[ Новые сообщения · Участники · Правила форума · Поиск · RSS ]
 
Работай из дома! 18+

Решебник по Алгебре. 10 - 11 класс. Мордкович
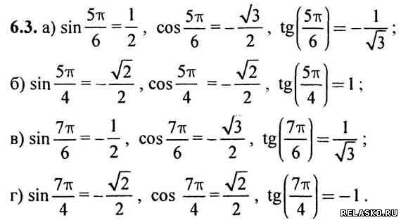
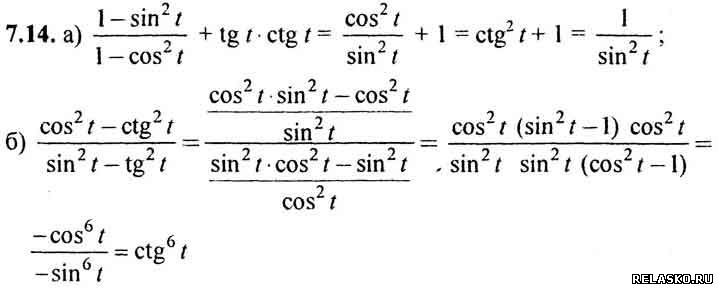
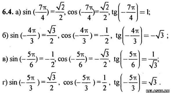
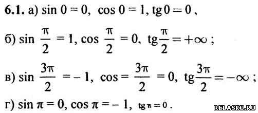
CSKAДата: Среда, 02.09.2015, 14:28 | Сообщение # 16
Полковник
Группа: Проверенные
Сообщений: 169
Награды: 0
Репутация: 0
Статус: Offline


 
Работай из дома! 18+
 
 


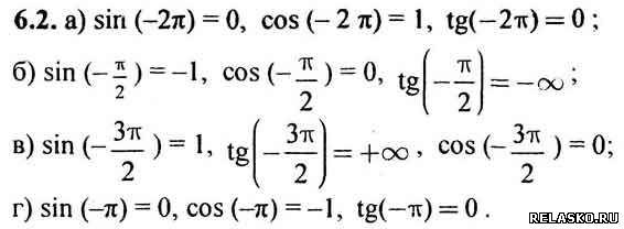
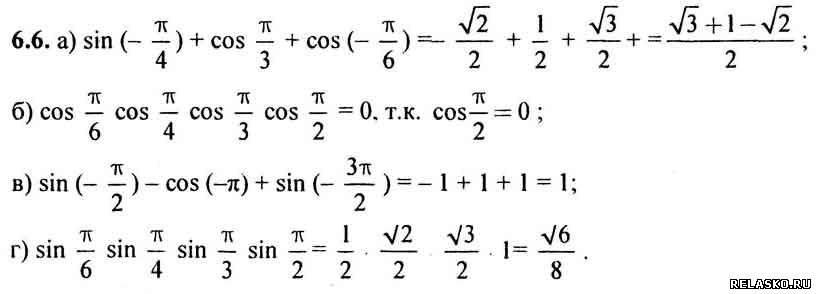
Ответы на задания из параграфа № 6. Мордкович А. Г. Алгебра 10-11 класс.

Для увеличения ответа на задачу, нажмите на картинку



---------------------------------------------------------------------



---------------------------------------------------------------------



---------------------------------------------------------------------



---------------------------------------------------------------------



---------------------------------------------------------------------

Перейти в оглавление решебника по Алгебре. Мордкович
Фото: 5335266.jpg (9.1 Kb) · 9435650.jpg (11.6 Kb) · 6899112.jpg (15.2 Kb) · 7815423.jpg (16.3 Kb) · 7153962.jpg (16.0 Kb)
 
 
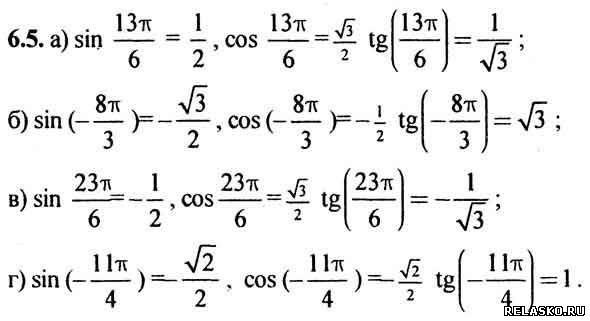
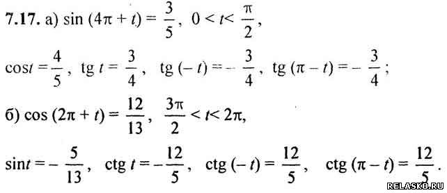
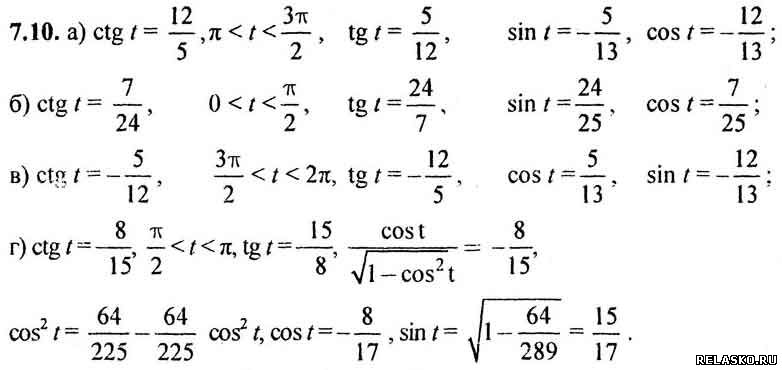
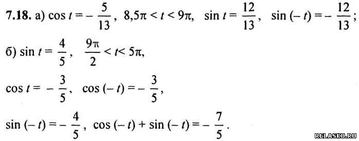
CSKAДата: Среда, 02.09.2015, 14:29 | Сообщение # 17
Полковник
Группа: Проверенные
Сообщений: 169
Награды: 0
Репутация: 0
Статус: Offline


 
Работай из дома! 18+
 
 


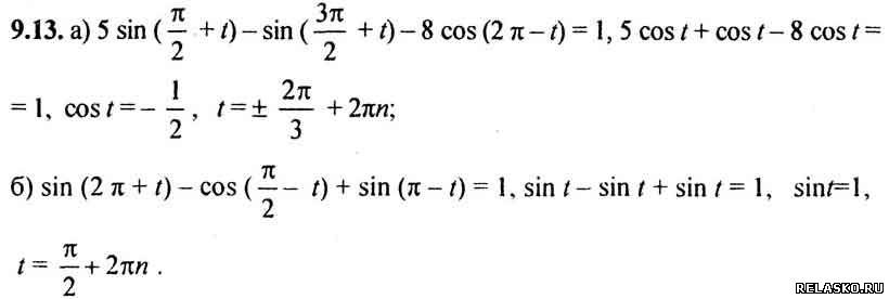
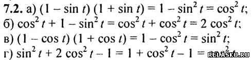
Ответы на задания из параграфа № 6. Мордкович А. Г. Алгебра 10-11 класс.

Для увеличения ответа на задачу, нажмите на картинку



---------------------------------------------------------------------



---------------------------------------------------------------------



---------------------------------------------------------------------



---------------------------------------------------------------------

$IMAGE5$

---------------------------------------------------------------------

Перейти в оглавление решебника по Алгебре. Мордкович
Фото: 3779361.jpg (15.7 Kb) · 1653154.jpg (10.1 Kb) · 5040092.jpg (9.4 Kb) · 2786723.jpg (11.9 Kb)
 
 
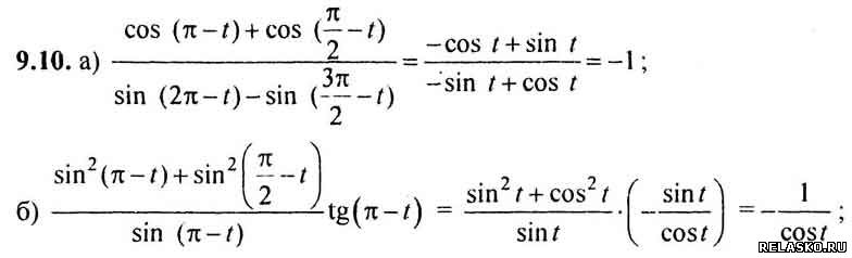
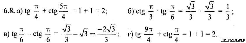
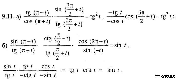
CSKAДата: Среда, 02.09.2015, 14:33 | Сообщение # 18
Полковник
Группа: Проверенные
Сообщений: 169
Награды: 0
Репутация: 0
Статус: Offline


 
Работай из дома! 18+
 
 


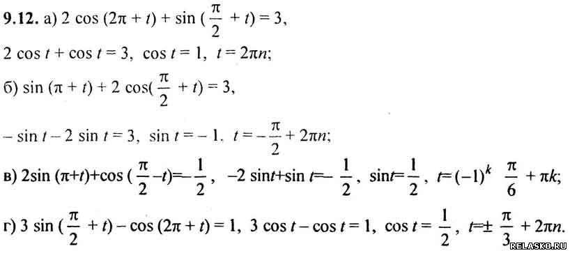
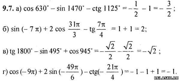
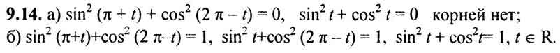
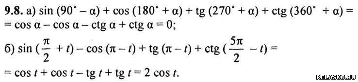
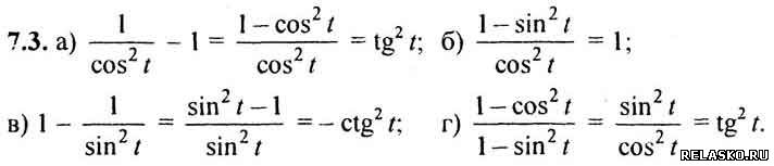
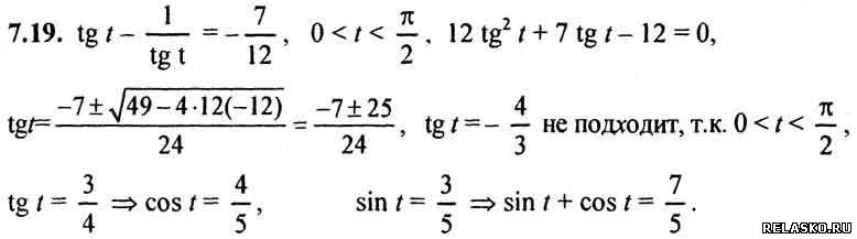
Ответы на задания из параграфа № 7. Мордкович А. Г. Алгебра 10-11 класс.

Для увеличения ответа на задачу, нажмите на картинку



---------------------------------------------------------------------



---------------------------------------------------------------------



---------------------------------------------------------------------



---------------------------------------------------------------------



---------------------------------------------------------------------

Перейти в оглавление решебника по Алгебре. Мордкович
Фото: 7168424.jpg (4.9 Kb) · 7886216.jpg (9.0 Kb) · 4055696.jpg (9.3 Kb) · 4114802.jpg (8.2 Kb) · 1362920.jpg (11.0 Kb)
 
 
CSKAДата: Среда, 02.09.2015, 14:33 | Сообщение # 19
Полковник
Группа: Проверенные
Сообщений: 169
Награды: 0
Репутация: 0
Статус: Offline


 
Работай из дома! 18+
 
 


Ответы на задания из параграфа № 7. Мордкович А. Г. Алгебра 10-11 класс.

Для увеличения ответа на задачу, нажмите на картинку



---------------------------------------------------------------------



---------------------------------------------------------------------



---------------------------------------------------------------------



---------------------------------------------------------------------



---------------------------------------------------------------------

Перейти в оглавление решебника по Алгебре. Мордкович
Фото: 1817550.jpg (15.6 Kb) · 8893505.jpg (18.5 Kb) · 2329048.jpg (15.6 Kb) · 6393982.jpg (22.1 Kb) · 7842820.jpg (21.8 Kb)
 
 
CSKAДата: Среда, 02.09.2015, 14:33 | Сообщение # 20
Полковник
Группа: Проверенные
Сообщений: 169
Награды: 0
Репутация: 0
Статус: Offline


 
Работай из дома! 18+
 
 


Ответы на задания из параграфа № 7. Мордкович А. Г. Алгебра 10-11 класс.

Для увеличения ответа на задачу, нажмите на картинку



---------------------------------------------------------------------



---------------------------------------------------------------------



---------------------------------------------------------------------



---------------------------------------------------------------------



---------------------------------------------------------------------

Перейти в оглавление решебника по Алгебре. Мордкович
Фото: 1498282.jpg (16.9 Kb) · 4687695.jpg (14.9 Kb) · 3991781.jpg (21.1 Kb) · 2666111.jpg (16.1 Kb) · 8388690.jpg (17.3 Kb)
 
 
CSKAДата: Среда, 02.09.2015, 14:34 | Сообщение # 21
Полковник
Группа: Проверенные
Сообщений: 169
Награды: 0
Репутация: 0
Статус: Offline


 
Работай из дома! 18+
 
 


Ответы на задания из параграфа № 7. Мордкович А. Г. Алгебра 10-11 класс.

Для увеличения ответа на задачу, нажмите на картинку



---------------------------------------------------------------------



---------------------------------------------------------------------



---------------------------------------------------------------------



---------------------------------------------------------------------



---------------------------------------------------------------------

Перейти в оглавление решебника по Алгебре. Мордкович
Фото: 9547442.jpg (16.0 Kb) · 5386180.jpg (11.5 Kb) · 1766464.jpg (10.3 Kb) · 2989552.jpg (12.6 Kb) · 0883399.jpg (21.8 Kb)
 
 
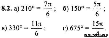
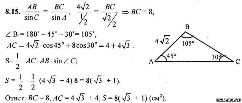
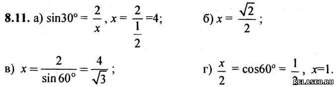
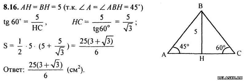
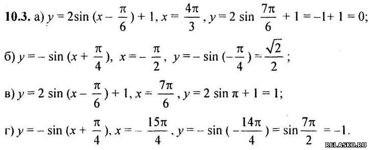
CSKAДата: Среда, 02.09.2015, 15:01 | Сообщение # 22
Полковник
Группа: Проверенные
Сообщений: 169
Награды: 0
Репутация: 0
Статус: Offline


 
Работай из дома! 18+
 
 


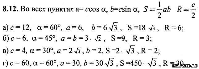
Ответы на задания из параграфа № 8. Мордкович А. Г. Алгебра 10-11 класс.

Для увеличения ответа на задачу, нажмите на картинку



---------------------------------------------------------------------



---------------------------------------------------------------------



---------------------------------------------------------------------



---------------------------------------------------------------------



---------------------------------------------------------------------

Перейти в оглавление решебника по Алгебре. Мордкович
Фото: 2124366.jpg (13.3 Kb) · 9851199.jpg (4.6 Kb) · 7812451.jpg (4.7 Kb) · 5160539.jpg (4.8 Kb) · 9784835.jpg (14.0 Kb)
 
 
CSKAДата: Среда, 02.09.2015, 15:01 | Сообщение # 23
Полковник
Группа: Проверенные
Сообщений: 169
Награды: 0
Репутация: 0
Статус: Offline


 
Работай из дома! 18+
 
 


Ответы на задания из параграфа № 8. Мордкович А. Г. Алгебра 10-11 класс.

Для увеличения ответа на задачу, нажмите на картинку



---------------------------------------------------------------------



---------------------------------------------------------------------



---------------------------------------------------------------------



---------------------------------------------------------------------



---------------------------------------------------------------------

Перейти в оглавление решебника по Алгебре. Мордкович
Фото: 2835322.jpg (17.3 Kb) · 2629451.jpg (2.5 Kb) · 9451016.jpg (2.7 Kb) · 2955651.jpg (2.6 Kb) · 3997295.jpg (6.2 Kb)
 
 
CSKAДата: Среда, 02.09.2015, 15:02 | Сообщение # 24
Полковник
Группа: Проверенные
Сообщений: 169
Награды: 0
Репутация: 0
Статус: Offline


 
Работай из дома! 18+
 
 


Ответы на задания из параграфа № 8. Мордкович А. Г. Алгебра 10-11 класс.

Для увеличения ответа на задачу, нажмите на картинку



---------------------------------------------------------------------



---------------------------------------------------------------------



---------------------------------------------------------------------



---------------------------------------------------------------------



---------------------------------------------------------------------

Перейти в оглавление решебника по Алгебре. Мордкович
Фото: 4916311.jpg (6.6 Kb) · 8489933.jpg (14.6 Kb) · 3676210.jpg (6.9 Kb) · 8058301.jpg (16.4 Kb) · 8939774.jpg (19.0 Kb)
 
 
CSKAДата: Среда, 02.09.2015, 15:02 | Сообщение # 25
Полковник
Группа: Проверенные
Сообщений: 169
Награды: 0
Репутация: 0
Статус: Offline


 
Работай из дома! 18+
 
 


Ответы на задания из параграфа № 8. Мордкович А. Г. Алгебра 10-11 класс.

Для увеличения ответа на задачу, нажмите на картинку



---------------------------------------------------------------------

Перейти в оглавление решебника по Алгебре. Мордкович
Фото: 0070487.jpg (13.6 Kb)


 
 
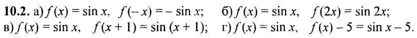
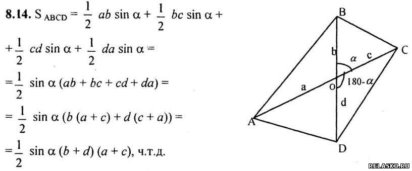
CSKAДата: Среда, 02.09.2015, 15:05 | Сообщение # 26
Полковник
Группа: Проверенные
Сообщений: 169
Награды: 0
Репутация: 0
Статус: Offline


 
Работай из дома! 18+
 
 


Ответы на задания из параграфа № 9. Мордкович А. Г. Алгебра 10-11 класс.

Для увеличения ответа на задачу, нажмите на картинку



---------------------------------------------------------------------



---------------------------------------------------------------------



---------------------------------------------------------------------



---------------------------------------------------------------------



---------------------------------------------------------------------

Перейти в оглавление решебника по Алгебре. Мордкович
Фото: 6681786.jpg (5.9 Kb) · 3709485.jpg (5.9 Kb) · 9768085.jpg (6.0 Kb) · 3496880.jpg (6.1 Kb) · 1507739.jpg (8.4 Kb)
 
 
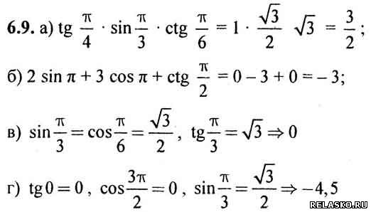
CSKAДата: Среда, 02.09.2015, 15:06 | Сообщение # 27
Полковник
Группа: Проверенные
Сообщений: 169
Награды: 0
Репутация: 0
Статус: Offline


 
Работай из дома! 18+
 
 


Ответы на задания из параграфа № 9. Мордкович А. Г. Алгебра 10-11 класс.

Для увеличения ответа на задачу, нажмите на картинку



---------------------------------------------------------------------



---------------------------------------------------------------------



---------------------------------------------------------------------



---------------------------------------------------------------------



---------------------------------------------------------------------

Перейти в оглавление решебника по Алгебре. Мордкович
Фото: 8320725.jpg (5.4 Kb) · 2433939.jpg (12.4 Kb) · 4891008.jpg (11.3 Kb) · 2438220.jpg (21.3 Kb) · 2060412.jpg (12.9 Kb)
 
 
CSKAДата: Среда, 02.09.2015, 15:07 | Сообщение # 28
Полковник
Группа: Проверенные
Сообщений: 169
Награды: 0
Репутация: 0
Статус: Offline


 
Работай из дома! 18+
 
 


Ответы на задания из параграфа № 9. Мордкович А. Г. Алгебра 10-11 класс.

Для увеличения ответа на задачу, нажмите на картинку



---------------------------------------------------------------------



---------------------------------------------------------------------



---------------------------------------------------------------------



---------------------------------------------------------------------

---------------------------------------------------------------------

Перейти в оглавление решебника по Алгебре. Мордкович
Фото: 3932964.jpg (15.1 Kb) · 1497564.jpg (18.2 Kb) · 8862121.jpg (12.2 Kb) · 3065170.jpg (8.0 Kb)
 
 
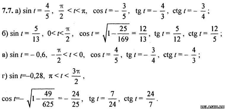
CSKAДата: Среда, 02.09.2015, 15:09 | Сообщение # 29
Полковник
Группа: Проверенные
Сообщений: 169
Награды: 0
Репутация: 0
Статус: Offline


 
Работай из дома! 18+
 
 


Ответы на задания из параграфа № 10. Мордкович А. Г. Алгебра 10-11 класс.

Для увеличения ответа на задачу, нажмите на картинку



---------------------------------------------------------------------



---------------------------------------------------------------------



---------------------------------------------------------------------



---------------------------------------------------------------------



---------------------------------------------------------------------

Продолжение решебника по Алгебре. Мордкович
Фото: 3681878.jpg (5.2 Kb) · 8318250.jpg (7.6 Kb) · 3824836.jpg (14.9 Kb) · 3782795.jpg (12.5 Kb) · 5238477.jpg (21.0 Kb)
 
 
CSKAДата: Среда, 02.09.2015, 15:10 | Сообщение # 30
Полковник
Группа: Проверенные
Сообщений: 169
Награды: 0
Репутация: 0
Статус: Offline


 
Работай из дома! 18+
 
 




Ответы на задания из параграфа № 10. Мордкович А. Г. Алгебра 10-11 класс.

Для увеличения ответа на задачу, нажмите на картинку



---------------------------------------------------------------------



---------------------------------------------------------------------



---------------------------------------------------------------------



---------------------------------------------------------------------



---------------------------------------------------------------------

Перейти в оглавление решебника по Алгебре. Мордкович
Фото: 4826879.jpg (12.5 Kb) · 8177604.jpg (18.1 Kb) · 6435306.jpg (9.2 Kb) · 3658051.jpg (10.3 Kb) · 1502489.jpg (10.1 Kb)
 
 
Поиск:

Работай из дома! 18+
 
 
 
 
 
 

 
Последние темы на форуме:
 
  • Новогодние праздники 2021-2022 официальные выходные
  • Показатели давления и сердцебиения у женщины 57 лет
  • Гороскоп на декабрь 2021 Женщина Телец
  • Гороскоп на январь 2022 от Павла Глоба
  • Гороскоп на декабрь 2021 от Павла Глоба
  • Гороскоп на ноябрь 2021 от Павла Глоба
  • Стенограмма судьбы - Содержание серий, актеры и роли сериала
  • Мосгаз. Западня - Содержание серий, актеры и роли 2021
  • Тобол - Содержание серий, актеры и роли сериала. 2021
  • Гороскоп для Тигра на сегодня от Павла Глоба
  • Утраченные воспоминания - Содержание серий, актеры и роли
  • Чёрно-белая любовь - Содержание серий, актеры и роли сериала
  • Забытая женщина - Содержание серий, актеры и роли сериала
  • Тайна спящей дамы - Содержание серий, актеры и роли сериала
  • Сериал Часы с кукушкой - Содержание серий, актеры и роли
  •  
     

     
    Обращаем ваше внимание на то, что данный интернет-сайт www.kinolog.do.am носит исключительно информационный характер и ни при каких условиях не является публичной офертой, определяемой положениями Статьи 437 (2) Гражданского кодекса РФ. Цена и наличие товара может отличаться от действительной. Пожалуйста, уточняйте цены и наличие товара у наших менеджеров.
    Администрация сайта не несет ответственности за действия и содержание размещаемой информации пользователей: комментарии, материалы, сообщения и темы на форуме, публикации, объявления и т.д.
    Правообладателям | Реклама | Учебники | Политика
    Отопление, водоснабжение, газоснабжение, канализация © 2003 - 2021
    Рейтинг@Mail.ru Рейтинг арматурных сайтов. ARMTORG.RU Яндекс.Метрика