, 02.09.2015, 18:49 | Сообщение # 135
Полковник
Группа: Проверенные
Сообщений: 169
Награды: 0
Репутация: 0
Статус: Offline


 
Работай из дома! 18+
 
 




Ответы на задания из параграфа № 34. Мордкович А. Г. Алгебра 10-11 класс.

Для увеличения ответа на задачу, нажмите на картинку



---------------------------------------------------------------------



---------------------------------------------------------------------



---------------------------------------------------------------------



---------------------------------------------------------------------



---------------------------------------------------------------------

Перейти в оглавление решебника по Алгебре. Мордкович
Фото: 5533816.jpg (10.1 Kb) · 0817916.jpg (10.4 Kb) · 4406651.jpg (12.2 Kb) · 6249745.jpg (22.5 Kb) · 7179452.jpg (36.4 Kb)


 
 
Поиск:

Работай из дома! 18+
 
 
 
 
 
 

 
Последние темы на форуме:
 
  • Новогодние праздники 2021-2022 официальные выходные
  • Показатели давления и сердцебиения у женщины 57 лет
  • Гороскоп на декабрь 2021 Женщина Телец
  • Гороскоп на январь 2022 от Павла Глоба
  • Гороскоп на декабрь 2021 от Павла Глоба
  • Гороскоп на ноябрь 2021 от Павла Глоба
  • Стенограмма судьбы - Содержание серий, актеры и роли сериала
  • Мосгаз. Западня - Содержание серий, актеры и роли 2021
  • Тобол - Содержание серий, актеры и роли сериала. 2021
  • Гороскоп для Тигра на сегодня от Павла Глоба
  • Утраченные воспоминания - Содержание серий, актеры и роли
  • Чёрно-белая любовь - Содержание серий, актеры и роли сериала
  • Забытая женщина - Содержание серий, актеры и роли сериала
  • Тайна спящей дамы - Содержание серий, актеры и роли сериала
  • Сериал Часы с кукушкой - Содержание серий, актеры и роли
  •  
     

     
    Обращаем ваше внимание на то, что данный интернет-сайт www.kinolog.do.am носит исключительно информационный характер и ни при каких условиях не является публичной офертой, определяемой положениями Статьи 437 (2) Гражданского кодекса РФ. Цена и наличие товара может отличаться от действительной. Пожалуйста, уточняйте цены и наличие товара у наших менеджеров.
    Администрация сайта не несет ответственности за действия и содержание размещаемой информации пользователей: комментарии, материалы, сообщения и темы на форуме, публикации, объявления и т.д.
    Правообладателям | Реклама | Учебники | Политика
    Отопление, водоснабжение, газоснабжение, канализация © 2003 - 2021
    Рейтинг@Mail.ru Рейтинг арматурных сайтов. ARMTORG.RU Яндекс.Метрика