[ Новые сообщения · Участники · Правила форума · Поиск · RSS ]
 
Работай из дома! 18+

Решебник по Алгебре. 10 - 11 класс. Мордкович
CSKAДата: Среда, 02.09.2015, 18:51 | Сообщение # 136
Полковник
Группа: Проверенные
Сообщений: 169
Награды: 0
Репутация: 0
Статус: Offline


 
Работай из дома! 18+
 
 


Ответы на задания из параграфа № 34. Мордкович А. Г. Алгебра 10-11 класс.

Для увеличения ответа на задачу, нажмите на картинку



---------------------------------------------------------------------



---------------------------------------------------------------------



---------------------------------------------------------------------



---------------------------------------------------------------------



---------------------------------------------------------------------

Перейти в оглавление решебника по Алгебре. Мордкович
Фото: 0350697.jpg (10.9 Kb) · 3029451.jpg (12.0 Kb) · 3020101.jpg (12.0 Kb) · 3096920.jpg (8.5 Kb) · 6749847.jpg (6.0 Kb)
 
 
CSKAДата: Среда, 02.09.2015, 18:52 | Сообщение # 137
Полковник
Группа: Проверенные
Сообщений: 169
Награды: 0
Репутация: 0
Статус: Offline


 
Работай из дома! 18+
 
 


Ответы на задания из параграфа № 34. Мордкович А. Г. Алгебра 10-11 класс.

Для увеличения ответа на задачу, нажмите на картинку



---------------------------------------------------------------------



---------------------------------------------------------------------



---------------------------------------------------------------------



---------------------------------------------------------------------



---------------------------------------------------------------------

Перейти в оглавление решебника по Алгебре. Мордкович
Фото: 8641603.jpg (22.0 Kb) · 0284006.jpg (19.0 Kb) · 4144813.jpg (16.1 Kb) · 1492834.jpg (6.2 Kb) · 1470865.jpg (6.2 Kb)
 
 
CSKAДата: Среда, 02.09.2015, 18:52 | Сообщение # 138
Полковник
Группа: Проверенные
Сообщений: 169
Награды: 0
Репутация: 0
Статус: Offline


 
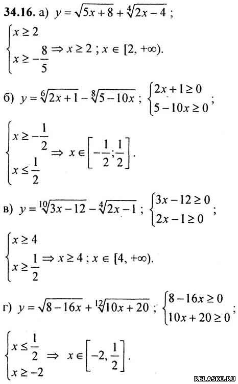
Работай из дома! 18+
 
 


Ответы на задания из параграфа № 34. Мордкович А. Г. Алгебра 10-11 класс.

Для увеличения ответа на задачу, нажмите на картинку



---------------------------------------------------------------------



---------------------------------------------------------------------

Перейти в оглавление решебника по Алгебре. Мордкович
Фото: 4444032.jpg (15.7 Kb) · 1647450.jpg (19.0 Kb)
 
 
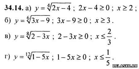
CSKAДата: Среда, 02.09.2015, 18:56 | Сообщение # 139
Полковник
Группа: Проверенные
Сообщений: 169
Награды: 0
Репутация: 0
Статус: Offline


 
Работай из дома! 18+
 
 


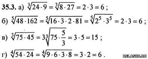
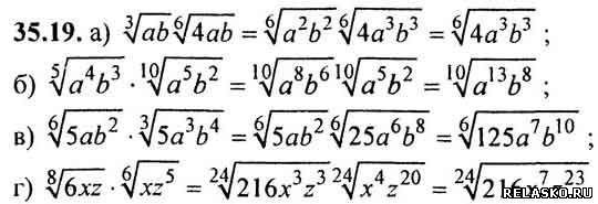
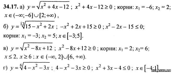
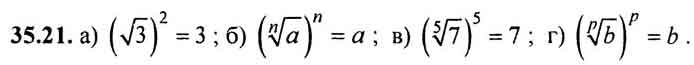
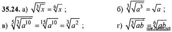
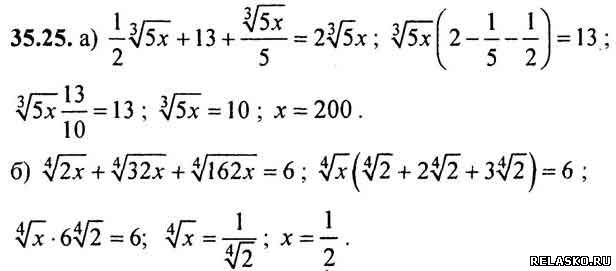
Ответы на задания из параграфа № 35. Мордкович А. Г. Алгебра 10-11 класс.

Для увеличения ответа на задачу, нажмите на картинку



---------------------------------------------------------------------



---------------------------------------------------------------------



---------------------------------------------------------------------



---------------------------------------------------------------------



---------------------------------------------------------------------

Перейти в оглавление решебника по Алгебре. Мордкович
Фото: 8834023.jpg (7.6 Kb) · 9970285.jpg (8.3 Kb) · 7845693.jpg (10.6 Kb) · 5079001.jpg (8.5 Kb) · 4922504.jpg (8.1 Kb)
 
 
CSKAДата: Среда, 02.09.2015, 18:56 | Сообщение # 140
Полковник
Группа: Проверенные
Сообщений: 169
Награды: 0
Репутация: 0
Статус: Offline


 
Работай из дома! 18+
 
 


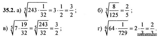
Ответы на задания из параграфа № 35. Мордкович А. Г. Алгебра 10-11 класс.

Для увеличения ответа на задачу, нажмите на картинку



---------------------------------------------------------------------



---------------------------------------------------------------------



---------------------------------------------------------------------



---------------------------------------------------------------------



---------------------------------------------------------------------

Перейти в оглавление решебника по Алгебре. Мордкович
Фото: 9295129.jpg (8.2 Kb) · 7609499.jpg (5.1 Kb) · 6023202.jpg (4.1 Kb) · 9437048.jpg (5.5 Kb) · 9734949.jpg (10.3 Kb)
 
 
CSKAДата: Среда, 02.09.2015, 18:56 | Сообщение # 141
Полковник
Группа: Проверенные
Сообщений: 169
Награды: 0
Репутация: 0
Статус: Offline


 
Работай из дома! 18+
 
 


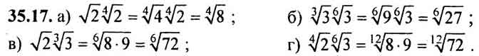
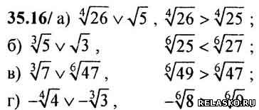
Ответы на задания из параграфа № 35. Мордкович А. Г. Алгебра 10-11 класс.

Для увеличения ответа на задачу, нажмите на картинку



---------------------------------------------------------------------



---------------------------------------------------------------------



---------------------------------------------------------------------



---------------------------------------------------------------------



---------------------------------------------------------------------

Перейти в оглавление решебника по Алгебре. Мордкович
Фото: 3642693.jpg (8.0 Kb) · 9767852.jpg (8.4 Kb) · 7418860.jpg (5.1 Kb) · 2537586.jpg (8.2 Kb) · 2409715.jpg (11.6 Kb)
 
 
CSKAДата: Среда, 02.09.2015, 18:57 | Сообщение # 142
Полковник
Группа: Проверенные
Сообщений: 169
Награды: 0
Репутация: 0
Статус: Offline


 
Работай из дома! 18+
 
 


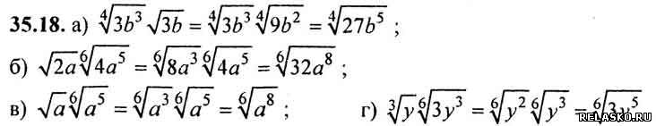
Ответы на задания из параграфа № 35. Мордкович А. Г. Алгебра 10-11 класс.

Для увеличения ответа на задачу, нажмите на картинку



---------------------------------------------------------------------



---------------------------------------------------------------------



---------------------------------------------------------------------



---------------------------------------------------------------------



---------------------------------------------------------------------

Перейти в оглавление решебника по Алгебре. Мордкович
Фото: 3102144.jpg (7.7 Kb) · 8402619.jpg (7.8 Kb) · 2195275.jpg (11.0 Kb) · 3437336.jpg (15.0 Kb) · 2474032.jpg (7.8 Kb)
 
 
CSKAДата: Среда, 02.09.2015, 18:57 | Сообщение # 143
Полковник
Группа: Проверенные
Сообщений: 169
Награды: 0
Репутация: 0
Статус: Offline


 
Работай из дома! 18+
 
 


Ответы на задания из параграфа № 35. Мордкович А. Г. Алгебра 10-11 класс.

Для увеличения ответа на задачу, нажмите на картинку



---------------------------------------------------------------------



---------------------------------------------------------------------



---------------------------------------------------------------------



---------------------------------------------------------------------



---------------------------------------------------------------------

Перейти в оглавление решебника по Алгебре. Мордкович
Фото: 3548950.jpg (4.5 Kb) · 7504598.jpg (9.2 Kb) · 7611716.jpg (8.8 Kb) · 4083359.jpg (6.3 Kb) · 0255951.jpg (13.4 Kb)
 
 
CSKAДата: Среда, 02.09.2015, 18:57 | Сообщение # 144
Полковник
Группа: Проверенные
Сообщений: 169
Награды: 0
Репутация: 0
Статус: Offline


 
Работай из дома! 18+
 
 


Ответы на задания из параграфа № 35. Мордкович А. Г. Алгебра 10-11 класс.

Для увеличения ответа на задачу, нажмите на картинку



---------------------------------------------------------------------



---------------------------------------------------------------------



---------------------------------------------------------------------



---------------------------------------------------------------------



---------------------------------------------------------------------

Перейти в оглавление решебника по Алгебре. Мордкович
Фото: 5947191.jpg (11.5 Kb) · 6427071.jpg (17.4 Kb) · 2616334.jpg (4.1 Kb) · 0486752.jpg (4.0 Kb) · 8839996.jpg (10.0 Kb)
 
 
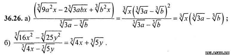
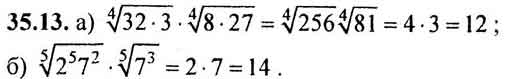
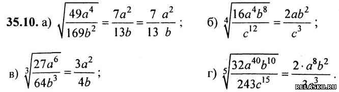
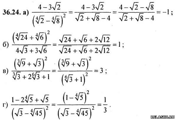
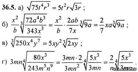
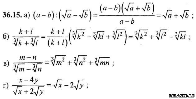
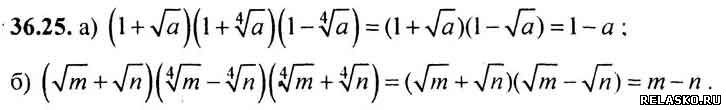
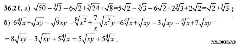
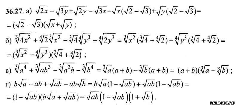
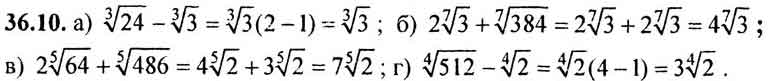
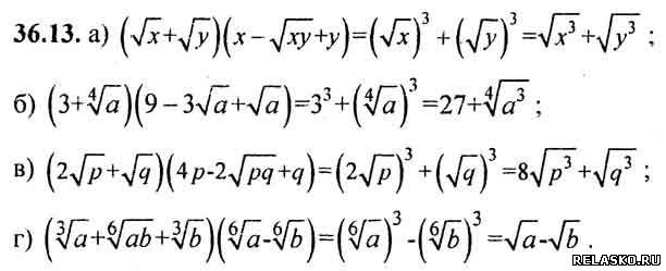
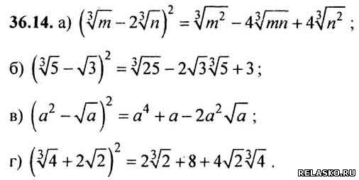
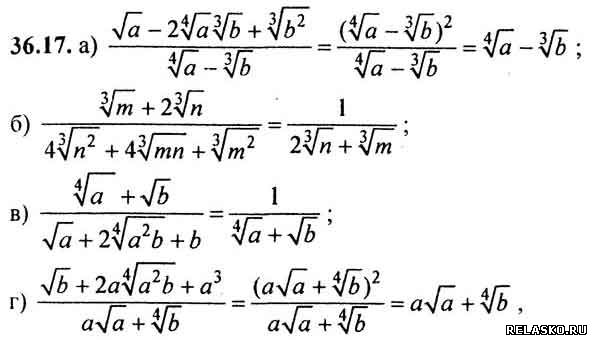
CSKAДата: Среда, 02.09.2015, 19:07 | Сообщение # 145
Полковник
Группа: Проверенные
Сообщений: 169
Награды: 0
Репутация: 0
Статус: Offline


 
Работай из дома! 18+
 
 


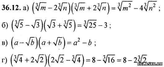
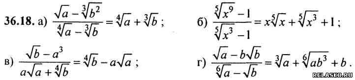
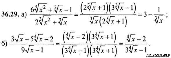
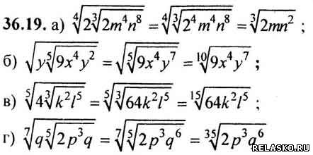
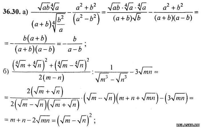
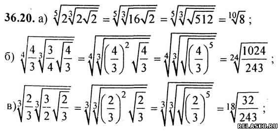
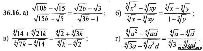
Ответы на задания из параграфа № 36. Мордкович А. Г. Алгебра 10-11 класс.

Для увеличения ответа на задачу, нажмите на картинку



---------------------------------------------------------------------



---------------------------------------------------------------------



---------------------------------------------------------------------



---------------------------------------------------------------------



---------------------------------------------------------------------

Перейти в оглавление решебника по Алгебре. Мордкович
Фото: 2608314.jpg (5.4 Kb) · 7524448.jpg (5.2 Kb) · 8386000.jpg (5.1 Kb) · 0462547.jpg (6.3 Kb) · 1555115.jpg (13.1 Kb)
 
 
CSKAДата: Среда, 02.09.2015, 19:07 | Сообщение # 146
Полковник
Группа: Проверенные
Сообщений: 169
Награды: 0
Репутация: 0
Статус: Offline


 
Работай из дома! 18+
 
 


Ответы на задания из параграфа № 36. Мордкович А. Г. Алгебра 10-11 класс.

Для увеличения ответа на задачу, нажмите на картинку



---------------------------------------------------------------------



---------------------------------------------------------------------



---------------------------------------------------------------------



---------------------------------------------------------------------



---------------------------------------------------------------------

Перейти в оглавление решебника по Алгебре. Мордкович
Фото: 1107013.jpg (5.2 Kb) · 2875973.jpg (5.9 Kb) · 8788858.jpg (7.2 Kb) · 2364636.jpg (7.2 Kb) · 5104091.jpg (9.7 Kb)
 
 
CSKAДата: Среда, 02.09.2015, 19:08 | Сообщение # 147
Полковник
Группа: Проверенные
Сообщений: 169
Награды: 0
Репутация: 0
Статус: Offline


 
Работай из дома! 18+
 
 


Ответы на задания из параграфа № 36. Мордкович А. Г. Алгебра 10-11 класс.

Для увеличения ответа на задачу, нажмите на картинку



---------------------------------------------------------------------



---------------------------------------------------------------------



---------------------------------------------------------------------



---------------------------------------------------------------------



---------------------------------------------------------------------

Перейти в оглавление решебника по Алгебре. Мордкович
Фото: 1168008.jpg (5.7 Kb) · 7641751.jpg (11.3 Kb) · 4138315.jpg (16.1 Kb) · 9111693.jpg (10.8 Kb) · 1142496.jpg (14.7 Kb)
 
 
CSKAДата: Среда, 02.09.2015, 19:08 | Сообщение # 148
Полковник
Группа: Проверенные
Сообщений: 169
Награды: 0
Репутация: 0
Статус: Offline


 
Работай из дома! 18+
 
 


Ответы на задания из параграфа № 36. Мордкович А. Г. Алгебра 10-11 класс.

Для увеличения ответа на задачу, нажмите на картинку



---------------------------------------------------------------------



---------------------------------------------------------------------



---------------------------------------------------------------------



---------------------------------------------------------------------



---------------------------------------------------------------------

Перейти в оглавление решебника по Алгебре. Мордкович
Фото: 3895106.jpg (14.5 Kb) · 3186338.jpg (18.1 Kb) · 0722714.jpg (10.5 Kb) · 8350930.jpg (12.7 Kb) · 9949468.jpg (17.4 Kb)
 
 
CSKAДата: Среда, 02.09.2015, 19:08 | Сообщение # 149
Полковник
Группа: Проверенные
Сообщений: 169
Награды: 0
Репутация: 0
Статус: Offline


 
Работай из дома! 18+
 
 


Ответы на задания из параграфа № 36. Мордкович А. Г. Алгебра 10-11 класс.

Для увеличения ответа на задачу, нажмите на картинку



---------------------------------------------------------------------



---------------------------------------------------------------------



---------------------------------------------------------------------



---------------------------------------------------------------------



---------------------------------------------------------------------

Продолжение ответов из задачника по Алгебре. Мордкович
Фото: 6688726.jpg (12.5 Kb) · 7444075.jpg (11.1 Kb) · 3416268.jpg (8.4 Kb) · 1937255.jpg (19.4 Kb) · 7031103.jpg (8.7 Kb)
 
 
CSKAДата: Среда, 02.09.2015, 19:09 | Сообщение # 150
Полковник
Группа: Проверенные
Сообщений: 169
Награды: 0
Репутация: 0
Статус: Offline


 
Работай из дома! 18+
 
 




Ответы на задания из параграфа № 36. Мордкович А. Г. Алгебра 10-11 класс.

Для увеличения ответа на задачу, нажмите на картинку



---------------------------------------------------------------------



---------------------------------------------------------------------



---------------------------------------------------------------------



---------------------------------------------------------------------



---------------------------------------------------------------------

Продолжение ответов из задачника по Алгебре. Мордкович
Фото: 3849212.jpg (11.7 Kb) · 3120680.jpg (24.8 Kb) · 0464369.jpg (23.0 Kb) · 9636770.jpg (12.7 Kb) · 0019468.jpg (22.1 Kb)
 
 
Поиск:

Работай из дома! 18+
 
 
 
 
 
 

 
Последние темы на форуме:
 
  • Новогодние праздники 2021-2022 официальные выходные
  • Показатели давления и сердцебиения у женщины 57 лет
  • Гороскоп на декабрь 2021 Женщина Телец
  • Гороскоп на январь 2022 от Павла Глоба
  • Гороскоп на декабрь 2021 от Павла Глоба
  • Гороскоп на ноябрь 2021 от Павла Глоба
  • Стенограмма судьбы - Содержание серий, актеры и роли сериала
  • Мосгаз. Западня - Содержание серий, актеры и роли 2021
  • Тобол - Содержание серий, актеры и роли сериала. 2021
  • Гороскоп для Тигра на сегодня от Павла Глоба
  • Утраченные воспоминания - Содержание серий, актеры и роли
  • Чёрно-белая любовь - Содержание серий, актеры и роли сериала
  • Забытая женщина - Содержание серий, актеры и роли сериала
  • Тайна спящей дамы - Содержание серий, актеры и роли сериала
  • Сериал Часы с кукушкой - Содержание серий, актеры и роли
  •  
     

     
    Обращаем ваше внимание на то, что данный интернет-сайт www.kinolog.do.am носит исключительно информационный характер и ни при каких условиях не является публичной офертой, определяемой положениями Статьи 437 (2) Гражданского кодекса РФ. Цена и наличие товара может отличаться от действительной. Пожалуйста, уточняйте цены и наличие товара у наших менеджеров.
    Администрация сайта не несет ответственности за действия и содержание размещаемой информации пользователей: комментарии, материалы, сообщения и темы на форуме, публикации, объявления и т.д.
    Правообладателям | Реклама | Учебники | Политика
    Отопление, водоснабжение, газоснабжение, канализация © 2003 - 2021
    Рейтинг@Mail.ru Рейтинг арматурных сайтов. ARMTORG.RU Яндекс.Метрика